【阅读笔记】低照度图像增强-《An Integrated Neighborhood Dependent Approach for Nonlinear Enhan

643 阅读3分钟

本文介绍的是一种比较实用的低照度图像增强算法,选自2004年Tao的一篇论文,名称是《An Integrated Neighborhood Dependent Approach for Nonlinear Enhancement of Color Images 》

概述

    图像中暗区图像增强的基本机制是对图像的亮度进行动态范围压缩,但是图像的对比度会下降,输出图像看起来会变灰。为了提高图像的整体质量,必须应用对比度增强过程来恢复甚至增强原始图像的对比度信息。本文采用亮度提升和对比度增强两个独立模块分别处理。

1、通过使用非线性传递函数实现的亮度提升。可以手动或自动调整该传递函数以实现适当的亮度增强。

2、图像通过对比度增强进行处理,与传统技术不同,对比度增强是基于处理后(中心)像素及其周围相邻像素的强度信息的自适应过程。通过使用具有高斯核卷积来获得周围像素的亮度信息。具有相同亮度的像素可能根据其邻近像素具有不同的输出。可以最佳地增强图像对比度和细节,同时可以在不降低图像质量的情况下控制动态范围扩展。

算法过程

1、RGB图像IrgbI^{rgb}转为灰度图像YY,并归一化为YnY_{n}

2、根据下式进行非线性转换

Yn=(Yn0.24+(1Yn)0.5+Yn2)2Y_{n}^{'}=\frac{(Y_{n}^{0.24}+(1-Y_{n})*0.5+Y_{n}^{2})}{2}

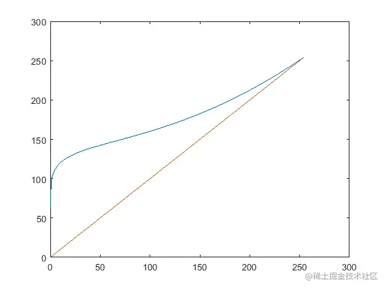
这种变换可以很大程度上提高暗像素(区域)的亮度,而亮像素(区域)的亮度增强较低,甚至是负增强。从而达到较好的效果

一个非线性gamma映射曲线

3、对灰度图像YY进行不同尺度的高斯核函数卷积运算,得到模糊图像YY',卷积公式如下:

Y(x,y)=Y(x,y)G(x,y)Y'(x, y) = Y(x, y) * G(x, y)

高斯卷积核G(x,y)G(x,y)如下:

G(x,y)=Ke((x2+y2)c2)G(x,y)=K*e^{(\frac{-(x^2+y^2)}{c^2})}

其中,KK函数

Ke((x2+y2)c2)dxdy=1\iint K*e^{(\frac{-(x^2+y^2)}{c^2})}dxdy=1

其中,cc是高斯函数尺度;

4、通过下式得到增强系数RR

R(x,y)=255Yn(x,y)r(x,y)R(x,y) =255* Y_{n}^{'}(x,y)^{r(x,y)}

其中,r(x,y)r(x,y)如下

r(x,y)=Y(x,y)Y(x,y)r(x,y)=\frac{Y'(x, y)}{Y(x, y)}

中心像素的亮度可以根据R(xy)R(x,y)是否大于或小于1(由较亮像素或较暗像素包围)而增加或减少。

5、为了获得最佳的图像增强效果,使用不同尺度的多个卷积结果进行对比度增强。最终的输出是基于多个尺度的对比度增强结果的线性组合

R(x,y)=iwiRi(x,y)R(x,y)=\sum_{i}w_{i}R_{i}(x,y)

尺度选择5, 20 and 240,权重为取均值

6、RGB三通道等比例恢复

Rj(x,y)=R(x,y)Ij((x,y)I((x,y)λR_{j}(x,y)=R(x,y)*\frac{I_{j}((x,y)}{I((x,y)}*\lambda

其中,jj表示rgb三通道分量,RjR_j是增强图像。λ\lambda表示色调调节因子,通常取1也可,输出的彩色图像可以通过色彩饱和度和白平衡调整进一步细化。

效果对比

图、测试图像1、INDANE处理效果

图、测试图像2、INDANE处理效果

算法总结

算法本质是暗区提亮gamma曲线映射实现,亮区不处理或者轻微处理。后续对比度处理精细化增强系数,需要多尺度高斯核函数卷积。 非线性gamma曲线如图下蓝线,线性映射如黄色线:


觉得本文对您有一点帮助,欢迎讨论、点赞、收藏,您的支持激励我多多创作。

我的个人博客主页,欢迎访问

我的CSDN主页,欢迎访问

我的GitHub主页,欢迎访问

我的知乎主页,欢迎访问