FedPAC | 概率近似正确联邦学习

310 阅读9分钟

[隐私计算研习社]

图片

隐私(Privacy)、效用(Utility)和效率(Efficiency)是可信联邦学习的三大核心,但已有研究表明,在设计联邦学习算法时,无法保证隐私泄露无穷小的同时,还能达到效用损失和效率损失同时最小。因此,如何实现三者的权衡(trade-off)取舍是联邦学习算法设计的关键。一种常见的方案是将权衡问题归为约束多目标最优化(Multi-objective optimization)问题,即在保证隐私泄露小于某个预设值的前提下,同时最小化效用损失和效率损失。但多目标的优化通常是一个很复杂的问题,现有的多目标优化策略都非常耗时,而且无法保证能得到最优解。今天为大家带来一篇名为《概率近似正确联邦学习(Probably Approximately Correct Federated Learning)》的论文解读,在本文中,作者提出了基于PAC Learning概率近似正确(Probably Approximately Correct,简称PAC)的统一度量框架,来权衡不同目标并求解Pareto前沿。PAC Learning是一个机器学习的数学分析框架,是由Leslie Valiant于1984年在《Communications of the ACM》上发表的论文“A theory of the learnable”中首次提出,Valiant因其对PAC学习理论、枚举、计算代数复杂性等理论计算机科学问题的重要贡献,在2010年被ACM授予图灵奖[1][2][3]。论文链接:arxiv.org/abs/2304.04…

****研究的开创性本研究创新性地提出了“概率近似正确联邦学习”(FedPAC),首次将PAC learning学习理论与联邦学习相结合,该框架开创性地针对下面的问题进行分析解答:

  • 基于PAC理论,为联邦学习的隐私、效用和效率提供性能限界(bound)。具体来说,我们将使用样本复杂度(Sample complexity)作为中间桥梁,对隐私、效用和效率进行统一的量化,将三者都放在相同的维度空间上进行度量。这样做的好处是使得三者之间具有可比性,并且多个目标的解约束在相同的共享空间中,从而将三者的权衡问题从多目标优化转化为单目标优化求解。
  • 创新性地将联邦学习的所有参与者(包括防守者、攻击者、模型构建者),都构建在PAC学习架构上。 因此,对于攻击算法和防守策略,我们都可以用样本复杂度来衡量。具体来说,从防守者的角度,使用样本复杂度来衡量添加保护机制后可能出现的效用和效率损失,防守者通过成本分析调整防守策略;从攻击者的角度,使用样本复杂度来衡量攻击的成本,攻击者可以通过成本分析是否值得进行攻击。

进一步对上面问题的深入分析,我们将得到本文中最重要的一个结论,即隐私泄露、效用损失和训练效率三者权衡的表达式,如下图所示,该结论及其相关推论,可用于指导实际的算法设计。图片

  • 当训练效率固定时,隐私泄露越小,则效用损失的上界就越大。也就是说,对于任意两个保护机制,当它们的训练效率相同时,保护性能较强的保护机制,其产生的隐私泄露就越小,所带来的模型效用损失就越大;反之,保护性能较弱的保护机制,其产生的隐私泄露就越大,所带来的模型效用损失就越小。 
  • 当隐私泄露固定时,训练效率越小,则效用损失的上界就越大。也就是说,对于任意两个保护机制,当它们具有相同的保护能力时,训练效率较小的保护机制,其训练样本量也较少,从而导致较大的模型效用损失;反之,训练效率较大的保护机制,其训练样本量也较多,训练数据越多则训练越充分,模型的效用损失将减少。

2


研究的方法与场景

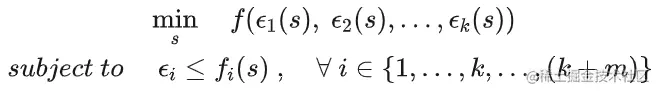
权衡问题可以通过下面的约束多目标优化来形式化表示,如下方公式所示。不失一般性,我们以最小化为例,其中待求解的目标有个,记为 ,其中  ;含有个约束,记为  ,其中  。

图片

但像上面公式所示的多目标优化问题往往很难求解,主要体现在下面三个方面:

  • 现有的很多研究表明,多目标的优化算法很难同时得到多个目标的最优解。
  • 大多数情况下,多目标优化不能直接使用基于梯度的方法来高效求解,需要借助于像基于进化(Evolution-based)的算法、基于贝叶斯(Bayesian-based)的优化、基于深度学习(Deep learning-based)的优化等,但这些算法的求解复杂度都很高。
  • 现有的多目标转化为单目标的方法,如线性标量法(linear scalarization)等,会通过不同的权重将多个目标组合起来变为一个单目标,即  ,但权重参数的设置需要通过手工设置,通常情况下是靠经验和多次尝试,因此效率很低。

