Halcon边缘提取之高斯导数卷积图像——derivate_gauss.hdev

748 阅读3分钟

引言

使用MFC联合Halcon,将HDevelop中的演示结果用MFC中对话框的形式显示高斯导数卷积图像


一、结果

1.1 高斯平滑

1.1.1 读取图像

在这里插入图片描述

1.1.2 高斯平滑结果

在这里插入图片描述

1.1.3 MFC可视化结果

在这里插入图片描述


1.1.4 Halcon代码

* usage as smoothing filter
read_image (Meningg5, 'meningg5')
//derivate_gauss — 用高斯导数卷积图像
derivate_gauss (Meningg5, Smoothed, 2, 'none')
//convert_image_type — 转换图像的类型
convert_image_type (Smoothed, SmoothedByte, 'byte')
//watersheds — Extract watersheds and basins from an image.
watersheds (SmoothedByte, Basins, Watersheds)
dev_display (Meningg5)
dev_set_draw ('margin')
dev_set_colored (6)
dev_display (Basins)
stop ()

1.2 高斯梯度绝对值——用作边缘检测

1.2.1 读取图像

在这里插入图片描述

1.2.2 高斯梯度绝对值

在这里插入图片描述

1.2.3 MFC可视化结果

在这里插入图片描述

1.2.4 Halcon代码

* usage as edge detector
read_image (Image, 'mreut')
derivate_gauss (Image, GradientAmpl, 1.5, 'gradient')
threshold (GradientAmpl, Gradient, 10, 255)
dev_display (Image)
dev_set_draw ('fill')
dev_set_color ('red')
dev_display (Gradient)
stop ()

1.3 高斯矩阵行列式——用作角点检测

1.3.1 读取图像

在这里插入图片描述

1.3.2 高斯矩阵行列式处理结果

在这里插入图片描述

1.3.3 MFC可视化结果

在这里插入图片描述

1.3.4 Halcon代码


* usage as corner detector
read_image (Image, 'fabrik')
derivate_gauss (Image, Det, 1.5, 'det')
threshold (Det, Corners, 20, 1000000)
dev_display (Image)
dev_set_draw ('fill')
dev_set_color ('red')
dev_display (Corners)
stop ()

1.4 高斯沿梯度的二阶导——2nd_ddg边缘检测

1.4.1 读取图像

在这里插入图片描述

1.4.2 图像处理沿梯度二阶导

在这里插入图片描述

1.4.3 MFC可视化结果

在这里插入图片描述

1.4.4 Halcon代码

* Usage as edge detector
read_image (Image, 'mreut')
derivate_gauss (Image, EdgesAreZero, 3, '2nd_ddg')
zero_crossing (EdgesAreZero, Edges)
dev_display (Image)
dev_set_draw ('fill')
dev_set_color ('red')
dev_display (Edges)

二、derivate_gauss (Operator)

derivate_gauss — Convolve an image with derivatives of the Gaussian.

derivate_gauss(Image : DerivGauss : Sigma, Component : )
//参数
	Image (input_object)           //Input images.
	DerivGauss (output_object)     //Filtered result images.
	Sigma (input_control)          //Sigma of the Gaussian.
		Default value: 1.0
		Suggested values: 0.7, 1.0, 1.5, 2.0, 3.0, 4.0, 5.0
		Typical range of values: 0.2 ≤ Sigma ≤ 50.0
		Minimum increment: 0.01
		Recommended increment: 0.1
		Restriction: Sigma > 0.0
	Component (input_control)     //要计算的导数或特征
		Default value: 'x'
		List of values: '2nd_ddg', 'area', 'de_saint_venant', 'det', 'eigenvalue1', 
		'eigenvalue2', 'eigenvec_dir', 'gauss_curvature', 'gradient', 
		'gradient_dir', 'kitchen_rosenfeld', 'laplace', 'main1_curvature', 
		'main2_curvature', 'mean_curvature', 'none', 'x', 'xx', 'xxx', 'xxy', 
		'xy', 'xyy', 'y', 'yy', 'yyy', 'zuniga_haralick'
		List of values (for compute devices): 'none', 'x', 'y', 'gradient', 
		'gradient_dir', 'xx', 'yy', 'xy', 'xxx', 'yyy', 'xxy', 'xyy', 'laplace'

derivate_gauss 将图像与高斯的导数进行卷积,并计算由此导出的各种特征。 Sigma 是 Gaussian 的参数(即平滑量)。 如果在 Sigma 中传递一个值,则列和行方向的平滑量是相同的。 如果在 Sigma 中传递两个值,第一个值指定列方向的平滑量,而第二个值指定行方向的平滑量。 Component 的可能值是:

'none':
  	Smoothing only. 

