【数据结构之二叉树】——二叉树的概念及结构,特殊的二叉树和二叉树性质

210 阅读3分钟

@TOC


一、二叉树的概念及结构

1.概念

一棵二叉树是结点的一个有限集合,该集合:

  1. 或者为空
  2. 由一个根节点加上两棵别称为左子树和右子树的二叉树组成 在这里插入图片描述 如上图就是二叉树,可以看出: 1.二叉树每个节点的度<=2

2. 二叉树的子树有左右之分,次序不能颠倒,因此二叉树是有序树

注意:对于任意的二叉树都是由以下几种情况复合而成的:

在这里插入图片描述

2.现实中的二叉树

在这里插入图片描述

3. 特殊的二叉树:

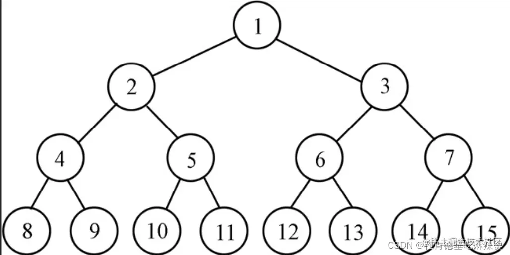
1)满二叉树:一个二叉树,如果每一个层的结点数都达到最大值,则这个二叉树就是满二叉树。也就是说,如果一个二叉树的层数为K,且结点总数是2^K-1 ,则它就是满二叉树。

在这里插入图片描述

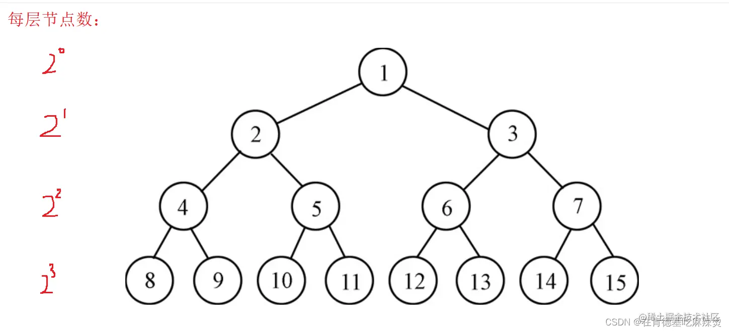
如上图:这是一棵满二叉树: 推导:

在这里插入图片描述 该二叉树的高度是h = 4. 则该二叉树的节点总数Sn = 2^0 + 2^1 + 2^2 + ...+2^h-1

由等比数列求前n项和公式: 在这里插入图片描述 带入数据: 有 Sn = 2^h -1 (Sn为二叉树节点总数,h为树的高度)

所以这就是一棵标准的满二叉树。

如果我们知道一棵满二叉树的总节点个数,也可以推导出改满二叉树的节点的高度

推导如下: 在这里插入图片描述

h = log2(Sn+1)

2)完全二叉树:完全二叉树是效率很高的数据结构,完全二叉树是由满二叉树而引出来的。对于深度为K的,有n个结点的二叉树,当且仅当其每一个结点都与深度为K的满二叉树中编号从1至n的结点一一对应时称之为完全二叉树。

通俗地讲: 1)前面每层节点的度都是2 2)最后一层节点必须连续

要注意的是满二叉树是一种特殊的完全二叉树。 比如说下面这个:

在这里插入图片描述 解释如下: 在这里插入图片描述

如果是这几种情况,就不是完全二叉树: 在这里插入图片描述 因为它们不符合第二点要求:最后一层是连续的。

由满二叉树和二叉树的定义可知,满二叉数是特殊的完全二叉树。

类似地:当我们知道完全二叉树的节点数,可以推导完全二叉树的高度: 在这里插入图片描述

3.二叉树的性质

1. 若规定根节点的层数为1,则一棵非空二叉树的第n层上最多有2^(n-1) 个结点. 2. 若规定根节点的层数为1,则深度为h的二叉树的最大结点数是2^h - 1 . 3. 若规定根节点的层数为1,具有n个结点的满二叉树的深度,h= log2(n+1). (ps: 是log以2为底,n+1为对数) 4. 对任何一棵二叉树, 如果度为0其叶结点个数为n0, 度为2的分支结点个数为n2 ,则有 n0= n2+1 第四点解析: 以下图为例,度为0的节点的个数有4个,度为2的节点的个数有3个,则n0 = n2 + 1 在这里插入图片描述

