Turbospeedz: 使用函数相关预处理技术提高SPDZ协议在线效率

95 阅读6分钟

 [隐私计算研习社]

01.jpg

0

****前言预处理模型在安全多方计算中是一种常用的提升协议在线计算阶段效率的设计方法:预处理阶段,参与方之间生成与输入数据无关的关联随机数,该过程可能需要调用同态加密、茫然传输等开销较大的基础协议;在线计算阶段,参与方利用关联随机数保护实际输入的隐私安全,该过程只需要简单的算术操作。进一步,预处理模型也分为函数无关和函数相关两种,在函数相关预处理中,安全多方计算协议要计算的函数电路是已知的,更有利于提升协议的在线效率。在Turbospeedz中,Ben-Efraim等人利用该技术将SPDZ协议的在线效率提升了倍。论文链接如下:eprint.iacr.org/2019/080
1

****设计概览在安全多方计算协议中,任意函数 都可以表示成由加法门和乘法门组成的电路 。加法可以本地计算,乘法则需要调用Beaver三元组。利用Beaver三元组实现乘法时,在线计算阶段需要通信公开两个输入的掩码后值,这会造成通信量。本文在函数相关预处理模型下,利用随机掩码技术将公开操作从乘法门的输入线路转移到输出线路,从而减少了倍的通信。当然,上述技术会增加预计算的开销,进而增加总的开销。进一步,本文针对SPDZ系列方案中的Overdrive进行了修改,也对预计算进行了优化,使得Turbospeedz的整体通信优于Overdrive。2

****SPDZ回顾2.1 SPDZ分享语义 -分享在SPDZ系列协议中有个参与方,其中最多个可以被恶意敌手控制。秘密值被分享给满足;同时秘密全局MAC密钥也分享为,且。

图片

其中拥有。**
**2.2 基本运算
给定,其中是处于秘密分享,是公开值:

  • ,,是线性运算,即各方可以在本地计算、不需要交互;
  • 需要利用Beaver三元组交互计算乘法,在该计算过程中需要公开两个掩码值。

**
2.3 MACCheck协议
本文黑盒调用SPDZ的验证协议来保证计算的正确性。该验证失败的概率是。当足够大的时候,失败的概率是可忽略的。

**2.4 SPDZ预处理和在线计算
预处理阶段,各方交互生成Beaver乘法三元组,平方数对,随机秘密值,和输入掩码。其中公开给。生成上述关联随机数的理想功能简记为。在线计算阶段,输入方首先计算并公开,然后所有参与方本地计算。加法门可以本地计算得到。对于乘法门,多方则需要交互公开和。进而,每一方在本地计算

图片

上述Beaver三元组可以利用Overdrive中基于同态的方案生成。验证Beaver常用的方案是牺牲另外一个三元组进行验证。MASCOT对该验证方案进行了优化,使得用关联随机三元组和即可。3


在线计算改进

基于黑盒调用SPDZ预处理的在线计算改进

Turbospeedz首先黑盒调用SPDZ的预处理过程,生成需要的关联随机数来加速在线计算。本文需要的关联随机数如下:

  • 置换值(permutation element):对于电路中的线,生成随机元素(其秘密分享记作)。置换值在预计算阶段生成,独立于实际输入,且置换值也独立于Beaver乘法三元组。 
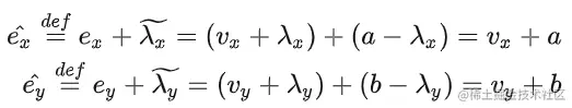
  • 外部值(external value):在线计算阶段,秘密拥有者计算,并公开。

加法门可以很直观的验证其可以本地计算:

图片

对于乘法门,假设已有Beaver乘法三元组,本文首先定义了输入偏移(input offsets):

图片

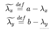
进一步定义调节外部值如下: 

图片

从上式本文有:

图片

上式可以用在在线计算阶段计算乘法输出,进一步设置输出线的置换值为(加入是为了让满足独立随机)。

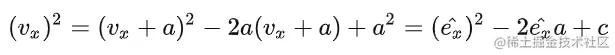
类似的,平方函数可以计算如下: 

08.png

上述该计算可以利用预计算关联随机数其中来实现。

鉴于以上推导,黑盒调用SPDZ预计算实现关联随机数生成的协议如下:

09.jpg

而本文提出在线优化协议如下:

10.jpg

可以看到,本文在线计算协议只需要公开一个元素。

4


针对Overdrive的预处理改进

为了提升预计算的效率,本文在Overdrive的基础上提出了如下优化:

  • 令输出线的置换元素等于乘法三元组中的可以节省开销,但是这不安全,因为置换元素必须是独立随机的。从另一个角度,本文做如下优化:如果一条输出线是下一层乘法的输入,那么令输出的随机置换为下一层乘法对应的乘法三元组。因为三元组中的是随机独立的,所以这样是安全的。 
  • 本文令同一条线的三元组中的相同,即便该线可能输入不同的乘法门。很显然,该优化不可以再黑盒调用SPDZ,因为SPDZ对于每一个乘法门独立随机生成三元组。
  • 鉴于上述优化,第三节中定义的和将为,这会进一步简化协议设计和实现。

基于上述优化的预计算协议如下:

11.jpg

5


总结

本文利用电路已知条件,基于掩码秘密分享技术进一步提升了在线计算的性能。一般的,该掩码秘密分享可以进一步迁移到任意秘密分享提升在线计算性能。相关协议设计和应用的论文有ABY2.0,Meteor,和ScoinFL等。

参考文献

[1] eprint.iacr.org/2020/1225

[2] eprint.iacr.org/2023/100

[3] arxiv.org/abs/2210.07…

作者简介: 董业,本科毕业于山东大学计算机科学与技术专业,目前在中国科学院信息工程研究所攻读博士学位。主要研究兴趣包括隐私保护、安全多方计算、同态加密和机器学习。知乎:酸菜鱼。 END

往期推荐

1.FedPAC | 概率近似正确联邦学习
2.利用不经意传输完成隐私集合求交3.中国密码学会及各分支机构2023年主要学术活动计划4.笔记分享 | 冯登国院士MPC讲座(2)——基于秘密分享方法的安全多方计算协议