蓝桥杯刷题——基础篇(二)

210 阅读15分钟

这部分题目,主要面向有志参加ACM与蓝桥杯竞赛的同学而准备的,蓝桥杯与ACM考察内容甚至评测标准基本都一样,因此本训练计划提供完整的刷题顺序,循序渐进,提高代码量,巩固基础。因竞赛支持C语言、C++、Java甚至Python等语言,本专栏以Python语言作为编程语言!

目录

​编辑1. 计算(a+b)*c的值

题目描述

输入格式

输出格式

样例输入

样例输出

 2.计算(a+b)/c的值

题目描述

输入格式

输出格式

样例输入

样例输出

 3. 带余除法

题目描述

输入格式

输出格式

样例输入

样例输出

 4.计算分数的浮点数值

题目描述

输入格式

输出格式

样例输入

样例输出

 5.鸡兔同笼问题

题目描述

输入格式

输出格式

样例输入

样例输出

 6.甲流疫情死亡率

题目描述

输入格式

输出格式

样例输入

样例输出

 7.计算多项式的值

题目描述

输入格式

输出格式

样例输入

样例输出

8.温度转换

题目描述

输入格式

输出格式

样例输入

样例输出

 9.与圆相关的计算

题目描述

输入格式

输出格式

样例输入

样例输出

 10.计算并联电阻的阻值

题目描述

输入格式

输出格式

样例输入

样例输出

 11.成绩

题目描述

输入格式

输出格式

样例输入

样例输出

 12.整型数据类型存储空间大小

题目描述

输入格式

输出格式

样例输入

样例输出

 13.浮点型数据类型存储空间大小

题目描述

输入格式

输出格式

样例输入

样例输出

 14.其他基本数据类型存储空间大小

题目描述

输入格式

输出格式

样例输入

样例输出

15.浮点数向零舍入

题目描述

输入格式

输出格式

样例输入

样例输出

1. 计算(a+b)*c的值

题目描述

给定3个整数a、b、c,计算表达式(a+b)*c的值。

输入格式

输入仅一行,包括三个整数a、b、c, 数与数之间以一个空格分开。
(-10,000 < a,b,c < 10,000)

输出格式

输出一行,即表达式的值。

样例输入

复制

2 3 5

样例输出

复制

25
#!/usr/bin/env python
# -*- coding: UTF-8 -*-
"""
@Project :蓝桥杯刷题 
@File    :16.计算(a+b)c的值.py
@IDE     :PyCharm 
@Author  :咋
@Date    :2023/2/16 9:51 
"""
a,b,c = map(int,input().split())
print((a+b)*c)

 2.计算(a+b)/c的值

题目描述

给定3个整数a、b、c,计算表达式(a+b)/c的值,/是整除运算。

输入格式

输入仅一行,包括三个整数a、b、c, 数与数之间以一个空格分开。(-10,000 < a,b,c < 10,000, c不等于0)

输出格式

输出一行,即表达式的值。

样例输入

复制

1 1 3

样例输出

复制

0
#!/usr/bin/env python
# -*- coding: UTF-8 -*-
"""
@Project :蓝桥杯刷题 
@File    :17.计算(a+b)除c的值.py
@IDE     :PyCharm 
@Author  :咋
@Date    :2023/2/16 9:53 
"""
a,b,c = map(int,input().split())
print(int((a+b)/c))

 3. 带余除法

题目描述

给定被除数和除数,求整数商及余数。

此题中请使用默认的整除和取余运算,无需对结果进行任何特殊处理。看看程序运行结果与数学上的定义有什么不同?

输入格式

一行,包含两个整数,依次为被除数和除数(除数非零),中间用一个空格隔开。

输出格式

一行,包含两个整数,依次为整数商和余数,中间用一个空格隔开。

样例输入

复制

10 3

样例输出

复制

3 1
#!/usr/bin/env python
# -*- coding: UTF-8 -*-
"""
@Project :蓝桥杯刷题 
@File    :18.带余除法.py
@IDE     :PyCharm 
@Author  :咋
@Date    :2023/2/16 9:58 
"""
a,b = map(int,input().split())
print(int(a/b),a%b)

