JavaScript基础之混合对象-类

149 阅读18分钟

本文是我学习《你所不知道的javaScript上卷》的读书笔记的整理。

更多详细内容,请微信搜索“前端爱好者戳我 查看

混合对象 --- “类”

面向类的设计模式:

  • 实例化(instantiation)

  • 继承(inheritance)

  • (相对)多态(polymorphism)

1. 什么是“类“

类 / 继承描述了一种代码的组织结构形式——一种在软件中对真实世界中问题领域的“建模方法”

面向对象编程强调的是数据和操作数据的行为本质上是互相关联的(当然,不同的数据有不同的行为)。

数据结构 -- 把数据以及和它相关的行为打包(或者说封装)起来。

所有字符串都是 String 类的一个实例,也就是说它是一个包裹,包含字符数据和我们可以应用在数据上的函数。

主要概念:

  • -- ECMAScript 2015 中引入的 JavaScript 类(classes) 实质上是 JavaScript 现有的基于原型的继承的语法糖。

类语法不是向JavaScript引入一个新的面向对象的继承模型。

JavaScript类提供了一个更简单和更清晰的语法来创建对象并处理继承。

  • 继承 -- 继承的对象函数并不是通过复制而来,而是通过原型链继承(通常被称为 原型式继承 —— prototypal inheritance)。

  • 实例化 -- 实例化一个对象 就是为对象开辟内存空间,或者是不用声明,直接使用,用某个类创建一个对象,就叫对象实例化。

 function test(num){  
   this.num = num;  
 }  
 var number = new test(123);  
  • 多态 -- 父类的通用行为可以被子类用更特殊的行为重写。

实际上,相对多态性允许我们从重写行为中引用基础行为。

类理论强烈建议父类和子类使用相同的方法名来表示特定的行为,从而让子类重写父类。

我们来看一个常见的例子:

“汽车”可以被看作“交通工具”的一种特例,后者是更广泛的

我们可以在软件中定义一个 Vehicle 和一个 Car 来对这种关系进行建模

Vehicle 的定义可能包含推进器(比如引擎)、载人能力等等,这些都是 Vehicle 的行为。我们在Vehicle 中定义的是(几乎)所有类型的交通工具(飞机、火车和汽车)都包含的东西。

在我们的软件中,对不同的交通工具重复定义“载人能力”是没有意义的。相反,我们只在 Vehicle 中定义一次,定义 Car 时,只要声明它继承(或者扩展)了 Vehicle 的这个基础定义就行。Car 的定义就是对通用 Vehicle 定义的特殊化。

虽然 Vehicle 和 Car 会定义相同的方法,但是实例中的数据可能是不同的,比如每辆车独一无二的 VIN(Vehicle Identification Number,车辆识别号码),等等。

这就是类、继承和实例化。

1.1     “类”设计模式

面向对象设计模式:

  • 迭代器模式、

  • 观察者模式、

  • 工厂模式、

  • 单例模式,

  • 等等

你可能从来没把类作为设计模式来看待

类并不是必须的编程基础,而是一种可选的代码抽象。

1.2 JavaScript中的“类”

有些语言(比如 Java)并不会给你选择的机会,类并不是可选的——万物皆是类。

其他语言(比如 C/C++ 或者 PHP)会提供过程化和面向类这两种语法,开发者可以选择其中一种风格或者混用两种风格。

JavaScript 属于哪一类呢?

在相当长的一段时间里,JavaScript 只有一些近似类的语法元素
(比如new 和instanceof),不过在后来的 ES6 中新增了一些元素,比如class 关键字。

这是不是意味着 JavaScript 中实际上有类呢?简单来说:不是。

JavaScript 中实际上没有类。

JavaScript 的机制其实和类完全不同

在软件设计中类是一种可选的模式,你需要自己决定是否在 JavaScript 中使用它。

2.    类的机制

2.1    建造

“类”和“实例”的概念来源于房屋建造。

一个类就是一张蓝图。

为了获得真正可以交互的对象,我们必须按照类来建造(也可以说实例化)一个东西,这个东西通常被称为实例

有需要的话,我们可以直接在实例上调用方法并访问其所有公有数据属性。

这个对象就是类中描述的所有特性的一份副本。

构造函数

2.2 构造函数

类实例是由一个特殊的类方法构造的,这个方法名通常和类名相同,被称为构造函数。

这个方法的任务就是初始化实例需要的所有信息(状态)。

举例来说,思考下面这个关于类的伪代码(编造出来的语法):

class CoolGuy {  
  specialTrick = nothing  
  
  CoolGuy( trick ) {  
     specialTrick = trick  
  }  
  
  showOff() {  
   output( "Here's my trick: ", specialTrick )  
  }  
}  

我们可以调用类构造函数来生成一个 CoolGuy 实例:

1Joe = new CoolGuy( "jumping rope" )  
2Joe.showOff() // 这是我的绝技:跳绳  

注意:

  • CoolGuy 类有一个 CoolGuy() 构造函数,执行 new CoolGuy() 时实际上调用的就是它。

  • 构造函数会返回一个对象(也就是类的一个实例),之后我们可以在这个对象上调用
    showOff() 方法,来输出指定 CoolGuy 的特长。

总结:

  • 类构造函数属于类,而且通常和类同名。

  • 构造函数大多需要用 new 来调用

3. 类的继承

定义好一个子类之后,相对于父类来说它就是一个独立并且完全不同的类。

子类会包含父类行为的原始副本,但是也可以重写所有继承的行为甚至定义新行为。

非常重要的一点是,我们讨论的父类和子类并不是实例

父类和子类的比喻容易造成一些误解,实际上我们应当把父类和子类称为父类 DNA 和子类 DNA。我们需要根据这些 DNA 来创建(或者说实例化)一个人,然后才能和他进行沟通。

思考下面关于类继承的伪代码

 class Vehicle {  
   engines = 1   
   ignition() {  
     output( "Turning on my engine." );  
   }   
  drive() {  
     ignition();  
     output( "Steering and moving forward!" )  
   }  
} 

class Car inherits Vehicle {  
  wheels = 4  
  drive() {  
    inherited:drive()  
    output( "Rolling on all ", wheels, " wheels!" )  
  }  
}  

class SpeedBoat inherits Vehicle {  
  engines = 2  
  ignition() {  
    output( "Turning on my ", engines, " engines." )  
  }  
  pilot() {  
    inherited:drive()  
    output( "Speeding through the water with ease!" )  
  }  
}

3.1 多态

Car 重写了继承自父类的 drive() 方法, 但是之后 Car 调用了 inherited:drive() 方法, 这表明 Car 可以引用继承来的原始 drive() 方法。

快艇的 pilot() 方法同样引用了原始 drive() 方法。

这个技术被称为多态或者虚拟多态。

在许多语言中可以使用 super 来代替本例中的 inherited:,  
它的含义是“ 超类”
(superclass),表示当前类的父类 / 祖先类。

多态:

  • 任何方法都可以引用继承层次中高层的方法(无论高层的方法名和当前方法名是否相同)。

  • 在继承链的不同层次中一个方法名可以被多次定义,当调用方法时会自动选择合适的定义。

super

在传统的面向类的语言中 super 还有一个功能,就是从子类的构造函数中通过super 可以直接调用父类的构造函数。

通常来说这没什么问题,因为对于真正的类来说,构造函数是属于类的。

在JavaScript 中恰好相反——实际上“类”是属于构造函数的(类似Foo.prototype… 这样的类型引用)。

由于 JavaScript 中父类和子类的关系只存在于两者构造函数对应的 .prototype 对象中,  
因此它们的构造函数之间并不存在直接联系,从而无法简单地实现两者的相对引用(在 ES6 的类中可以通过 super 来“解决”这个问题)。

