协方差矩阵

284 阅读2分钟

文章目录

1.n维数据之间的数学关系

1. 均值

  • 未经分组的均值计算公式在这里插入图片描述

2. 方差

均值描述的是样本集合的中间点,它告诉我们的信息是有限的;而方差给我们描述的是样本集合的各个样本点到均值之间的平均距离。

  • 单一正态总体方差计算公式:在这里插入图片描述

3. 标准差

方差对平均距离计算了平方,为了还原回原来的数量级,就有了标准差,标准差是对方差开根号

  • 计算公式:
    在这里插入图片描述

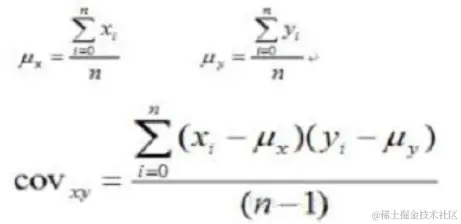
4. 协方差

当出现多维集合时,各个维度间的数据有无关联,可以参照一维的方法,首先将每个维度样本集合中每一个点的数据值减去该维度的平均值,再乘以另外一个维度的同样的差值,最后除以 n-1 就是协方差(n 就是每个维度样本个数,各维度一样),这个协方差就可以反映两个维度间各数据的相关性

1. 计算公式:

在这里插入图片描述

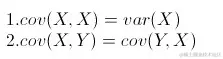
2. 性质:

在这里插入图片描述

3. 协方差结果的意义

协方差只是说明了线性相关的方向问题,即从正无穷到负无穷,不能说明相关的程度

  • 结果为正值,两者正相关
    正相关:自变量增长,因变量也跟着增长
  • 结果为负值,两种负相关
    负相关:自变量增长,因变量反而减少
  • 结果为0,两者之间没有关系

4. 相关系数

其值始终再-1到1之间变化

  • 计算公式
    相关系数 = 两个维度的协方差/(两个维度的标准差)

2. 协方差矩阵

1. 协方差

  • 针对一维样本集合时,求出的协方差其实就是方差,即方差是协方差的一种特殊情况,意义和方差一样,都是反映集合中各元素离散度的
  • 针对二维样本集合时,求出的协方差反映的就是两个维度之间的相关性,正相关性或负相关性,或无关
  • 针对三维样本集合时,求出的是各个维度总体的相关性,针对各维度之间的关系,所以二维以上计算协方差,用的就是协方差矩阵

2. 协方差矩阵

  • 出现多维数据时,若要对多维数据的相关性进行分析,那么就要用到协方差矩阵

1. 协方差矩阵计算

  • 以三维为例
    在这里插入图片描述
  • 例题在这里插入图片描述