Halcon边缘提取之高斯分布标准差——diff_of_gauss.hdev

237 阅读2分钟

引言

使用MFC联合Halcon,将HDevelop中的演示结果用MFC中对话框的形式显示图像使用高斯分布标准差


一、高斯分布标准差——diff_of_gauss

1.1读取原图

在这里插入图片描述

1.2 高斯分布标准差处理结果

diff_of_gauss (Image, DiffOfGauss, 5, 1.6)

在这里插入图片描述

1.3 diff_of_gauss (Operator)

diff_of_gauss — Approximate the LoG operator (Laplace of Gaussian).

diff_of_gauss(Image : DiffOfGauss : Sigma, SigFactor : )
//参数
	Image (input_object)           //Input image
	DiffOfGauss (output_object)    //LoG image.
	Sigma (input_control)          //拉普拉斯算子的平滑参数来近似
		Default value: 3.0
		Suggested values: 2.0, 3.0, 4.0, 5.0
		Typical range of values: 0.2 ≤ Sigma ≤ 50.0
		Minimum increment: 0.01
		Recommended increment: 0.1
		Restriction: Sigma > 0.0
	SigFactor (input_control)      //所用标准差的比率(Marr 建议为 1.6)
		Default value: 1.6
		Typical range of values: 0.1 ≤ SigFactor ≤ 10.0
		Minimum increment: 0.01
		Recommended increment: 0.1
		Restriction: SigFactor > 0.0

diff_of_gauss 通过高斯差来近似拉普拉斯高斯算子。 根据 Marr 的说法,可以根据 LoG 的参数 Sigma 和两个标准偏差的比值 (SigFactor) 计算这些高斯分布的标准偏差:

在这里插入图片描述 For a SigFactor = 1.6, according to Marr, an approximation to the Mexican-Hat-Operator results. The resulting image is stored in DiffOfGauss.


1.4 zero_crossing (Operator)

zero_crossing — 从图像中提取零交叉点

zero_crossing(Image : RegionCrossing : : )
//参数   
	Image (input_object)             //Input image.
	RegionCrossing (output_object)   //RegionCrossing (output_object)

zero_crossing 将输入图像的零交叉作为一个区域返回。 如果一个像素的灰度值(在图像中)为零,或者如果它的 4 邻域的至少一个邻居具有不同的符号,则该像素被接受为过零。

此运算符旨在用于返回图像的二阶导数(例如,laplace_of_gauss)的边缘运算符之后,可能后跟平滑运算符。 在这种情况下,零交叉点是(候选)边。

zero_crossing (DiffOfGauss, RegionCrossing1)

在这里插入图片描述

1.5 laplace_of_gauss (Operator)

laplace_of_gauss — LoG-Operator (Laplace of Gaussian)

...
laplace_of_gauss(Image : ImageLaplace : Sigma : )
...

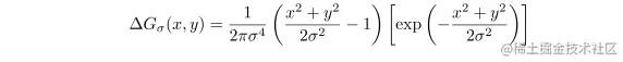
laplace_of_gauss 计算 Laplace-of-Gaussian 算子,即高斯平滑图像上的 Laplace 算子,用于任意平滑参数 Sigma。 拉普拉斯算子由下式给出:

在这里插入图片描述 laplace_of_gauss 中的导数是通过适当的 Gaussian 导数计算得出的,得到卷积掩码的以下公式:

在这里插入图片描述

...
laplace_of_gauss (Image, ImageLaplace, 5)
...

在这里插入图片描述

zero_crossing (ImageLaplace, RegionCrossing2)

在这里插入图片描述

1.6 derivate_gauss (Operator)

derivate_gauss — 用高斯导数卷积图像

derivate_gauss (Image, DerivGauss, 5, 'laplace')
zero_crossing (DerivGauss, RegionCrossing3)

在这里插入图片描述