5. 对于具有n个结点的完全二叉树,如果按照从上至下从左至右的数组顺序对所有节点从0开始编号,则对 于序号为i的结点有:

1)若i>0,i位置节点的双亲序号:(i-1)/2;i=0,i为根节点编号,无双亲节点

2)若2i+1<n,左孩子序号:2i+1,2i+1>=n否则无左孩子

3) 若2i+2<n,右孩子序号:2i+2,2i+2>=n否则无右孩子 在这里插入图片描述

以该例子为例套进去即可。

前面三点是上面推导过的,第四点和第五点是重点要记忆的


二、二叉树练习题

1. 某二叉树共有 399 个结点,其中有 199 个度为 2 的结点,
 则该二叉树中的叶子结点数为( )
A 不存在这样的二叉树
B 200
C 198
D 199

解析:

运用上面所讲的性质四即可秒杀。 4. 对任何一棵二叉树, 如果度为0其叶结点个数为n0, 度为2的分支结点个数为n2 ,则有 n0= n2+1

度为2的节点有199个,即n2 = 199,那么度为n0的节点 = n2+1 = 200

2.在具有 2n 个结点的完全二叉树中,叶子结点个数为( )
A n
B n+1
C n-1
D n/2

解析:

假设这棵完全二叉树的度为0,1,2的节点个数分别为: x0 ,x1,x2 有: x0+x1+x2 = 2n 又根据性质四,x0 = x2 + 1,所以化简一下得: x2+1+x1+x2 = 2n 对于一棵完全二叉树来说,度为1的节点的个数要么为0,要么为1 在这里插入图片描述 以上面这棵完全二叉树为例,度为1的节点只有1个 在这里插入图片描述 以上面这棵完全二叉树的节点为例:度为1的节点有0个。 所以对于任何一颗完全二叉树来说,度为1的节点只有1个或0个。 则x1 = 1或x1 = 0 当x1 = 1时, x2+1+x1+x2 = 2n -->2*x2 + 2 = 2n, 所以x2 = n

而当x1 = 0时,2*x2+1 = 2n,x2 = (2n-1)/2,节点个数不可能为小数,所以不成立 所以该完全二叉树的度为1的节点个数为n

3.一棵完全二叉树的节点数位为531个,那么这棵树的高度为( )
A 11
B 10
C 8
D 12

解析: 以这棵二叉树为例: 对于一棵完全二叉树,节点个数与高度的关系有: n = 2^h-1-x(x为完全二叉树最后一层中缺少的节点的个数) 缺少的节点是相对于满二叉树来说的。 在这里插入图片描述 x的最好情况和最坏情况如下: 在这里插入图片描述

当h = 10时,节点个数为 2^10 - 1 - x , 此时x的取值范围是[0,2^9-1-1],即[0,510] 代入原数据 531 = 2^10 -1 -x,x = 492,在取值范围内。

当n = 11时,节点个数为2^11 -1 -x, 此时x的取值范围是[0,2^10-1-1],即[0,1022] 代入原数据 531 = 2^11 -1 -x,x = 1516,不在取值范围内,不成立。 而对于当h = 12时,更不可能了。 对与h = 8,2^8 = 256,也不可能 所以h = 10,选B

4.一个具有767个节点的完全二叉树,其叶子节点个数为()
A 383
B 384
C 385
D 386

解析:

这道题的解法与第2题解法相同 直接画图分析: 在这里插入图片描述

总结

熟知二叉树的相关知识概念和性质,非常有助于进一步二叉树广度优先搜索和深度优先搜索的学习。