【C++】二叉搜索树

122 阅读10分钟

@TOC

二叉搜索树的查找规则

从根开始比较,查找,比根大则往右边走查找,比根小则往左边走查找。 最多查找高度次,走到到空,还没找到,这个值不存在

二叉搜索树(二叉排序树)性质

非空左子树的所有值小于根节点的值

非空右子树的所有值大于根节点的值 左右子树都是二叉搜索树


第一个不满足,因为值为5的节点在值为10的节点的右边,正常来说10的右边都应该比10大

二叉搜索树的中序遍历

二叉搜索树的中序遍历,一定可以得到一个递增的序列 中序为:1 3 4 6 7 8 10 13 14

二叉搜索树的实现 (非递归)

插入

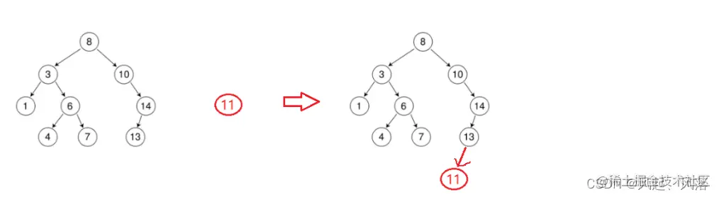
分为两种情况 若插入的值在二叉树中不存在,则通过比较进行插入

在这里插入图片描述

若插入11,因为11比8大,所以跟10比较,而11比10大,所以走10的右子树14,14与11比较,因14>11,所以走14的左子树13,11与13比较,因13>11,故作为13的左子树,遇见NULL指针停止


若插入的值,在二叉树中存在

因为插入值13与二叉树中的值13相等,则直接返回false


实际上创建节点后,需要与二叉搜索树进行连接,去当前创建节点的上一个节点parent, 通过判断cur节点是parent节点左子树还是右子树 进行连接


bool Insert(const K& key)
    {
        if (_root = nullptr)//若root根节点为nullptr
        {
            _root = new Node(key);
            return true;
        }
        Node* cur = _root;
        Node* parent = NULL;//用于接收cur之前的节点
        while (cur != NULL)
        {
            if (cur->_key > key)//若插入的值比cur值小
            {
                parent = cur;
                cur = cur->_left;
            }
            else if (cur->_key < key)//若插入的值比cur值大
            {
                parent = cur;
                cur = cur->_right;
            }
            else//若相等,则直接返回false
            {
                return false;
            }
        }
        //遇见空指针,连接新节点
        //由于不知道parent的左还是右连接key,所以需要判断
        cur = new Node(key);
        if (parent->_key > key)
        {
            parent->_left = cur;
        }
        else
        {
            parent->_right = cur;
        }
        return true;
    }

中序遍历

inorder需要传根,但是由于_root是类的私有成员变量,所以没办法从.c文件传过来 在这里插入图片描述 若将inorder函数设为缺省值,不可以通过编译 缺省值必须是常量或者全局变量,而root不是全局变量/常量 ,所以不能用缺省值 访问成员变量需要用this指针,而此时_root并没有this指针去指向


在这里插入图片描述 所以采用嵌套一层函数的方式,这样调用inorder函数时,不用传参数过来也可以解决问题

查找

bool Find(const K& key)
    {
        Node* cur = _root;
        while (cur != NULL)
        {
            if (cur->_key > key)
            {
                cur = cur->_left;
            }
            else if (cur->_key < key)
            {
                cur = cur->_right;
            }
            else
            {
                return true;
            }
        }
        return false;
    }

删除 (重点)

删除共分为三种情况

1. 要删除节点无孩子节点

删除4后,直接将6的左子树置为NULL


2.要删除节点只有左孩子节点/右孩子节点


3.要删除节点有左孩子和右孩子节点

删除8节点,就需要寻找左子树的最大节点或者右子树最小节点 来当树的根节点 左子树的最大节点是最右节点 右子树的最小节点是最左节点 假设删除节点8,通过右子树的最小节点来进行替换,将右子树的最小节点替换掉cur节点值,删除右子树的最小节点即可


由于叶子节点的删除可以算为左为空/右为空的情况,所以只需考虑左为空/右为空 或者 删除节点有左孩子和右孩子节点 即可

左为空

左为空时,使用parent节点去接收cur的右子树,但是还需判断下cur的右子树节点在parent的左子树还是右子树


需要考虑cur节点作为根的情况,此时的parent节点为NULL,NULL->right就会报错

为了解决这个问题,把cur的右子树的节点作为根,然后直接删除cur节点


右为空

右为空时,使用parent节点去接收cur的左子树,但是还需判断下cur的左子树节点在parent的左子树还是右子树


当cur作为根节点时,此时parent为NULL,就会报错 所以要把cur作为根节点的情况单独处理


把cur的左子树的节点作为根,然后直接删除cur节点

删除节点有左孩子和右孩子节点

当找到minright时,minright在9节点位置上,minright可以替代cur的位置,替cur照顾两个孩子,但是minright本身也是有可能有孩子的,所以还需要找到minright的上一个父节点parent,同时需要判断下minright节点是parent节点的左孩子还是有孩子


