LeetCode热题(JS版) - 82. 删除排序链表中的重复元素 II

82 阅读1分钟

题目

给定一个已排序的链表的头 head , 删除原始链表中所有重复数字的节点,只留下不同的数字 。返回 已排序的链表 。

示例 1:

image.png

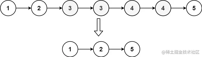
输入:head = [1,2,3,3,4,4,5]
输出:[1,2,5]

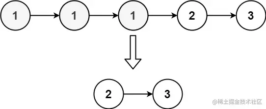
示例 2: image.png

输入:head = [1,1,1,2,3]
输出:[2,3]

提示:

链表中节点数目在范围 [0, 300] 内
-100 <= Node.val <= 100
题目数据保证链表已经按升序 排列

思路

题目要求我们删除链表中重复的元素,但是重复的元素不保留,因此可以用一个指针 prev 来指向当前非重复的节点,然后再用一个指针 curr 来遍历整个链表,如果 curr 指向的节点重复了,那么 prev 则跳过这些重复的节点,直到遇到下一个非重复的节点。最后返回链表的头节点即可。

代码实现:

const deleteDuplicates = function(head: ListNode) {
    if (!head || !head.next) return head; //如果链表为空或只有一个节点,则直接返回
    let dummy = new ListNode(0); //哑节点
    dummy.next = head;
    let prev = dummy;
    let curr = head;

    while (curr) {
        while (curr.next && curr.val === curr.next.val) {
            curr = curr.next;
        }
        if (prev.next === curr) { //如果 curr 指向的节点不重复,则 prev 指向 curr
            prev = curr;
        } else { //如果 curr 指向的节点重复,则 prev 跳过这些重复的节点
            prev.next = curr.next;
        }
        curr = curr.next; //指针后移
    }
    return dummy.next;
};
  • 时间复杂度:O(n),其中 n 是链表的长度。因为我们对链表只遍历了一次,所以时间复杂度是 O(n)。
  • 空间复杂度:O(1),我们只使用了常数个指针。

image.png