在子类(而不是它们创建的实例对象!)中也可以相对引用它继承的父类,这种相对引用通常被称为 super。

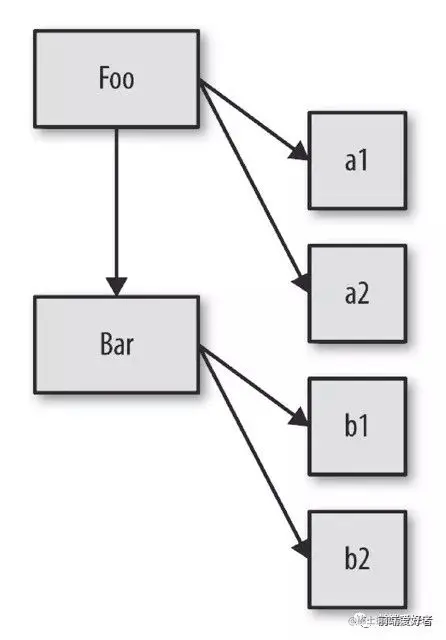
详见下图:

图片

注意这些实例(a1、a2、b1 和 b2)和继承(Bar),箭头表示复制操作。

从概念上来说,子类 Bar 应当可以通过相对多态引用(或者说 super)来访问父类 Foo 中的行为。

需要注意,子类得到的仅仅是继承自父类行为的一份副本。

子类对继承到的一个方法进行“重写”,不会影响父类中的方法,这两个方法互不影响,

因此才能使用相对多态引用访问父类中的方法(如果重写会影响父类的方法,那重写之后父类中的原始方法就不存在了,自然也无法引用)。

多态并不表示子类和父类有关联,子类得到的只是父类的一份副本。

类的继承其实就是复制。(javaScript中不存在类)

3.2 多重继承

有些面向类的语言允许你继承多个“父类”。

多重继承意味着所有父类的定义都会被复制到子类中。

钻石问题

在钻石问题中,子类 D 继承自两个父类(B 和 C),这两个父类都继承自 A。如果 A 中有 drive() 方法并且 B 和 C 都重写了这个方法(多态),那当 D 引用 drive() 时应当选择哪个版本呢(B:drive() 还是 C:drive())?

这些问题远比看上去要复杂得多。

相比之下,JavaScript 要简单得多:

JavaScript本身并不提供“多重继承”功能。

4.    混入

在继承或者实例化时,JavaScript 的对象机制并不会自动执行复制行为

JavaScript 中只有对象,并不存在可以被实例化的“类”。

一个对象并不会被复制到其他对象,它们会被关联起来

由于在其他语言中类表现出来的都是复制行为,因此JavaScript 开发者也想出了一个方法来模拟类的复制行为,这个方法就是混入

主要两种类型的混入:显式和隐式。

4.1    显式混入

我们来回顾一下之前提到的 Vehicle 和 Car。

由于 JavaScript 不会自动实现 Vehicle 到 Car 的复制行为,所以我们需要手动实现复制功能

这个功能在许多库和框架中被称为extend(..),但是为了方便理解我们称之为 mixin(..)

 // 非常简单的 mixin(..) 例子 :  
  function mixin( sourceObj, targetObj ) {  
   for (var key in sourceObj) {  
     // 只会在不存在的情况下复制  
     if (!(key in targetObj)) {  
       targetObj[key] = sourceObj[key];  
    }  
   }  
   return targetObj;  
}  
var Vehicle = {  
  engines: 1,  
  ignition: function() {  
    console.log( "Turning on my engine." );  
  },  
  drive: function() {  
   this.ignition();  
    console.log( "Steering and moving forward!" );  
  }  
};  
var Car = mixin( Vehicle, {  
  wheels: 4,  
  drive: function() {  
   Vehicle.drive.call( this );  
    console.log(  
      "Rolling on all " + this.wheels + " wheels!"  
    );  
  }  
}
);

一点需要注意,我们处理的已经不再是类了,因为在 JavaScript 中不存在类,Vehicle 和 Car 都是对象,供我们分别进行复制和粘贴。

现在 Car 中就有了一份 Vehicle 属性和函数的副本了。

从技术角度来说,函数实际上没有被复制,复制的是函数引用。

所以,Car 中的属性 ignition 只是从 Vehicle 中复制过来的对于 ignition() 函数的引用。相反,属性 engines 就是直接从 Vehicle 中复制了值 1。

Car 已经有了 drive 属性(函数),所以这个属性引用并没有被 mixin 重写,从而保留了 Car 中定义的同名属性,实现了“子类”对“父类”属性的重写(参见 mixin(..) 例子中的 if 语句)。