在这里插入图片描述

pminright初始化不能为NULL,若为空,若不进入while循环,则无法更新pminright值, 导致NULL->left,从而报错


,minright不一定是minright的左子树,也有可能是pminright的右子树 ,所以需要判断下

整体代码

//删除
	bool Erase(const K& key)
	{
		//将第一种和第二种看作一种
		Node* parent = nullptr;//记录cur之前的节点
		Node* cur = _root;
		while (cur!=NULL)
		{
			if (cur->_key > key)
			{
				cur = cur->_left;
			}
			else if (cur->_key < key)
			{
				cur = cur->_right;
			}
			else
			{
				//相等则说明数据存在,要删除
				
				//1.左为空
				if (cur->_left == nullptr)
				{
					if (cur == _root)//当cur作为根节点时
					{
						_root = cur->_right;
					}
					else
					{
						if (parent->_left == cur)//若cur在parent节点的左边
						{
							parent->_left = cur->_right;
						}
						else//若cur在parent节点的右边
						{
							parent->_right = cur->_right;
						}
					}
					delete cur;
				}
				//2.右为空
				else if (cur->_right == nullptr)
				{
					if (cur == _root)//当cur作为根节点时
					{
						_root = cur->_left;
					}
					else
					{
						if (parent->_left == cur)//若cur在parent节点的左边
						{
							parent->_left = cur->_left;
						}
						else//若cur在parent节点的右边
						{
							parent->_right = cur->_left;
						}
					}
					delete cur;
				}
				//3.请保姆
				else
				{
					//寻找右子树的最小节点
					Node* pminright = cur;
					Node* minright = cur->_right;//右子树的最小节点 
					//最左节点
					while (minright->_left)//找到最小节点
					{
						pminright = minright;//记录minright之前的节点
						minright = minright->_left;
					}
					cur->_key = minright->_key;
					//由于不知道minright是pminright的左子树还是右子树 ,所以需要判断下
					//再将minright的右子树pminright
					if (pminright->_left == minright)
					{
						pminright->_left = minright->_right;
					}
					else
					{
						pminright->_right = minright->_right;
					}
					
					delete minright;
				}
				return true;
			}
		}

		//说明要删除的数据不存在
		return false;
	}

二叉搜索树的实现 (递归)

递归实现,全都使用了函数嵌套的方式,与非递归的中序遍历的方式相同,是为了使用_root这个定义在类中的成员变量

查找

    bool _FindR(Node * root, const K & key)
    {
        if (root == nullptr)
        {
            return false;
        }
        if (root->_key == key)
        {
            return true;
        }
        if (root->_key < key)
        {
            retrun _FindR(root->_right, key);
        }
        else 
        {
            retrun _FindR(root->_left, key);
        }
    }
    bool FindR(const K & key)
    {
        return _FindR(_root, key);
    }

插入

bool _InsertR(Node*&root,const K&key)//插入
    {
        if (root == nullptr)
        {
            root = new Node(key);
            return true;
        }
        if (root->_key < key)
        {
            return _InsertR(root->_right, key);
        }
        else  if(root->_key > key)
        {
            return _InsertR(root->_left, key);
        }
        else
        {
            return false;
        }
    }
    bool InsertR(const K& key)
    {
        return _InsertR(_root,key);
    }

通过引用的方式解决遇见NULL连接新节点的问题


在这里插入图片描述 因为引用的原因,所以root==NULL进入if判断时, root作为上一个节点左指针的别名,相当于 root->_left 新创建了一个节点,直接与二叉树连接起来了 就不用像非递归一样考虑创建节点后,与它的上一个节点连接的问题

删除

删除节点有左孩子和右孩子节点

在这里插入图片描述


    bool _EraseR(Node*&root,const K& key)
    {
        if (root == nullptr)
        {
            return false;
        }
        if (root->_key < key)
        {
            return EraseR(root->_right, key);
        }
        else if (root->_key > key)
        {
            return EraseR(root->_left, key);
        }
        else
        {
            //开始删除

