基于Multi-Verse Optimizer(MVO)多元宇宙优化的DBSCAN数据聚类算法matlab仿真

118 阅读4分钟

1.算法仿真效果

matlab2022a仿真结果如下:

 

8b08b40ecc875196d0487b83f0b7690b_watermark,size_14,text_QDUxQ1RP5Y2a5a6i,color_FFFFFF,t_100,g_se,x_10,y_10,shadow_20,type_ZmFuZ3poZW5naGVpdGk=.png

 

2.算法涉及理论知识概要

       2015年,S Mirjalili,SM Mirjalili和AHatamlou共同提出了一种基于物理学中多元宇宙理论的群智能优化算法——多元宇宙优化算法(Multi-Verse Optimizer,MVO),并成功将其应用于函数优化和工程设计。物理学中的多元宇宙理论是MVO算法的灵感来源,它解释到除了我们生活的宇宙之外还有其他的宇宙存在。宇宙个体的出现是单个巨大爆炸产生的结果,多个巨大爆炸便促成了整个多元宇宙种群的诞生。白洞、黑洞和虫洞是多元宇宙理论中的三个核心概念。在整个多元宇宙空间中,白洞拥有很强的斥力,能够释放所有物体;黑洞拥有极高的引力,能够吸收所有物体;虫洞是连接不同宇宙和传输物体的轨道。图1展示了它们三者的示意图。在这三个概念的共同作用下,整个多元宇宙种群最终将达到一个稳定的状态。另外,每个宇宙都有自己的膨胀率,膨胀率的变化影响着白洞、黑洞、虫洞的产生,对宇宙个体位置的更新和整个多元宇宙空间的平衡与稳定都具有重要的意义。

 

        MVO算法模拟的是多元宇宙种群在白洞、黑洞和虫洞共同作用下的运动行为。与其他群智能优化算法相同,MVO算法的优化执行过程也分为两个阶段,即探测和开采。白洞和黑洞作用于探测阶段,而虫洞则作用于开采阶段。值得注意的是,宇宙个体的位置是一个假想的概念。事实上,宇宙个体的位置是由其内部物体的运动所改变的。

 

       MVO算法依据多元宇宙理论的3个主要概念:白洞、黑洞和虫洞来建立数学模型,定义候选解为宇宙,候选解的适应度为宇宙的膨胀率。迭代过程中,每一个候选解为黑洞,适应度好的宇宙依轮盘赌原理成为白洞,黑洞和白洞交换物质(维度更换),部分黑洞可以通过虫洞链接穿越到最优宇宙附近(群体最优附近搜索)。

 

MVO算法在执行优化的过程中遵循以下规则:

 

1.如果一个宇宙的膨胀率越高,则生成白洞的几率就越高;

 

2.相反,如果一个宇宙的膨胀率相对较低,则它更有可能生成黑洞;

 

3.生成白洞的宇宙会排斥物体;

 

4.相反,生成黑洞的宇宙会吸收物体;

 

5.不考虑膨胀率的高低,其他宇宙都有可能通过虫洞将物体传送至当前最优宇宙。

 

       为了合理化这个过程,引入了一个叫做“白洞/黑洞轨道”的概念。虫洞总是建立在某个宇宙和当前最优宇宙之间,而白洞/黑洞轨道可以建立在任何两个宇宙之间。图2展示了MVO算法的概念模型图,图中宇宙的膨胀率NI (U1)>NI (U2)>…>NI (Un )。

 

       MVO 算法通过白洞/黑洞隧道和虫洞对初始宇宙进行循环迭代,其中宇宙代表着问题的可行解,宇宙中的物体代表解的分量,宇宙的膨胀率代表解的适应度值。以下为算法的数学模型:

 

1 优点

 

主要的性能参数是虫洞存在概率和虫洞旅行距离率,参数相对较少,低维度数值实验表现出了相对较优异的性能。

 

2 缺点

 

求解大规模优化问题的性能较差,算法缺乏跳出局部极值的能力,导致无法寻取全局最优解。

 

假设搜索空间存在宇宙矩阵为:

 

14870f1ae79e5219fe2162c3aebde451_watermark,size_14,text_QDUxQ1RP5Y2a5a6i,color_FFFFFF,t_100,g_se,x_10,y_10,shadow_20,type_ZmFuZ3poZW5naGVpdGk=.png

 

式中:d为变量个数; n为宇宙数量(候选解);

 

74adaeb1ec685c80af354d821e1c4d2d_watermark,size_14,text_QDUxQ1RP5Y2a5a6i,color_FFFFFF,t_100,g_se,x_10,y_10,shadow_20,type_ZmFuZ3poZW5naGVpdGk=.png

e856db9c7bc6771e5fa1202bdd80d40d_watermark,size_14,text_QDUxQ1RP5Y2a5a6i,color_FFFFFF,t_100,g_se,x_10,y_10,shadow_20,type_ZmFuZ3poZW5naGVpdGk=.png  

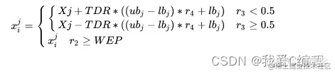
       为了提高宇宙利用虫洞提高物体膨胀率的可能性,假设虫洞隧道总是建立在宇宙和最优宇宙之间.这种机制可以公式为:

 

9270cec995822f699f86861f612b989e_watermark,size_14,text_QDUxQ1RP5Y2a5a6i,color_FFFFFF,t_100,g_se,x_10,y_10,shadow_20,type_ZmFuZ3poZW5naGVpdGk=.png

 

        这种机制主要存在两个系数:虫洞存在可能性(Wormhole Existence Probability,WEP) 和旅程距离速率(Travelling DistanceRate,TDR),TDR 系数用于定义宇宙空间虫洞存在可能性,同时表示物体在最优宇宙附近通过虫洞进行转换的距离。

 

6.png

7.png

8.png

 

3.MATLAB核心程序 `load X.mat;

% 数据标签

train_labels=[];

for i=1:3

    train_labels=[train_labels;i*ones(100,1)];

end

%% run MVO Algorithm

 

Universes_no=60; %Number of search agents (universes)

Max_iteration=500; %Maximum numbef of iterations

 

% 待优化参数(宇宙)的上、下界和维度

lb=0.01;

ub=0.5;

dim=1;

 

% 定义参数MinPts

MinPts =4;

[Best_score,Best_pos,cg_curve]=MVO(Universes_no,Max_iteration,lb,ub,dim,MinPts,X,train_labels);

 

 

 

%% Run DBSCAN

Eps=Best_pos;

labels=DBSCAN(X,Eps,MinPts);

figure;

idx1 = find(labels==1);

idx2 = find(labels==2);

idx3 = find(labels==3);

 

plot(X(idx1,1),X(idx1,2),'b*')

hold on

plot(X(idx2,1),X(idx2,2),'gx')

hold on

plot(X(idx3,1),X(idx3,2),'r+')

hold on

legend('类型1','类型2','类型3');

 

 

title(['DBSCAN 聚类 (\epsilon = ' num2str(Eps) ', MinPts = ' num2str(MinPts) ')']);

toc;`