机器学习中的数学原理——过拟合、正则化与惩罚函数

255 阅读4分钟

通过这篇博客,你将清晰的明白什么是过拟合、正则化、惩罚函数。这个专栏名为白话机器学习中数学学习笔记,主要是用来分享一下我在 机器学习中的学习笔记及一些感悟,也希望对你的学习有帮助哦!感兴趣的小伙伴欢迎私信或者评论区留言!这一篇就更新一下 《 白话机器学习中的数学——过拟合、正则化与惩罚函数》

文章目录

一、过拟合

之前我们提到过的模型只能拟合训练数据的状态被称为过拟合,英文是 overfitting。记得在学习回归的时候,过度增加函数 fθ(x)的次数会导致过拟合。过拟合不止在回归时出现,在分类时也经常发生,我们要时常留意它。
避免过拟合有以下方法

  • 增加全部训练数据的数量
  • 使用简单的模型
  • 正则化

首先,重要的是增加全部训练数据的数量。之前我也讲过,机器学习是从数据中学习的,所以数据最重要。另外,使用更简单的模型也有助于防止过拟合。

二、正则化

2.1 正则化的方法

还记得我们在讲解回归的时候提到的目标函数吗?
在这里插入图片描述
我们要向这个目标函数增加下面这样的正则化项:
在这里插入图片描述
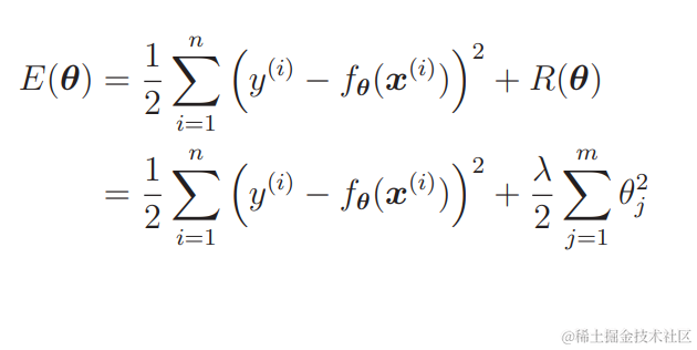
那么现在的 E ( θ ) E(\boldsymbol{\theta}) E(θ)就变为:
在这里插入图片描述
我们要对这个新的目标函数进行最小化,这种方法就称为正则化
m 是参数的个数,不过一般来说不对 θ0 应用正则化。所以仔细看会发现 j 的取值是从 1 开始的。也就是说,假如预测函数的表达式为 fθ(x) = θ0 + θ1x + θ2x2,那么 m = 2 就意味着正则化的对象参数为 θ1 和 θ2,θ0 这种只有参数的项称为偏置项,一般不对它进行正则化。λ 是决定正则化项影响程度的正的常数。这个值需要我们自己来定。

2.2 正则化的效果

光看表达式可能不容易理解。我们结合图来想象一下吧:首先把目标函数分成两个部分。
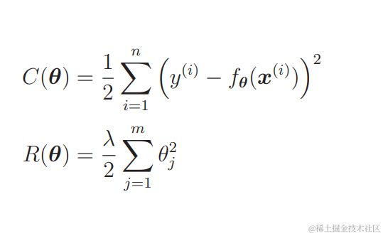
在这里插入图片描述
C(θ) 是本来就有的目标函数项,R(θ) 是正则化项。 C(θ) 和 R(θ) 相加之后就是新的目标函数,所以我们实际地把这两个函数的图形画出来,加起来看看。不过参数太多就画不出图来了,所以这里我们只关注 θ1。而且为了更加易懂,先不考虑 λ。
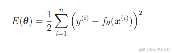
我们先从C(θ) 开始画起,不用太在意形状是否精确。在讲回归的时候,我们说过这个目
标函数开口向上,还记得吗?所以,我们假设它的形状是这样的:

在这里插入图片描述
从图中马上就可以看出最小值在哪里,是在θ1 = 4.5 附近。
在这里插入图片描述
从这个目标函数在没有正则化项时的形状来看,θ1 = 4.5 附近是最小值。接下来是 R(θ),它就相当于 1 2 θ 1 2 \frac{1}{2} \theta_1^2 21​θ12​所以是过原点的简单二次函数
在这里插入图片描述
实际的目标函数是这两个函数之和E(θ) = C(θ) + R(θ) ,我们来画一下它的图形。顺便考虑一下最小值在哪里。把 θ1 各点上的 C(θ) 和 R(θ) 的高相加,然后用线把它们相连就好:
在这里插入图片描述
从图中我们可以看出来最小值是 θ1 = 0.9,与加正则化项之前相比,θ1 更接近 0 了。本来是在 θ1 = 4.5 处最小,现在是在 θ1 = 0.9 处最小,的确更接近 0 了。这就是正则化的效果。它可以防止参数变得过大,有助于参数接近较小的值。虽然我们只考虑了 θ1,但其他 θj 参数的情况也是类似的。
参数的值变小,意味着该参数的影响也会相应地变小。比如,有这样的一个预测函数 fθ(x): f θ ( x ) = θ 0 + θ 1 x + θ 2 x 2 f_{\boldsymbol{\theta}}(\boldsymbol{x})=\theta_0+\theta_1 x+\theta_2 x^2 fθ​(x)=θ0​+θ1​x+θ2​x2
极端一点,假设 θ2 = 0,这个表达式就从二次变为一次了,这就意味着本来是曲线的预测函数变为直线了:
在这里插入图片描述
这正是通过减小不需要的参数的影响,将复杂模型替换为简单模型来防止过拟合的方式。

三、惩罚函数

为了防止参数的影响过大,在训练时要对参数施加一些惩罚。比如上面提到的 λ,可以控制正则化惩罚的强度。 C ( θ ) = 1 2 ∑ i = 1 n ( y ( i ) − f θ ( x ( i ) ) ) 2 R ( θ ) = λ 2 ∑ j = 1 m θ j 2 \begin{aligned} & C(\boldsymbol{\theta})=\frac{1}{2} \sum_{i=1}^n\left(y^{(i)}-f_{\boldsymbol{\theta}}\left(\boldsymbol{x}^{(i)}\right)\right)^2 \\ & R(\boldsymbol{\theta})=\frac{\lambda}{2} \sum_{j=1}^m \theta_j^2 \end{aligned} ​C(θ)=21​i=1∑n​(y(i)−fθ​(x(i)))2R(θ)=2λ​j=1∑m​θj2​​
比如令 λ = 0,那就相当于不使用正则化
在这里插入图片描述
λ 越大,正则化的惩罚也就越严厉
在这里插入图片描述