            Node* del= root;//保存要删除的节点
            if (root->_left == nullptr)//左为空
            {
                root = root->_right;
            }
            else if (root->_right == nullptr)//右为空
            {
                root = root->_left;
            }
            else
            {
                //替代法
                Node* maxleft = root->_left;
                //在左子树中寻找最右 作为左子树最大节点
                while (maxleft->_right != NULL)
                {
                    maxleft = maxleft->_right;
                }
                swap(maxleft, root);
                return EeaseR(root->_left, key);
            }

            delete del;
            return true;
        }

    }
    bool EraseR(const K&key)
    {
        return _EraseR(_root,key);
    }

二叉搜索树实现的整体代码

#pragma once
#include<iostream>
using namespace std;
template <class K>
//BSTree -- BinarySearchTree
struct BSTreeNode
{
	BSTreeNode<K>* _left;//左
	BSTreeNode<K>* _right;//右
	K  _key;//关键字

	BSTreeNode(const K& key)
		:_left(nullptr), _right(nullptr), _key(key)
	{

	}
};
template <class K>
class BSTree
{
	typedef BSTreeNode<K> Node;
public:
	~BSTree()//析构
	{
		Destroy(_root);
		_root = nullptr;
	}
	/*BSTree(const BSTree<K>& t)
	{

	}
	void cpoy(Node*root)
	{
		 
	}*/
	//插入
	bool Insert(const K& key)
	{
		if (_root == NULL)//若root根节点为nullptr
		{
			_root = new Node(key);
			return true;
		}
		Node* cur = _root;
		Node* parent = nullptr;//用于接收cur之前的节点
		while (cur != NULL)
		{
			if (cur->_key > key)//若插入的值比cur值小
			{
				parent = cur;
				cur = cur->_left;
			}
			else if (cur->_key < key)//若插入的值比cur值大
			{
				parent = cur;
				cur = cur->_right;
			}
			else//若相等,则直接返回false
			{
				return false;
			}
		}
		//遇见空指针,连接新节点
		//由于不知道parent的左还是右连接key,所以需要判断
		cur = new Node(key);
		if (parent->_key < key)
		{
			parent->_right = cur;
			
		}
		else
		{
			parent->_left = cur;
		}
		return true;
	}

	//中序遍历
	void inorder()
	{
		_inorder(_root);
	}
	void _inorder(Node*root)
	{
		if (root == NULL)
		{
			return;
		}
		_inorder(root->_left);//左
		cout << root->_key << " ";//根
		_inorder(root->_right);//右	
	}

	//查找
	bool Find(const K& key)
	{
		Node* cur = _root;
		while (cur != NULL)
		{
			if (cur->_key > key)
			{
				cur = cur->_left;
			}
			else if (cur->_key < key)
			{
				cur = cur->_right;
			}
			else
			{
				return true;
			}
		}
		return false;
	}
	
	//删除
	bool Erase(const K& key)
	{
		//将第一种和第二种看作一种
		Node* parent = nullptr;//记录cur之前的节点
		Node* cur = _root;
		while (cur!=NULL)
		{
			if (cur->_key > key)
			{
				cur = cur->_left;
			}
			else if (cur->_key < key)
			{
				cur = cur->_right;
			}
			else
			{
				//相等则说明数据存在,要删除
				
				//1.左为空
				if (cur->_left == nullptr)
				{
					if (cur == _root)//当cur作为根节点时
					{
						_root = cur->_right;
					}
					else
					{
						if (parent->_left == cur)//若cur在parent节点的左边
						{
							parent->_left = cur->_right;
						}
						else//若cur在parent节点的右边
						{
							parent->_right = cur->_right;
						}
					}
					delete cur;
				}
				//2.右为空
				else if (cur->_right == nullptr)
				{
					if (cur == _root)//当cur作为根节点时
					{
						_root = cur->_left;
					}
					else
					{
						if (parent->_left == cur)//若cur在parent节点的左边
						{
							parent->_left = cur->_left;
						}
						else//若cur在parent节点的右边
						{
							parent->_right = cur->_left;
						}
					}
					delete cur;
				}
				//3.请保姆
				else
				{
					//寻找右子树的最小节点
					Node* pminright = cur;
					Node* minright = cur->_right;//右子树的最小节点 
					//最左节点
					while (minright->_left)//找到最小节点
					{
						pminright = minright;//记录minright之前的节点
						minright = minright->_left;
					}
					cur->_key = minright->_key;
					//由于不知道minright是pminright的左子树还是右子树 ,所以需要判断下
					//再将minright的右子树pminright
					if (pminright->_left == minright)
					{
						pminright->_left = minright->_right;
					}
					else
					{
						pminright->_right = minright->_right;
					}
					
					delete minright;
				}
				return true;
			}
		}

		//说明要删除的数据不存在
		return false;
	}


	//--------- 递归
		bool _FindR(Node * root, const K & key)//查找
	{
		if (root == nullptr)
		{
			return false;
		}
		if (root->_key == key)
		{
			return true;
		}
		if (root->_key < key)
		{
		  return  _FindR(root->_right, key);
		}
		else 
		{
			return  _FindR(root->_left, key);
		}
	}
	bool FindR(const K & key)
	{
		return _FindR(_root, key);
	}


