一个🤐哑结点解决链表问题

1,560 阅读12分钟

链表

链表(Linked List)是一种数据结构,用于存储一系列元素。每个元素由一个存储数据的节点(Node)和一个指向下一个元素的指针(Next)组成。通过这些指针,将一系列节点串起来形成链表,每个节点只能访问到它的下一个节点,不能随机访问其他节点。

链表有单向链表、双向链表和循环链表等类型。其中,单向链表每个节点只有一个指向下一个节点的指针,而双向链表每个节点有两个指针,分别指向前一个节点和后一个节点。循环链表则是一种特殊的链表,尾节点的指针指向头节点。

相对于数组,链表的优势在于可以高效地进行插入和删除操作,而无需移动其他元素。但链表的缺点是无法随机访问,访问某个节点的时间复杂度为 O(n),因此不适用于需要随机访问的场景。

LeetCode 链表题目较为常见,是算法面试中经常考察的数据结构之一。链表是一种基本的数据结构,其优点是可以实现常数时间复杂度的插入和删除操作,而无需像数组一样进行大量的数据移动。

哑结点

哑结点(Dummy node) 通常是指在链表数据结构中使用的一个虚拟节点,它不包含任何实际的数据,仅用于协助链表操作的实现。

在链表的头部和尾部添加哑结点,可以使链表的操作更加简单高效。例如,当链表为空时,可以添加两个哑结点作为头部和尾部,这样就可以避免对空链表进行判断。在某些情况下,还可以使用哑结点来简化代码实现。

哑结点的实现方式有多种,例如可以使用一个空节点或者一个特定的数值来表示哑结点。具体实现方式可以根据具体的需求和代码设计进行选择。


相关题目

21. 合并两个有序链表

将两个升序链表合并为一个新的 升序 链表并返回。新链表是通过拼接给定的两个链表的所有节点组成的。 

 

示例 1:

输入: l1 = [1,2,4], l2 = [1,3,4]
输出: [1,1,2,3,4,4]

示例 2:

输入: l1 = [], l2 = []
输出: []

示例 3:

输入: l1 = [], l2 = [0]
输出: [0]

 

提示:

  • 两个链表的节点数目范围是 [0, 50]
  • -100 <= Node.val <= 100
  • l1 和 l2 均按 非递减顺序 排列
class Solution:
    def mergeTwoLists(self, list1: Optional[ListNode], list2: Optional[ListNode]) -> Optional[ListNode]:
        dummy = ListNode()
        p = dummy
        while list1 and list2:
            if list1.val < list2.val:
                p.next = list1
                list1 = list1.next
            else:
                p.next = list2
                list2 = list2.next
            p = p.next
        
        p.next = list1 if list1 else list2
        return dummy.next

这段代码实现了合并两个有序链表的功能,时间复杂度为 O(n)O(n),其中 nn 是两个链表中较短的链表的长度,空间复杂度为 O(1)O(1)

  • 首先创建一个虚拟头结点 dummy,然后创建一个指针 p 指向 dummy,用来拼接两个有序链表。

  • 接下来遍历两个链表,如果链表 list1 的当前节点的值小于链表 list2 的当前节点的值,则将 p 的下一个节点指向 list1 的当前节点,并将 list1 指向下一个节点。否则,将 p 的下一个节点指向 list2 的当前节点,并将 list2 指向下一个节点。

  • 遍历完成后,如果还有链表 list1list2 中有剩余的节点,则直接将 p 的下一个节点指向剩余的节点即可。

最后返回虚拟头结点的下一个节点 dummy.next

这个代码能AC但是不符合题意,因为题目要求不修改原来的链表并返回一个新的链表嗷。所以如果要按照题目写,空间复杂度为为O(m+n)O(m+n)

2. 两数相加

给你两个 非空 的链表,表示两个非负的整数。它们每位数字都是按照 逆序 的方式存储的,并且每个节点只能存储 一位 数字。

请你将两个数相加,并以相同形式返回一个表示和的链表。

你可以假设除了数字 0 之外,这两个数都不会以 0 开头。

 

示例 1:

输入: l1 = [2,4,3], l2 = [5,6,4]
输出: [7,0,8]
解释: 342 + 465 = 807.

