【蓝桥杯集训·周赛】AcWing 第96场周赛

124 阅读6分钟

写在前面

本人CSDN博客主页:这里

第一题 AcWing 4876. 完美数

一、题目

1、原题链接

4876. 完美数

2、题目描述

如果一个正整数能够被 2520 整除,则称该数为完美数。

==给定一个正整数 n,请你计算 [1,n] 范围内有多少个完美数==

输入格式

一个整数 n。

输出格式

一个整数,表示 [1,n] 范围内完美数的个数。

数据范围

前 3 个测试点满足 1≤n≤3000所有测试点满足 1≤n≤10^18^

输入样例

3000

输出样例

1

二、解题报告

1、思路分析

(1)注意数据范围要开long long。 (2)因为能够被2520整除的是2520的倍数,所以当前n是2520的多少倍(下取整),即存在多少个能够被2520整除的数。

2、时间复杂度

时间复杂度为O(1)

3、代码详解

#include <iostream>
using namespace std;
typedef long long LL;
LL n;
int main()
{ cin>>n;  
  cout<<n/2520;
  return 0;
}

第二题 AcWing 4877. 最大价值

一、题目

1、原题链接

4877. 最大价值

2、题目描述

有一个容量为 n 的背包和 m+1 种物品,每种物品都有无限多个。

物品种类编号为 0∼m。

第 i 种物品的体积为 vi,价值为 wi。

在使用背包装入物品时,每种物品的限重如下:

  • 第 0 种物品:重量忽略不计,在装入时没有重量限制。
  • 第 1∼m 种物品:第 i 种物品的单个重量为 hi,如果该种物品的装入总重量超过 li,则视为超重。

现在,请你挑选物品装入背包,要求

  • 所有装入物品的总体积不得超过背包容量。
  • 所有存在重量限制的物品均不得超重。
  • 满足以上所有条件的前提下,所有装入物品的总价值尽可能大。

==输出总价值的最大可能值==

注意审题,不要将 n,m 的含义弄混。

输入格式

第一行包含四个整数 n,m,v0,w0。

接下来 m 行,每行包含四个整数 li,hi,vi,wi。

输出格式

一个整数,表示总价值的最大可能值。

数据范围

前 4 个测试点满足 1≤n≤100,1≤m≤2所有测试点满足 1≤n≤1000,1≤m≤10,1≤li,hi,vi,wi≤100

输入样例1

10 2 2 1
7 3 2 100
12 3 1 10

输出样例1

241

输入样例2

100 1 25 50
15 5 20 10

输出样例2

200

二、解题报告

1、思路分析

思路来源:y总讲解视频 y总yyds

(1)装入第0个物品相当于是0-1背包问题,而装入后面物品相当于是多重背包问题(也可以直接看成多重背包问题,将第一个物品的数量设置为正无穷)。 (2)按照上述思路进行求解即可。

2、时间复杂度

时间复杂度为O(n^2^)

3、代码详解

法1

#include <iostream>
#include <algorithm>
using namespace std;
const int N=1010;
int dp[N],w[N],v[N],l[N],h[N];
int n,m;
int main(){
    cin>>n>>m>>v[0]>>w[0];
    for(int i=1;i<=m;i++) cin>>l[i]>>h[i]>>v[i]>>w[i];
    //完全背包,处理第0件物品
    for(int j=v[0];j<=n;j++) dp[j]=max(dp[j],dp[j-v[0]]+w[0]);
    //多重背包,处理后面物品
    for(int i=1;i<=m;i++){
        for(int j=n;j>=v[i];j--){
            for(int k=0;k*v[i]<=j&&k<=l[i]/h[i];k++){
                dp[j]=max(dp[j],dp[j-k*v[i]]+k*w[i]);
            }
        }
    }
    cout<<dp[n];
    return 0;
}

法2

#include <iostream>
#include <algorithm>
using namespace std;
const int N=1010;
int v[N],w[N],l[N],h[N];
int dp[N];
int n,m;
int main()
{ cin>>n>>m>>v[0]>>w[0];
  l[0]=0x3f3f3f3f,h[0]=1;    //初始化第0件物品可以装无限个,即l[0]/h[0]=正无穷
  for(int i=1;i<=m;i++){
  	cin>>l[i]>>h[i]>>v[i]>>w[i];
  }
  //转化成多重背包问题求解
  for(int i=0;i<=m;i++){
  	for(int j=n;j>=0;j--){
  	    for(int k=0;k<=l[i]/h[i]&&k*v[i]<=j;k++)
  		dp[j]=max(dp[j],dp[j-k*v[i]]+k*w[i]);	
	  }
  }
  cout<<dp[n];
  return 0;
}