 4.计算分数的浮点数值

题目描述

两个整数a和b分别作为分子和分母,既分数 a/b ,求它的浮点数值(双精度浮点数,保留小数点后9位)。

输入格式

输入仅一行,包括两个整数a和b(b不为0)。

输出格式

输出也仅一行,分数 a/b 的浮点数值(双精度浮点数,保留小数点后9位)。

样例输入

复制

5 7

样例输出

复制

0.714285714
#!/usr/bin/env python
# -*- coding: UTF-8 -*-
"""
@Project :蓝桥杯刷题 
@File    :19.计算分数的浮点数值.py
@IDE     :PyCharm 
@Author  :咋
@Date    :2023/2/16 9:59 
"""
a,b = map(int,input().split())
print("%.9f"%(a/b))

 5.鸡兔同笼问题

题目描述

数学中经典的“鸡兔同笼”问题,已知头共x个,脚共y只,问笼中的鸡和兔各有多少只?

输入格式

头和脚的数量

输出格式

鸡和兔各自数量。一个空格隔开。

样例输入

复制

30 90

样例输出

复制

15 15
#!/usr/bin/env python
# -*- coding: UTF-8 -*-
"""
@Project :蓝桥杯刷题 
@File    :20.鸡兔同笼问题.py
@IDE     :PyCharm 
@Author  :咋
@Date    :2023/2/16 10:01 
"""
x,y = map(int,input().split())
for i in range(1,x+1):
    if 4*i+2*(x-i) == y:
        print(x-i,i)

 6.甲流疫情死亡率

题目描述

甲流并不可怕,在中国,它的死亡率并不是很高。请根据截止2009年12月22日各省报告的甲流确诊数和死亡数,计算甲流在各省的死亡率。

输入格式

输入仅一行,有两个整数,第一个为确诊数,第二个为死亡数。

输出格式

输出仅一行,甲流死亡率,以百分数形式输出,精确到小数点后3位。

样例输入

复制

10433 60

样例输出

复制

0.575%
#!/usr/bin/env python
# -*- coding: UTF-8 -*-
"""
@Project :蓝桥杯刷题 
@File    :21.甲流疫情死亡率.py
@IDE     :PyCharm 
@Author  :咋
@Date    :2023/2/16 10:19 
"""
a,b = map(int,input().split())
result = b/a*100
print("%.3f%%"%result)

 7.计算多项式的值

题目描述

对于多项式f(x) = ax3 + bx2 + cx + d 和给定的a, b, c, d, x,计算f(x)的值。

输入格式

输入仅一行,包含5个实数,分别是x,及参数a、b、c、d的值,每个数都是绝对值不超过100的双精度浮点数。数与数之间以一个空格分开。

输出格式

输出一个实数,即f(x)的值,保留到小数点后7位。

样例输入

复制

2.31 1.2 2 2 3

样例输出

复制

33.0838692
#!/usr/bin/env python
# -*- coding: UTF-8 -*-
"""
@Project :蓝桥杯刷题 
@File    :22.计算多项式的值.py
@IDE     :PyCharm 
@Author  :咋
@Date    :2023/2/16 10:24 
"""
def func(a,b,c,d,x):
    return a*x**3 + b*x**2 + c*x + d
x,a,b,c,d = map(float,input().split())
print("%.7f"%(func(a,b,c,d,x)))

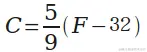
8.温度转换

题目描述

输入一个华氏温度,要求输出摄氏温度。公式为

保留两位小数

输入格式

输出格式

样例输入

复制

-40

样例输出

复制

-40.00 
#!/usr/bin/env python
# -*- coding: UTF-8 -*-
"""
@Project :蓝桥杯刷题 
@File    :23.温度转换.py
@IDE     :PyCharm 
@Author  :咋
@Date    :2023/2/16 10:29 
"""
F = float(input())
C = (5/9) *(F-32)
print("%.2f"%C)

 9.与圆相关的计算

题目描述

给出圆的半径,求圆的直径、周长和面积。

输入格式

输入包含一个实数r(0 < r <= 10,000),表示圆的半径。

输出格式

输出一行,包含三个数,分别表示圆的直径、周长、面积,数与数之间以一个空格分开,每个数保留小数点后4位。

样例输入

复制

3.0

样例输出

复制

6.0000 18.8495 28.2743
#!/usr/bin/env python
# -*- coding: UTF-8 -*-
"""
@Project :蓝桥杯刷题 
@File    :34.与圆相关的计算.py
@IDE     :PyCharm 
@Author  :咋
@Date    :2023/2/16 10:33 
"""
r = float(input())
pi = 3.14159
circle = 2*r*pi
area = r**2*pi
print("%.4lf"%(2*r),"%.4lf"%circle,"%.4lf"%area)