示例 2:

输入: l1 = [0], l2 = [0]
输出: [0]

示例 3:

输入: l1 = [9,9,9,9,9,9,9], l2 = [9,9,9,9]
输出: [8,9,9,9,0,0,0,1]

 

提示:

  • 每个链表中的节点数在范围 [1, 100] 内
  • 0 <= Node.val <= 9
  • 题目数据保证列表表示的数字不含前导零
class Solution:
    def addTwoNumbers(self, l1: Optional[ListNode], l2: Optional[ListNode]) -> Optional[ListNode]:
        dummy = ListNode()
        p = dummy
        carry = 0
        while l1 or l2 or carry:
            v1 = l1.val if l1 else 0
            v2 = l2.val if l2 else 0
            vals = (v1 + v2 + carry) % 10
            carry = (v1 + v2 + carry) // 10
            p.next = ListNode(vals) 
            p = p.next
            l1 = l1.next if l1 else None
            l2 = l2.next if l2 else None
        return dummy.next
            
  1. 首先定义了一个哑结点dummy,作为新链表的头结点,并且定义了一个指针p,初始化为dummy。

  2. 定义了一个变量carry,表示进位的值,初始值为0。

  3. 进入循环,只要l1和l2中还有节点没有被遍历完,或者存在进位值,就继续循环。

  4. 对于每一位的相加,分别获取l1和l2的当前值(如果有的话),并且加上上一位的进位值,得到一个vals值,表示该位的和。

  5. 计算进位carry,根据vals的值是否大于等于10,如果大于等于10,就将carry设置为1,否则设置为0。

  6. 将vals的值插入新链表中,同时将指针p指向新链表的下一个节点,以便下一次插入。

  7. 将l1和l2的指针指向下一个节点,如果已经到了链表的末尾,就将指针设为None。

  8. 最后返回dummy.next,因为dummy是一个哑结点,所以实际上返回的是dummy的下一个节点,也就是新链表的头结点。

总体来说,这段代码的时间复杂度是O(max(m,n)),其中m和n分别是l1和l2的长度,因为需要遍历两个链表中的所有节点,以及可能的进位。空间复杂度是O(max(m,n)),因为需要创建一个新链表来存储结果。

19. 删除链表的倒数第 N 个结点

给你一个链表,删除链表的倒数第 n **个结点,并且返回链表的头结点。

 

示例 1:

输入: head = [1,2,3,4,5], n = 2
输出: [1,2,3,5]

示例 2:

输入: head = [1], n = 1
输出: []

示例 3:

输入: head = [1,2], n = 1
输出: [1]

 

提示:

  • 链表中结点的数目为 sz
  • 1 <= sz <= 30
  • 0 <= Node.val <= 100
  • 1 <= n <= sz

 

进阶: 你能尝试使用一趟扫描实现吗?

最容易想到的办法,两次遍历:

class Solution:
    def removeNthFromEnd(self, head: Optional[ListNode], n: int) -> Optional[ListNode]:
        length = 0
        pir = head
        while pir:
            length += 1
            pir = pir.next
        dummy = ListNode(0,head)
        cur = dummy
        for i in range(0,length-n):
            cur = cur.next
        cur.next = cur.next.next
        return dummy.next

下面是具体的分析:

  1. 首先定义了一个变量length表示链表的长度,初始化为0,并且定义了一个指针pir,初始化为head。

  2. 在while循环中,遍历链表中的每个节点,每经过一个节点,就将length加1,并将指针pir指向下一个节点。

  3. 定义了一个哑结点dummy,其值为0,其next指向head,这样可以避免对头结点进行特殊处理。

  4. 定义了一个指针cur,初始化为dummy。然后使用一个for循环,遍历链表中的前length-n个节点,将cur指向该节点。

  5. 然后将cur.next指向cur.next.next,就将倒数第n个节点从链表中删除了。

  6. 最后返回dummy.next,即为新链表的头结点。

总体来说,这段代码的时间复杂度为O(N),其中N为链表的长度。因为需要遍历整个链表两次,空间复杂度为O(1),因为只使用了常数个额外变量。

class Solution:
    def removeNthFromEnd(self, head: Optional[ListNode], n: int) -> Optional[ListNode]:
        stack = []
        p = dummy = ListNode(next = head)
        while p:
            stack.append(p)
            p = p.next
        for i in range(n+1):
            q = stack.pop()
        q.next = q.next.next
        return dummy.next

该解决方案使用堆栈来跟踪链表中的节点,从头开始。然后,它从堆栈中弹出倒数第N个节点,并更新第(N+1)个节点的下一个指针以跳过第N个节点。

该解决方案使用一个虚拟节点作为链表的头节点,以简化对第一个节点的处理。

以下是该解决方案的逐步说明:

