1954. 收集足够苹果的最小花园周长

100 阅读1分钟

题目:
给你一个用无限二维网格表示的花园,每一个 整数坐标处都有一棵苹果树。整数坐标 (i, j) 处的苹果树有 |i| + |j| 个苹果。

你将会买下正中心坐标是 (0, 0) 的一块 正方形土地 ,且每条边都与两条坐标轴之一平行。

给你一个整数 neededApples ,请你返回土地的 最小周长 ,使得 至少 有 ****neededApples 个苹果在土地 里面或者边缘上

|x| 的值定义为:

  • 如果 x >= 0 ,那么值为 x
  • 如果 x < 0 ,那么值为 -x
    算法:
    方法一:模拟
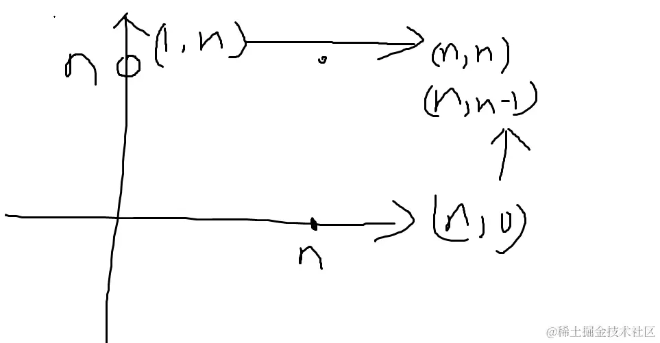
    思路:level代表正方形土地的半径,随着level增加,计算并累计每层level上的苹果数量,直到苹果数量达到needesapples为止。 image.png 我们计算正方形格子右上方的苹果数量(为方便计算,上图中(0,n)这个点的苹果不计算做正方形格子右上方的苹果)) :
    apples/4 =
    i=1n(i+n)\sum_{i=1}^{n}(|i| + |n|) + j=0n1(n+j)\sum_{j=0}^{n-1}(|n|+|j|)
    =(1 + n) n / 2 + n ^ 2 + n ^ 2 + (1 + n - 1) n / 2 计算得到apples = 12 * n ^ 2 即每层level上的苹果数量为 12 * level ^ 2
func minimumPerimeter(neededApples int64) int64 {
    apples := int64(0)
    level := 0
    c := int64(0)
    for neededApples > apples {
        level ++
        c =  int64(12 * level * level)
        apples = apples + c
    }

    return int64(level) * int64(8)
}