欢迎来到第 36 期的【视野修炼 - 技术周刊】,下面是本期的精选内容简介
🔥强烈推荐
- 多种技巧实现,超长溢出头部省略打点
- Fluent Emoji Maker
🔧开源工具&技术资讯
- 开源项目与开源经历分享
- 简易的CodePen实现
🤖AI工具&资讯
- ChatPDF/PPT/Excel
- 面向开发人员的 ChatGPT 提示工程
- AI转绘清明上河图
- newBing全面开放,注册即可用
- AI论文速递
也推荐大家关注一下最后的推荐内容(周刊的主要内容来源渠道)
下面开始本期内容的介绍,预计阅读时间 7 分钟。
🔥强烈推荐
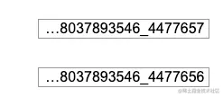
1. 多种技巧实现,超长溢出头部省略打点
作者详解了4种方案实现 头部省略打点
2. Fluent Emoji Maker
可玩性强的自定义emoji表情生成
🔧开源工具&技术资讯
3. 开源项目与开源经历分享
作者分享了开源一个 图片编辑器 项目的经历
4. 简易的CodePen实现
作者使用极少的代码实现了类似CodePen效果,效果和代码如下
🤖AI工具&资讯
5. ChatPDF/PPT/Excel
就差个ChatWord了就齐全了,动动“嘴”完成办公
ChatPDF
ChatExcel
ChatPPT
6. 面向开发人员的 ChatGPT 提示工程
7. AI转绘清明上河图
成品挺惊艳的
8. newBing全面开放,注册即可用
Chrome可以安装插件 Bing Unchained 实现访问
9. AI论文速递
自动抓取 AI 领域论文,通过 GPT 生成中文标题和论文概要,高亮顶会论文,方便快速筛选
😛趣图
篇幅有限,如果你还没看够,可移步后面的推荐渠道,继续游览,历史周刊(<20)移步博客
⭐️强力推荐关注
- 阮一峰: 科技爱好者周刊 - 记录每周值得分享的科技内容,周五发布
- 云谦:MDH 前端周刊 - 前端资讯和分享
- 童欧巴:前端食堂 - 你的前端食堂,吃好每一顿饭
- rottenpen:FE News - 分享前端,生活
- 知识星球:咲奈的平行时空 - 前端前沿技术、资讯、方法论分享