4.1.1 再说多态

我们来分析一下这条语句:Vehicle.drive.call( this )。这就是我所说的显式多态

还记得吗,在之前的伪代码中对应的语句是 inherited:drive(),我们称之为相对多态

JavaScript( 在 ES6 之前 ) 并没有相对多态的机制。所以, 由于 Car 和 Vehicle 中都有 drive() 函数,为了指明调用对象,我们必须使用绝对(而不是相对)引用。我们通过名称显式指定 Vehicle 对象并调用它的 drive() 函数。

但是如果直接执行 Vehicle.drive(),函数调用中的 this 会被绑定到 Vehicle 对象而不是 Car 对象 ,这并不是我们想要的。

因此,我们会使用 .call(this) 来确保 drive() 在 Car 对象的上下文中执行。

使用伪多态通常会导致代码变得更加复杂、难以阅读并且难以维护,
因此应当尽量避免使用显式伪多态,因为这样做往往得不偿失。

4.1.2 混合复制

回顾一下之前提到的 mixin(..) 函数:

 // 非常简单的 mixin(..) 例子 :  
 function mixin( sourceObj, targetObj ) {  
   for (var key in sourceObj) {  
     // 只会在不存在的情况下复制  
     if (!(key in targetObj)) {  
       targetObj[key] =   sourceObj[key];  
     }  
   }  
   return targetObj;  
}

mixin(..) 的工作原理:

它会遍历 sourceObj(本例中是 Vehicle)的属性,如果在 targetObj(本例中是 Car)没有这个属性就会进行复制。

由于我们是在目标对象初始化之后才进行复制,因此一定要小心不要覆盖目标对象的原有属性。

复制操作完成后,Car 就和 Vehicle 分离了,向 Car 中添加属性不会影响 Vehicle,反之亦然。

由于两个对象引用的是同一个函数,因此这种复制(或者说混入)实际上并不能完全模拟面向类的语言中的复制。

JavaScript 中的函数无法(用标准、可靠的方法)真正地复制,所以你只能复制对共享函数对象的引用(函数就是对象)。

如果你修改了共享的函数对象(比如ignition()),比如添加了一个属性,那 Vehicle 和 Car 都会受到影响。

显式混入是 JavaScript 中一个很棒的机制,不过它的功能也没有看起来那么强大。虽然它可以把一个对象的属性复制到另一个对象中,但是这其实并不能带来太多的好处,无非就是少几条定义语句,而且还会带来我们刚才提到的函数对象引用问题。

一定要注意,只在能够提高代码可读性的前提下使用显式混入,避免使用增加代码理解难度或者让对象关系更加复杂的模式。

如果使用混入时感觉越来越困难,那或许你应该停止使用它了。实际上,如果你必须使用一个复杂的库或者函数来实现这些细节,那就标志着你的方法是有问题的或者是不必要的。

4.1.3 寄生继承

显式混入模式的一种变体被称为“寄生继承”,它既是显式的又是隐式的。

 //“传统的 JavaScript 类”Vehicle  
 function Vehicle() {  
   this.engines = 1;  
 }  
 
 Vehicle.prototype.ignition = function() {  
   console.log( "Turning on my engine." );  
 };  
 
 Vehicle.prototype.drive = function() {  
   this.ignition();  
  console.log( "Steering and moving forward!" );  
};
 //“寄生类”Car  
 function Car() {  
   // 首先,car 是一个 Vehicle  
   var car = new Vehicle();  
   // 接着我们对 car 进行定制  
   car.wheels = 4;  
   // 保存到 Vehicle::drive() 的特殊引用  
   var vehDrive = car.drive;  
   // 重写 Vehicle::drive()  
  car.drive = function() {  
    vehDrive.call( this );  
    console.log( "Rolling on all " + this.wheels + " wheels!"  
  );  
  return car;  
}  
var myCar = new Car();  
myCar.drive();  
// 发动引擎。  
// 手握方向盘!  
// 全速前进!