	bool _InsertR(Node*&root,const K&key)//插入
	{
		if (root == nullptr)
		{
			root = new Node(key);
			return true;
		}
		if (root->_key < key)
		{
			return _InsertR(root->_right, key);
		}
		else  if(root->_key > key)
		{
			return _InsertR(root->_left, key);
		}
		else
		{
			return false;
		}
	}
	bool InsertR(const K& key)
	{
		return _InsertR(_root,key);
	}


	bool _EraseR(Node*&root,const K& key)
	{
		if (root == nullptr)
		{
			return false;
		}
		if (root->_key < key)
		{
			return EraseR(root->_right, key);
		}
		else if (root->_key > key)
		{
			return EraseR(root->_left, key);
		}
		else
		{
			//开始删除

			Node* del= root;//保存要删除的节点
			if (root->_left == nullptr)//左为空
			{
				root = root->_right;
			}
			else if (root->_right == nullptr)//右为空
			{
				root = root->_left;
			}
			else
			{
				//替代法
				Node* maxleft = root->_left;
				//在左子树中寻找最右 作为左子树最大节点
				while (maxleft->_right != NULL)
				{
					maxleft = maxleft->_right;
				}
				swap(maxleft, root);
				return EeaseR(root->_left, key);
			}

			delete del;
			return true;
		}

	}
	bool EraseR(const K&key)
	{
		return _EraseR(_root,key);
	}


	void Destroy(Node* root)
	{
		if (root == nullptr)
		{
			return;
		}
		Destroy(root->_left);
		Destroy(root->_right);
		delete root;
	}
private:
	Node* _root = nullptr;
};	

应用搜索场景

1. key模型

在不在 1.门禁系统 2.车库系统 3.检查一篇文章中单词拼写是否正确 你拼写的单词是否在库中,若库则说明拼写正确,若不在,则说明拼写错误


key模型与上述实现的二叉搜索树基本一致

2. key value 模型

通过一个值查找另一个值 1.中英文互译字典 2.电话号码查询快递信息 3. 电话号码+验证码 查询考试成绩 4.统计水果出现的次数

key value模型 与上述实现的二叉搜索树实现功能差不多,只是增加了一个模板参数value


中英文互译字典的简单实现

通过插入将预先设置好的单词与对应意思输入树中, 输入str时,在树中查找该单词是否存在 若找到则返回节点指针指向的value,若没找到则返回nuullptr


统计水果出现次数的简单实现

3. key value模型代码

#pragma once
#include<iostream>
using namespace std;

namespace key_value
{
	template <class K,class V>//key  
	//BSTree -- BinarySearchTree
	struct BSTreeNode
	{
		BSTreeNode<K,V>* _left;//左
		BSTreeNode<K,V>* _right;//右
		K  _key;//key值
		V _value;//value值

		BSTreeNode(const K& key, const V& value)
			:_left(nullptr), _right(nullptr), _key(key), _value(value)
		{
		}
	};

	template <class K,class V>
	class BSTree
	{
		typedef BSTreeNode<K, V> Node;
	public:
		//插入
		bool Insert(const K& key, const V& value)
		{
			if (_root == NULL)//若root根节点为nullptr
			{
				_root = new Node(key, value);
				return true;
			}
			Node* cur = _root;
			Node* parent = nullptr;//用于接收cur之前的节点
			while (cur != NULL)
			{
				if (cur->_key > key)//若插入的值比cur值小
				{
					parent = cur;
					cur = cur->_left;
				}
				else if (cur->_key < key)//若插入的值比cur值大
				{
					parent = cur;
					cur = cur->_right;
				}
				else//若相等,则直接返回false
				{
					return false;
				}
			}
			//遇见空指针,连接新节点
			//由于不知道parent的左还是右连接key,所以需要判断
			cur = new Node(key, value);
			if (parent->_key < key)
			{
				parent->_right = cur;

			}
			else
			{
				parent->_left = cur;
			}
			return true;
		}

		//查找
		Node* Find(const K& key)
		{
			Node* cur = _root;
			while (cur != NULL)
			{
				if (cur->_key > key)
				{
					cur = cur->_left;
				}
				else if (cur->_key < key)
				{
					cur = cur->_right;
				}
				else
				{
					return cur;//成功就返回当前节点
				}
			}
			return nullptr;//失败就返回空
		}
		//中序遍历
		void inorder()
		{
			_inorder(_root);
		}
		void _inorder(Node* root)
		{
			if (root == NULL)
			{
				return;
			}
			_inorder(root->_left);//左
			cout << root->_key << ":"<<root->_value<<endl;//根
			_inorder(root->_right);//右	
		}
	private:
		Node* _root = nullptr;
	};
}