  1. 初始化一个堆栈和一个指向虚拟节点的指针p

  2. 遍历链表,将每个节点推入堆栈中。

  3. 遍历结束后,我们从堆栈中弹出N+1次,以获取倒数第N个节点之前的节点。

  4. 更新第(N+1)个节点的下一个指针以跳过第N个节点。

  5. 返回虚拟节点的下一个指针。

请注意,该解决方案的时间复杂度为O(n),空间复杂度为O(n),其中n是链表的长度。

class Solution:
    def removeNthFromEnd(self, head: Optional[ListNode], n: int) -> Optional[ListNode]:
        fast = slow = dummy = ListNode(next=head)
        for i in range(n):
            fast = fast.next
        while fast.next:
            slow = slow.next
            fast = fast.next
        slow.next = slow.next.next
        return dummy.next

该解决方案使用两个指针fastslow,同时从头开始遍历链表。指针fast首先移动n步,然后指针slowfast以相同的速度移动,直到fast到达链表的末尾。此时,指针slow指向倒数第n个节点之前的节点。然后,我们更新指针slow的下一个指针以跳过第n个节点。

该解决方案使用一个虚拟节点作为链表的头节点,以简化对第一个节点的处理。

以下是该解决方案的逐步说明:

  1. 初始化两个指针fastslow,并将它们都指向虚拟节点。

  2. 将指针fast向前移动n个节点。

  3. 同时移动指针fastslow,直到fast到达链表的末尾。

  4. 更新指针slow的下一个指针以跳过第n个节点。

  5. 返回虚拟节点的下一个指针。

请注意,该解决方案的时间复杂度为O(n),空间复杂度为O(1),其中n是链表的长度。

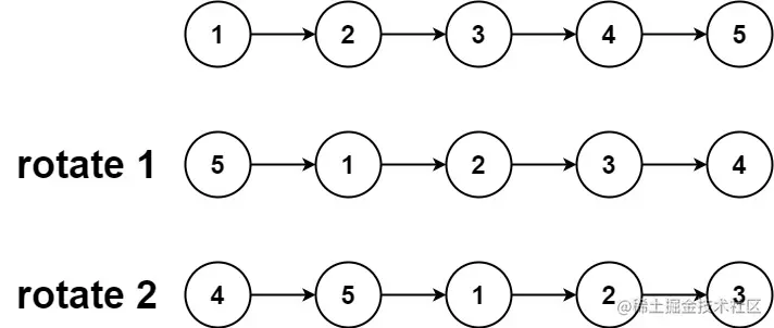
61. 旋转链表

给你一个链表的头节点 head ,旋转链表,将链表每个节点向右移动 k **个位置。

 

示例 1:

输入: head = [1,2,3,4,5], k = 2
输出: [4,5,1,2,3]

示例 2:

输入: head = [0,1,2], k = 4
输出: [2,0,1]

提示:

  • 链表中节点的数目在范围 [0, 500] 内
  • -100 <= Node.val <= 100
  • 0 <= k <= 2 * 109

常规做法:

class Solution:
    def rotateRight(self, head, k):
        if not head:
            return
        p = head
        length = 1
        while p.next:
            length += 1
            p = p.next
        k %= length

        dummy = ListNode()
        q = head
        
        for i in range(length - k - 1):
            q = q.next
        p.next = head
        dummy.next = q.next
        q.next = None
        return dummy.next

首先遍历整个链表,获取链表长度 length,同时将尾节点 p 找出来。

将 k 对 length 取模,防止 k 大于链表长度。

设置 dummy 节点和指针 q 指向头节点,同时让 q 往前走 length-k-1 步,使其停留在旋转后的尾节点的前一个位置。这里需要注意 q 的起始位置是头节点,而不是 dummy 节点。

将尾节点 p 指向头节点,使整个链表形成一个环。

让 q.next = None,断开环,得到旋转后的单链表。

时间复杂度为 O(n),其中 n 为链表长度。由于只使用了常数个额外空间,空间复杂度为 O(1)。

转化为环状链表

class Solution:
    def rotateRight(self, head: Optional[ListNode], k: int) -> Optional[ListNode]:
        if not head:
            return
        p = head
        length = 1
        while p.next:
            length += 1
            p = p.next
        k %= length

        p.next = head
        for i in range(length - k):
            p = p.next
        head = p.next
        p.next = None
        return head

具体做法如下:

  1. 如果链表为空,则直接返回 None。

  2. 遍历整个链表,获取链表长度 length,并将尾节点 p 找出来。

  3. 将 k 对 length 取模,防止 k 大于链表长度。

  4. 将尾节点 p 的 next 指向头节点,使整个链表形成一个环。

  5. 再让 p 往前走 length - k 步,停留在旋转后的尾节点位置。

  6. 将头节点 head 指向 p 的 next,得到旋转后的单链表。

  7. 让 p.next = None,断开环,得到最终的结果。

该算法的时间复杂度为 O(n),其中 n 为链表长度。由于只使用了常数个额外空间,空间复杂度为 O(1)。

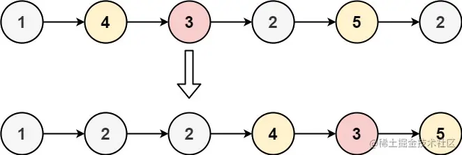
86. 分隔链表

给你一个链表的头节点 head 和一个特定值 **x ,请你对链表进行分隔,使得所有 小于 x 的节点都出现在 大于或等于 x 的节点之前。

你应当 保留 两个分区中每个节点的初始相对位置。

 

示例 1:

输入: head = [1,4,3,2,5,2], x = 3
输出:[1,2,2,4,3,5]

示例 2:

输入: head = [2,1], x = 2
输出:[1,2]

 

提示:

  • 链表中节点的数目在范围 [0, 200] 内
  • -100 <= Node.val <= 100
  • -200 <= x <= 200
class Solution:
    def partition(self, head, x: int) :
        small = dummy1 = ListNode()
        big = dummy2 = ListNode()
        while head:
            if head.val < x:
                small.next = head
                head = head.next
                small = small.next
                small.next = None
            else:
                big.next = head
                head = head.next
                big = big.next
                big.next = None
        small.next = dummy2.next
        return dummy1.next

这是一个Python类Solution,它有一个名为partition的方法,接受两个参数:head是一个链表,x是一个整数。该方法将链表分割成两个部分,所有节点值小于x的节点在所有节点值大于或等于x的节点之前。

该方法创建了两个虚拟节点dummy1dummy2,分别作为两个单独链表的头部。然后,使用while循环迭代遍历原始链表中的每个节点,根据它的值是否小于x,将其附加到smallbig链表中。

一旦所有节点都已被分配到smallbig链表中,该方法将small链表中的最后一个节点的next指针设置为big链表中的第一个节点,并返回dummy1next指针,即分割后的链表的头部。

请注意,该代码假设ListNode是一个表示链表中单个节点的类,并具有至少两个属性:val存储节点的值,next存储链表中下一个节点的引用。

时间复杂度:该方法使用一次遍历来分割原始链表,并在每次迭代中执行常量时间操作。因此,该算法的时间复杂度为O(n),其中n是链表的长度。

空间复杂度:该方法使用了两个虚拟节点和两个指针来分割链表,因此空间复杂度为O(1),与链表的长度无关。

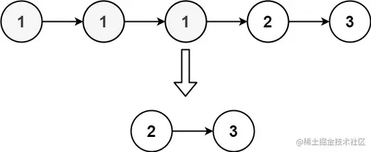
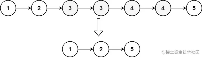
82. 删除排序链表中的重复元素 II

给定一个已排序的链表的头 head , 删除原始链表中所有重复数字的节点,只留下不同的数字 。返回 已排序的链表 。

 

示例 1:

输入: head = [1,2,3,3,4,4,5]
输出: [1,2,5]

示例 2:

输入: head = [1,1,1,2,3]
输出: [2,3]

 

提示:

  • 链表中节点数目在范围 [0, 300] 内
  • -100 <= Node.val <= 100
  • 题目数据保证链表已经按升序 排列
class Solution:
    def deleteDuplicates(self, head):
        dummy = ListNode()
        p = dummy
        while head:
            if head.next and head.next.val == head.val:
                n = head.val
                while head and head.val == n:
                    head = head.next
            else:
                p.next = head
                head = head.next
                p = p.next
                p.next = None
        return dummy.next

这是一个删除链表中重复元素的Python代码实现。该函数接受一个参数head,它是链表的头节点。函数返回删除重复元素后的链表头节点。

函数创建一个新的节点dummy作为新链表的头节点。它还创建一个指针p,指向新链表的最后一个节点。然后,它使用head指针遍历原始链表。

如果head.next存在且其值等于head.val,则函数进入一个循环,跳过所有与head具有相同值的节点。一旦循环完成,head指向与先前节点值不同的第一个节点。

如果head.next不存在或其值与head.val不同,则函数将head附加到由p指向的新链表,更新p以指向链表的新最后一个节点,并将pnext指针设置为None

遍历完原始链表中的所有节点后,函数返回新链表的头节点,它是链表中的第二个节点,因为第一个节点是虚拟节点。

总体而言,这个实现的时间复杂度为O(n),其中n是链表中节点的数量。空间复杂度为O(1),因为函数只创建了常数数量的指针和节点。