'x':
	沿 x 的一阶导数

在这里插入图片描述

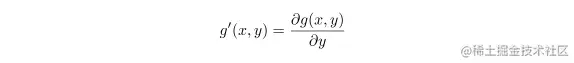
'y':
	沿 y 的一阶导数

在这里插入图片描述

'gradient':
	梯度的绝对值

在这里插入图片描述

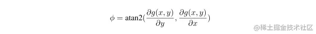
'gradient_dir':
	以弧度表示的渐变方向

在这里插入图片描述

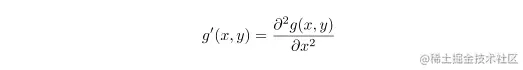
'xx':
	沿 x 的二阶导数

在这里插入图片描述

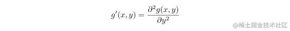
'yy':
	沿 y 的二阶导数

在这里插入图片描述

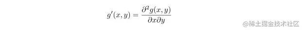
'xy':
	沿 x 和 y 的二阶偏导数

在这里插入图片描述

'xxx':
	沿 x 的三阶导数

在这里插入图片描述

'yyy':
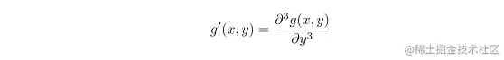
	沿 y 的三阶导数

在这里插入图片描述

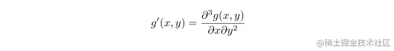
'xxy':
	沿 x、x 和 y 的三阶偏导数

在这里插入图片描述

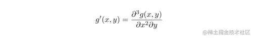
'xyy':
	沿 x、y 和 y 的三阶导数

在这里插入图片描述

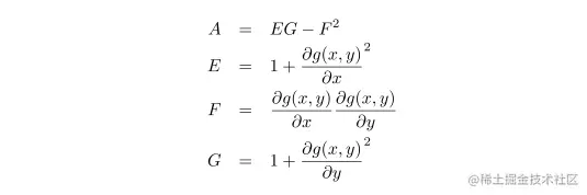
'det':
	Hessian 矩阵的行列式:

在这里插入图片描述

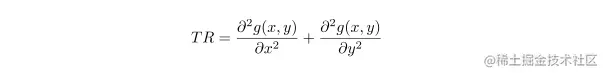
'laplace':
	拉普拉斯算子(Hessian 矩阵的迹):

在这里插入图片描述

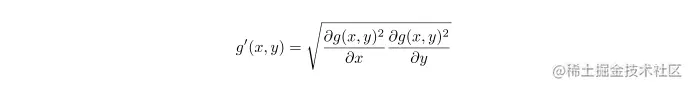
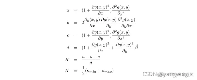
'mean_curvature':
	平均曲率 H

在这里插入图片描述

'gauss_curvature':
	高斯曲率 K

在这里插入图片描述

'area':
	差分区域A

在这里插入图片描述

'eigenvalue1':
	第一特征值

在这里插入图片描述

'eigenvalue2':
	第二特征值

在这里插入图片描述

'eigenvec_dir':
	以弧度为单位的第一个特征值对应的特征向量的方向

'kitchen_rosenfeld':
	垂直于梯度的二阶导数

在这里插入图片描述

'zuniga_haralick':
	垂直于梯度的归一化二阶导数

在这里插入图片描述

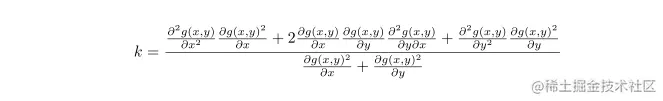
'2nd_ddg':
	沿梯度的二阶导数

在这里插入图片描述

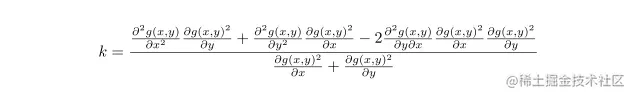
'de_saint_venant':
	沿和垂直于梯度的二阶导数

在这里插入图片描述

三、上述详细代码实现

Halcon联合MFC混合编程之高斯梯度绝对值——用作边缘检测

Halcon联合MFC之高斯沿梯度的二阶导——2nd_ddg边缘检测

高斯矩阵行列式——用作角点检测

Halcon联合MFC之高斯导师卷积图像边缘检测