第三题 AcWing 4878. 维护数组

一、题目

1、原题链接

4878. 维护数组

2、题目描述

给定一个长度为 n 的整数序列 d1,d2,…,dn 以及三个整数 k,a,b。

初始时,所有 di 均为 0。

你需要对序列依次进行 q 次操作,操作分为以下两种:

  • 1 x y,将 dx 增加 y。

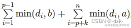
  • 2 p==计算并输出==在这里插入图片描述

输入格式

第一行包含 5 个整数 n,k,a,b,q。

接下来 q 行,每行描述一个操作,格式如题面所述。

输出格式

每个 2 p 操作,输出一行一个整数表示结果。

数据范围

前 3 个测试点满足 1≤k≤n≤10,1≤q≤10所有测试点满足 1≤k≤n≤2×10^5^,1≤b<a≤10000 ,1≤q≤2×105,1≤x≤n,1≤y≤10000,1≤p≤n−k+1

输入样例1

5 2 2 1 8
1 1 2
1 5 3
1 2 1
2 2
1 4 2
1 3 2
2 1
2 3

输出样例1

3
6
4

输入样例2

5 4 10 1 6
1 1 5
1 5 5
1 3 2
1 5 2
2 1
2 2

输出样例2

7
1

二、解题报告

1、思路分析

思路来源:y总讲解视频 y总yyds

(1)利用两个树状数组分别维护min(d[i],b)min(d[i],a)。 (2)

  • tr1[]维护min(d[i],b):即针对每次add()操作,始终保持tr1[]维护的数组(设为B[],每个d[i]对应B[i],即B[]对应的树状数组为tr1[],而且B[]中的数均小于等于b),即如果当d[x]小于b的时候需要判断d[x]+y以之后的值与b的大小关系:如果d[x]+y<=b,则保留该增值(即让对应d[x]B[x]中的数的值B[x]+y);如果d[x]+y>b,由于我们不能使维护的数组B[]中的数大于b,所以我们最多只能让其增加到b(即让B[x]增加它距离b的差值b-d[x],也就是让他对应的维护的数组的值B[x]只增加到b)。如果此时d[x]>=b,我们不再需要对维护的数组B[X]进行增值操作,因为其对应的B[x]中的值已经达到b,无论对d[x]增加多少都不会影响B[x]
  • tr2[]维护min(d[i],a),同理。

(3)问题所求即为:tr1[][1,p-1]的区间和+tr2[][p+k,n]的区间和。

2、时间复杂度

时间复杂度为O(nlogn)

3、代码详解

#include <iostream>
#include <algorithm>
using namespace std;
const int N=200010;
typedef long long LL;
int d[N],tr1[N],tr2[N];
int n,k,a,b,q;
//lowbit运算
int lowbit(int x){
	return x&-x;
}
//点更新,在tr[x]位置加c
void add(int tr[],int x,int c){
	for(int i=x;i<=n;i+=lowbit(i)){
		tr[i]+=c;
	}
}
//求[1,x]前缀和
int query(int tr[],int x){
	LL ans=0;
	for(int i=x;i;i-=lowbit(i)){
		ans+=tr[i];
	}
	return ans;
}
//求[i,j]区间和
int sum(int tr[],int i,int j){
	return query(tr,j)-query(tr,i-1);
}
int main()
{ cin>>n>>k>>a>>b>>q;
  while(q--){
  	int op;
  	cin>>op;
  	if(op==1){
  	   int x,y;
	   cin>>x>>y;
	   if(d[x]<=b) add(tr1,x,d[x]+y>=b?b-d[x]:y);    //维护min(d[i],b)
	   if(d[x]<=a) add(tr2,x,d[x]+y>=a?a-d[x]:y);    //维护min(d[i],a)
	   d[x]+=y;
	}
	else{
		int p;
		cin>>p;
		LL ans=sum(tr1,1,p-1)+sum(tr2,p+k,n);    //求题目两个区间和
		cout<<ans<<endl;
	} 
  }
  return 0;
}