考虑到上述多目标问题优化遇到的困难和挑战,我们提出一种利用PAC learning来对多个目标进行统一度量的框架,具体来说,我们将使用样本复杂度作为中间桥梁,对隐私、效用和效率进行统一的量化,使得三者都在相同的维度空间上进行度量,此时,多个目标的解将在相同的共享空间中取得,从而将多目标优化问题转化为单目标优化问题,如下面公式所示。

图片        

3


研究场景1:防守者训练流

本文是在横向联邦场景下进行分析讨论,如下图所示,其中服务端是一个半诚实的(semi-honst)攻击者,而客户端则是防御者。不失一般性,我们假设当前处在第  轮迭代中,系统将按下面的步骤进行训练:

图片

步骤一: 服务端向所有客户端发送最新的全局模型 ,客户端接收到  后,对其进行解密操作: 。

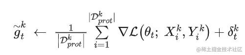
步骤二: 利用本地数据,客户端单独进行本地模型训练。以第  个客户端为例,得到更新后的本地模型参数为  :

图片

步骤三: 第个客户端上传更新的梯度到服务端中,为了保护梯度信息,上传的梯度将添加扭曲信息  :

图片

步骤四: 服务端接收到所有客户端上传的扭曲梯度后,进行梯度聚合,更新全局模型参数,得到新的全局模型参数为  :

图片

4


研究场景2:攻击者威胁模型

我们考虑服务端是一个半诚实的攻击者,即:它将遵循联邦学习的协议进行训练,但另一方面,它对中间结果数据感兴趣,试图从这些中间数据中,推导出客户端的隐私信息。在本文中对攻击者,我们将分析两个方面的内容:一是如何衡量攻击者造成的隐私泄露;二是衡量攻击的成本。为此,攻击者将执行下面两个任务:

图片

  • 任务一: 服务端对第个客户端上传的梯度  ,使用梯度攻击等攻击算法,还原出该客户端的本地数据信息。目标是还原的数据越接近于原始数据越好。 

  • 任务二: 利用还原的数据,训练一个分类器,目的是推导出需要多少样本量,才能使得攻击算法是PAC可学习的。

5


研究结论

该论文基于PAC学习理论,以样本复杂度作为度量,给出了隐私泄露、效用损失和攻击成本的边界,如上图所示,其中: 

隐私泄露的上界: 隐私泄露将以不低于  的概率,满足:

图片

从直观上来说,上式表明样本量()越多,模型隐私泄露的上界值就越小,即在相同的概率下,模型越难被攻击,攻击造成的隐私泄露越少。

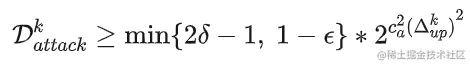
攻击者的攻击成本: 攻击者通过从上传的梯度信息中,还原原始数据,从而造成隐私泄露。为了评估其攻击效果,攻击者会利用还原的数据来重新训练一个分类器,如果分类器的效果越好,说明还原的数据质量越高,造成的隐私泄露也就越大。对于DLG攻击,当攻击者所需要的样本量  满足下式时,攻击者算法是PAC可学习的,也就是分类器的泛化误差小于  的概率不低于  (其中满足)。

图片

效用损失的上界: 则效用损失将以不低于  的概率,满足:

图片

从直观上来说,定理1表明样本量()越多,模型效用损失的上界值就越小,即在相同的概率下,模型能达到更好的性能。

6


总结和未来工作

在本文中,我们从PAC learning的角度,为联邦学习构建了一个统一的度量机制用以量化隐私、效用和效率。 具体来说,对于保护者,我们提供了一个上界,用以衡量保护算法对模型效用损失的影响;对于攻击者,我们提供一个上界用以衡量攻击者造成的隐私泄露,并详细分析了样本量对攻击成本的影响。在此基础上,我们进一步构建出隐私、效用和效率三者权衡的关系,如:当样本的数量满足一定的条件时,我们可以确保保护机制带来的模型效用损失,将以较大的概率不会超过某一个上限值;同样地,当样本的数量满足一定的条件时,我们可以确保保护机制对隐私信息保护,能使得攻击者付出的成本远大于收益,这为保护算法的设计提供了指导意义。

7


参考资料

[1]周志华.《机器学习》. 清华大学出版社, 2016.2. 

[2]Russell S J. Artificial intelligence a modern approach[M]. Pearson Education, Inc., 2010.

[3]L. Valiant. A theory of the learnable. Communications of the ACM, 27, 1984.

本文参考:FATE开源社区

转载仅供学习参考,若有不当,请联系我们处理

END

往期推荐

1.一文了解零知识证明基础知识
2.利用不经意传输完成隐私集合求交3.中国密码学会及各分支机构2023年主要学术活动计划4.笔记分享 | 冯登国院士MPC讲座(2)——基于秘密分享方法的安全多方计算协议