点火公式

941 阅读1分钟
  • 点火公式


  • 证明点火公式:

[0,π/2]分部积分然后递推

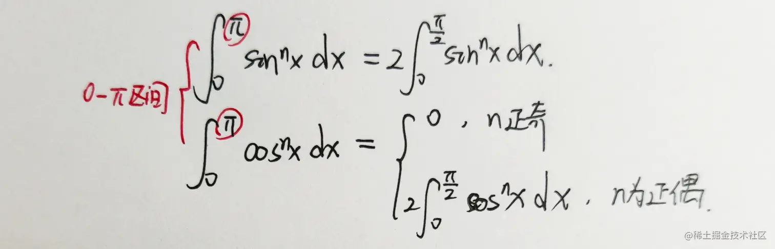
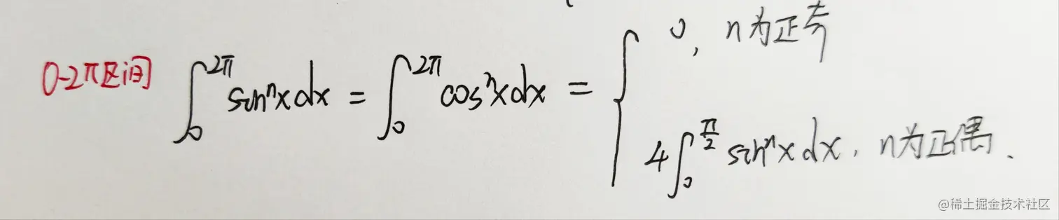
[0,π]划分区间然后递推


  • x f(sin)与x f(cos)上的区间再现


  • 练习