首先我们复制一份 Vehicle 父类(对象)的定义,然后混入子类(对象)的定义(如果需要的话保留到父类的特殊引用),然后用这个复合对象构建实例。

4.2    隐式混入

隐式混入和之前提到的显式伪多态很像,因此也具备同样的问题。

 var Something = {  
   cool: function() {  
     this.greeting = "Hello World";  
     this.count = this.count ? this.count + 1 : 1;  
   }  
 };  
 
 Something.cool();  
 Something.greeting; // "Hello World"  
 Something.count; // 1  
var Another = {  
  cool: function() {  
    // 隐式把 Something 混入 Another  
     Something.cool.call( this );  
  }  
};  

Another.cool();  
Another.greeting; // "Hello World"  
Another.count; // 1(count 不是共享状态)

通过在构造函数调用或者方法调用中使用 Something.cool.call( this ),我们实际上“借用”了函数 Something.cool() 并在 Another 的上下文中调用了它(通过 this 绑定)。最终的结果是 Something.cool() 中的赋值操作都会应用在 Another 对象上而不是 Something 对象上。

5.    小结

  • 类是一种设计模式。

  • 许多语言提供了对于面向类软件设计的原生语法。JavaScript 也有类似的语法,但是和其他语言中的类完全不同。

  • 类意味着复制。-- 传统的类被实例化时,它的行为会被复制到实例中。类被继承时,行为也会被复制到子类中。

  • JavaScript 并不会(像类那样)自动创建对象的副本。

  • 多态(在继承链的不同层次名称相同但是功能不同的函数)看起来似乎是从子类引用父类,但是本质上引用的其实是复制的结果。

  • 混入模式(无论显式还是隐式)可以用来模拟类的复制行为,但是通常会产生丑陋并且脆弱的语法,比如显式伪多态(OtherObj.methodName.call(this, …)),这会让代码更加难懂并且难以维护。

Javascript定义类(class)的三种方法

将近20年前,Javascript诞生的时候,只是一种简单的网页脚本语言。如今,它变得几乎无所不能,从前端到后端,有着各种匪夷所思的用途。程序员用它完成越来越庞大的项目。

Javascript代码的复杂度也直线上升。单个网页包含10000行Javascript代码,早就司空见惯。2010年,一个工程师透露,Gmail的代码长度是443000行!

编写和维护如此复杂的代码,必须使用模块化策略

目前,业界的主流做法是采用"面向对象编程"。

因此,Javascript如何实现面向对象编程,就成了一个热门课题。

麻烦的是:

Javascipt语法不支持"类"(class),

导致传统的面向对象编程方法无法直接使用。

程序员们做了很多探索,研究如何用Javascript模拟"类"。

本文总结了Javascript定义"类"的三种方法,讨论了每种方法的特点。

1. 构造函数法

这是经典方法,它用构造函数模拟"类",在其内部用this关键字指代实例对象。

function Cat() {  
  this.name = "大毛";  
}  

生成实例的时候,使用new关键字。

var cat1 = new Cat();  
alert(cat1.name); // 大毛  

类的属性和方法,还可以定义在构造函数的prototype对象之上。

Cat.prototype.makeSound = function(){  
  alert("喵喵喵");  
}  

缺点: -- 比较复杂,用到了this和prototype,编写和阅读都很费力。

2. Object.create()法

Javascript的国际标准ECMAScript第五版(ES5),提出了一个新的方法Object.create()

用这个方法,"类"就是一个对象,不是函数。

var Cat = {  
  name: "大毛",  
  makeSound: function(){  
    alert("喵喵喵");  
  }  
};  

然后,直接用Object.create()生成实例,不需要用到new。

var cat1 = Object.create(Cat);  
alert(cat1.name); // 大毛  
cat1.makeSound(); // 喵喵喵  

目前,各大浏览器的最新版本(包括IE9)都部署了这个方法。如果遇到老式浏览器,可以用下面的代码自行部署。

if (!Object.create) {  
  Object.create = function (o) {  
    function F() {}  
    F.prototype = o;  
    return new F();  
  };  
}  

优点:

  • 比"构造函数法"简单

缺点:

  • 能实现私有属性和私有方法

  • 实例对象之间也不能共享数据,对"类"的模拟不够全面。

3. 极简主义法

3.1 封装

这种方法不使用this和prototype,代码部署起来非常简单,这大概也是它被叫做"极简主义法"的原因。

首先,它也是用一个对象模拟"类"。在这个类里面,定义一个构造函数createNew(),用来生成实例。

var Cat = {  
  createNew: function(){  
    // some code here  
    }  
};  