 10.计算并联电阻的阻值

题目描述

对于阻值为r1和r2的电阻,其并联电阻阻值公式计算如下:

R = 1/(1/r1 + 1/r2)

输入格式

两个电阻阻抗大小,浮点型,以一个空格分开。

输出格式

并联之后的阻抗大小,结果保留小数点后2位。

样例输入

复制

1 2

样例输出

复制

0.67
#!/usr/bin/env python
# -*- coding: UTF-8 -*-
"""
@Project :蓝桥杯刷题 
@File    :24.计算并联电阻的阻值.py
@IDE     :PyCharm 
@Author  :咋
@Date    :2023/2/16 12:59 
"""
# R = 1/(1/r1 + 1/r2)
r1,r2 = map(float,input().split())
R = 1/(1/r1 + 1/r2)
print("%.2f"%R)

 11.成绩

题目描述

牛牛最近学习了 C++入门课程,这门课程的总成绩计算方法是:
总成绩 = 作业成绩 × 20% + 小测成绩 × 30% + 期末考试成绩 × 50%
牛牛想知道,这门课程自己最终能得到多少分。

输入格式

只有 1 行,包含三个非负整数A、B、C,分别表示牛牛的作业成绩、小测 成绩和期末考试成绩。相邻两个数之间用一个空格隔开,三项成绩满分都是 100 分。

输出格式

只有 1 行,包含一个整数,即牛牛这门课程的总成绩,满分也是 100 分。

样例输入

复制

100 100 80

样例输出

复制

90
#!/usr/bin/env python
# -*- coding: UTF-8 -*-
"""
@Project :蓝桥杯刷题 
@File    :25. 成绩.py
@IDE     :PyCharm 
@Author  :咋
@Date    :2023/2/16 13:01 
"""
# 总成绩 = 作业成绩 × 20% + 小测成绩 × 30% + 期末考试成绩 × 50%
a,b,c = map(int,input().split())
result = a*0.2+b*0.3+c*0.5
print(int(result))

 12.整型数据类型存储空间大小

题目描述

分别定义int,short类型的变量各一个,并依次输出它们的存储空间大小(单位:字节)。

输入格式

输出格式

一行,两个整数,分别是两个变量的存储空间大小,用一个空格隔开。

样例输入

复制

样例输出

复制

print(4,2)

 13.浮点型数据类型存储空间大小

题目描述

分别定义float,double类型的变量各一个,并依次输出它们的存储空间大小(单位:字节)。

输入格式

输出格式

一行,两个整数,分别是两个变量的存储空间大小,用一个空格隔开。

样例输入

复制

样例输出

复制

#!/usr/bin/env python
# -*- coding: UTF-8 -*-
"""
@Project :蓝桥杯刷题 
@File    :27.浮点型数据类型存储空间大小.py
@IDE     :PyCharm 
@Author  :咋
@Date    :2023/2/16 13:11 
"""
print(4,8)

 14.其他基本数据类型存储空间大小

题目描述

分别定义bool,char类型的变量各一个,并依次输出它们的存储空间大小(单位:字节)。

输入格式

输出格式

一行,两个整数,分别是两个变量的存储空间大小,用一个空格隔开。

样例输入

复制

样例输出

复制

#!/usr/bin/env python
# -*- coding: UTF-8 -*-
"""
@Project :蓝桥杯刷题 
@File    :28.其他基本数据类型存储空间大小.py
@IDE     :PyCharm 
@Author  :咋
@Date    :2023/2/16 13:14 
"""
print(1,1)

15.浮点数向零舍入

题目描述

输入一个单精度浮点数,将其向零舍入到整数。

说明:向零舍入的含义是,正数向下舍入,负数向上舍入。

提示:可以使用强制类型转换来实现。

输入格式

一个单精度浮点数。

输出格式

一个整数,即向零舍入到整数的结果。

样例输入

复制

2.3

样例输出

复制

2
#!/usr/bin/env python
# -*- coding: UTF-8 -*-
"""
@Project :蓝桥杯刷题 
@File    :29.浮点数向零舍入.py
@IDE     :PyCharm 
@Author  :咋
@Date    :2023/2/16 13:15 
"""
a = int(float(input()))
print(a)