m基于LOC-PCA算法的人脸重建算法matlab仿真,给定人物侧脸实现正脸重建

130 阅读4分钟

1.算法仿真效果

matlab2022a仿真结果如下:

1.png

2.png

3.png

4.png

5.png

2.算法涉及理论知识概要

      提出了一种有效的图像姿态合成方法。姿势合成用于预测在给定姿势的期望姿势处具有最小误差的面部图像。在许多情况下,这是经常需要的例如动画电影的制作、法医学和3D人脸几何的生成等应用,它使用主成分分析(PCA)和线性对象类(LOC)方法。姿势的面部图像被建模为形状和纹理向量LOC方法分别应用于训练集的这两个向量。形状的主要组成部分向量给出了一个较小数量的有效维度,沿着该维度最佳线性近似使用计算形状向量的LOC。即使给定的矢量仅使用这些与使用形状向量的所有维度。

 

      主成分分析(Principal Component Analysis,PCA), 是一种统计方法。通过正交变换将一组可能存在相关性的变量转换为一组线性不相关的变量,转换后的这组变量叫主成分。在实际课题中,为了全面分析问题,往往提出很多与此有关的变量(或因素),因为每个变量都在不同程度上反映这个课题的某些信息。主成分分析首先是由K.皮尔森(Karl Pearson)对非随机变量引入的,尔后H.霍特林将此方法推广到随机向量的情形。信息的大小通常用离差平方和或方差来衡量。一般选择最大的k个特征值,保留对应的特征向量。对每个训练图像的向量,投影到特征空间后得到一组坐标。对测试图像,也作同样的投影运算,得到坐标,与训练图像的坐标进行二范数最小匹配。

 

       假设有两个姿势A和B。假设有训练图像两个姿势的n个受试者。让IA是姿势A。LOC方法可用于预测姿势中的图像IB该方法基于以下假设:i将一个姿势的特征向量转换为另一个姿势是线性的ii姿势的特征向量可以被视为线性组合其训练图像的特征向量姿势。但是对于少量的训练向量,很难表达将特征向量精确地作为特征的线性组合训练集的向量。所以可以用与给定距离最小欧氏距离的线性组合特征向量。发现该最佳线性组合是输入向量在线性子空间上的正交投影由训练向量跨越。给定姿势A的特征矩阵UA可以定义为姿势A的所有图像的图像的特征向量的组合在训练集中。我们可以写:

12b67eee701f0acafd225283244cb929_watermark,size_14,text_QDUxQ1RP5Y2a5a6i,color_FFFFFF,t_100,g_se,x_10,y_10,shadow_20,type_ZmFuZ3poZW5naGVpdGk=.png

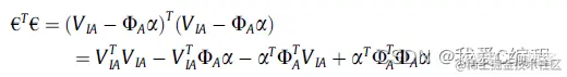
       其中VA1,VA2,VAn是给定图像中n个图像的特征向量姿势A。让VIA表示图像IA的特征向量。我们可以定义VIA线性近似的误差向量€为:

    a72700a3eebab16605d5da5c14347f59_watermark,size_14,text_QDUxQ1RP5Y2a5a6i,color_FFFFFF,t_100,g_se,x_10,y_10,shadow_20,type_ZmFuZ3poZW5naGVpdGk=.png

 

其中VA1,VA2,VAn是给定图像中n个图像的特征向量姿势A。让VIA表示图像IA的特征向量。我们可以定义VIA线性近似的误差向量€为:

 

3050f8307ef1b0e5b88cf4664254672a_watermark,size_14,text_QDUxQ1RP5Y2a5a6i,color_FFFFFF,t_100,g_se,x_10,y_10,shadow_20,type_ZmFuZ3poZW5naGVpdGk=.png  

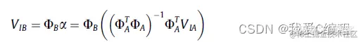
00a6c9c04fcd9d4d3bc69eff10609080_watermark,size_14,text_QDUxQ1RP5Y2a5a6i,color_FFFFFF,t_100,g_se,x_10,y_10,shadow_20,type_ZmFuZ3poZW5naGVpdGk=.png        由于两个姿势的特征向量之间的转换姿态B的期望特征向量可以通过以下方式合成:在期望姿势的训练集中组合特征向量让UB作为姿势B的特征矩阵。

 

       其是姿态B的所有图像的特征向量的组成训练集。设VIB表示期望图像的特征向量姿势B中的IB。通过使用等式(5),我们可以评估

 

c6349fc7819c35e1c41f256fafddbded_watermark,size_14,text_QDUxQ1RP5Y2a5a6i,color_FFFFFF,t_100,g_se,x_10,y_10,shadow_20,type_ZmFuZ3poZW5naGVpdGk=.png

 

该VIB可用于合成给定姿势B的面部线性对象法的问题是近似误差由于增加了维度数量。

 

参考文献:

 

a3c3cf50b5996d2e9f0131f2184e680c_watermark,size_14,text_QDUxQ1RP5Y2a5a6i,color_FFFFFF,t_100,g_se,x_10,y_10,shadow_20,type_ZmFuZ3poZW5naGVpdGk=.png

 

3.MATLAB核心程序 `People = 5;

%%

%读取图片

Filea        =     ['Images\people',num2str(People),'\c'];

Filea_list   = dir(['Images\people',num2str(People),'\c*.jpg']);

Fileb        =     ['Images\people',num2str(People),'\b'];

Fileb_list   = dir(['Images\people',num2str(People),'\b*.jpg']);

Bgimga       = ['Images\people',num2str(People),'\c.jpg'];

Bgimgb       = ['Images\people',num2str(People),'\b.jpg'];

[Ia,I0a,Bga] = func_face_read(Filea,Filea_list,Bgimga);

[Ib,I0b,Bgb] = func_face_read(Fileb,Fileb_list,Bgimgb);

%检测人脸

[facea_gray,facea_rgb,facea_rgbbk] = func_detect_face2(Ia,I0a,Bga,People,1);

[faceb_gray,faceb_rgb,faceb_rgbbk] = func_detect_face2(Ib,I0b,Bgb,People,2);

 

%%

[Text_vector0,Shape_vector0,samplemean0] = func_LOC_PCA_feature(facea_rgbbk,facea_rgb,People,1);

[Text_vector1,Shape_vector1,samplemean1] = func_LOC_PCA_feature(faceb_rgbbk,faceb_rgb,People,2);

 

%使用训练后的模型进行其余侧脸的正脸合成

%读取一个侧面脸

K = 1;

Image_FF2  = facea_rgb{K};

Image_PF21 = faceb_rgbbk{K};

Image_PF22 = faceb_rgb{K};

 

%合成正脸

Image_PF2 = imresize(Image_PF21,[100,100]);

b         = reshape(Image_PF2,1,100*100);

VIA       = double(b);

alpha     = VIA*Text_vector0;

for i = 1:min(length(alpha),54)

    d(:,i) = Text_vector1(:,i)*alpha(i);

end

ds = d(:,K) + samplemean0';

ds = mat2gray(reshape(ds,[100,100]));

figure

subplot(131);

imshow(Image_FF2);

title('原始正脸');

subplot(132);

imshow(Image_PF22);

title('原始侧脸');

subplot(133);

imshow(ds);

title('重建的正脸');

10_020_m`