然后,在createNew()里面,定义一个实例对象,把这个实例对象作为返回值。

 var Cat = {  
   createNew: function(){  
     var cat = {};  
     cat.name = "大毛";  
     cat.makeSound = function(){  
       alert("喵喵喵");  
     };  
     return cat;  
   }  
};

使用的时候,调用createNew()方法,就可以得到实例对象。

var cat1 = Cat.createNew();  
cat1.makeSound(); // 喵喵喵  

这种方法的好处是,容易理解,结构清晰优雅,符合传统的"面向对象编程"的构造,因此可以方便地部署下面的特性。

3.2 继承

让一个类继承另一个类: 只要在前者的createNew()方法中,调用后者的createNew()方法即可。

先定义一个Animal类。

var Animal = {  
  createNew: function(){  
    var animal = {};  
      animal.sleep = function(){  
        alert("睡懒觉");  
      };  
      return animal;  
    }  
};  

然后,在Cat的createNew()方法中,调用Animal的createNew()方法。

 var Cat = {  
   createNew: function(){  
     var cat = Animal.createNew();  
     cat.name = "大毛";  
     cat.makeSound = function(){  
       alert("喵喵喵");  
     };  
     return cat;  
   }  
};

这样得到的Cat实例,就会同时继承Cat类和Animal类。

var cat1 = Cat.createNew();  
cat1.sleep(); // 睡懒觉  

3.3 私有属性和私有方法

在createNew()方法中,只要不是定义在cat对象上的方法和属性,都是私有的。

 var Cat = {  
   createNew: function(){  
     var cat = {};  
       var sound = "喵喵喵";  
       cat.makeSound = function(){  
         alert(sound);  
       };  
       return cat;  
     }  
};

上例的内部变量sound,外部无法读取,只有通过cat的公有方法makeSound()来读取。

var cat1 = Cat.createNew();  
alert(cat1.sound); // undefined  

3.4 数据共享

有时候,我们需要所有实例对象,能够读写同一项内部数据。

这个时候,只要把这个内部数据,封装在类对象的里面、createNew()方法的外面即可。

 var Cat = {  
   sound : "喵喵喵",  
   createNew: function(){  
     var cat = {};  
     cat.makeSound = function(){  
       alert(Cat.sound);  
     };  
     cat.changeSound = function(x){  
       Cat.sound = x;  
    };  
    return cat;  
  }  
};

然后,生成两个实例对象:

var cat1 = Cat.createNew();  
var cat2 = Cat.createNew();  
cat1.makeSound(); // 喵喵喵  

这时,如果有一个实例对象,修改了共享的数据,另一个实例对象也会受到影响。

cat2.changeSound("啦啦啦");  
cat1.makeSound(); // 啦啦啦  

4. 工厂模式

 //工厂模式    
 function oj(){    
     var lio = new Object();    
     lio.name = 'lio';    
     lio.attr = '男';    
     lio.hobby = function(){    
         var li = document.createElement("p");    
         var txt = document.createTextNode("三妹");    
         li.appendChild(txt);    
        document.body.appendChild(li);    
    };    
    return lio;    
}    
var person = oj();    
//alert(person.name);

5. 原型模式

 function oj3(){    
   //this.name = 'lio';    
 }    
 oj3.prototype.name = 'lio';    
 oj3.prototype.love = function (name) {    
    alert("爱"+name);    
 };    
 var person3=new oj3();  
 //检测是在实例中还是在原型中    
alert(person3.hasOwnProperty("name"));   //false    
alert(person3.hasOwnProperty("rename")); //false    
person3.love('三妹');

6. 混合模式

 //混合模式    
 function oj4(age) {    
     this.age = age;    
     this.rename = 'aaaa';    
 };    
 oj4.prototype = {    
     constructor:oj4,    
     name:'lio',    
     age:123,    
    love: function (name) {    
        alert(name+"爱三妹");    
    }    
};    
var person4 = new oj4(18);    
alert(person4.hasOwnProperty("age")); //true    
person4.love('lio');

参考链接

前端爱好者