计算机视觉论文:去噪扩散隐式模型

806 阅读3分钟

去噪扩散概率模型 (DDPM) 可以在没有对抗训练的情况下生成高质量的图像,但是它需要很多步骤来模拟马尔可夫链来产生样本。为了加快这一过程,他们引入了去噪扩散隐式模型 (DDIM),这是一类更高效的迭代隐式概率模型,其训练过程与 DDPM 相同。DDPM 将生成过程定义为特定马尔可夫扩散过程的逆过程。然而,他们使用具有相同训练目标的非马尔可夫扩散过程来推广 DDPM。这些过程可以对应于更快地生成高质量样本的确定性生成过程。他们证明 DDIM 生成高质量样本的速度比 DDPM 快 10-50 倍,从而实现了计算和样本质量之间的权衡。

方法

image.png

扩散的图形模型(左)和马尔可夫推理模型(右)

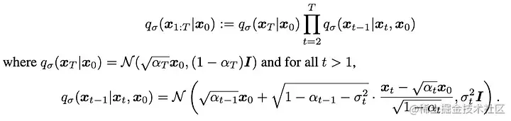
为了减少生成模型所需的迭代次数,关键观察是 DDPM 目标仅以边缘 q(x_t | x_0) 为条件,而不是联合 q(x_{1:T} | x_0) . 因此,作者考虑使用非马尔可夫推理过程,就像上图所示。然而,它们仍然导致在 DDPM 中应用相同的目标函数。

非马尔可夫正向过程

首先,我们考虑一个推理分布族 Q,由实向量 σ 索引:

image.png

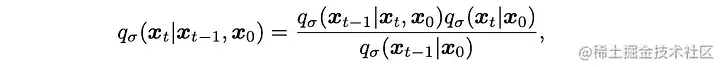
前向过程可以根据贝叶斯法则计算:

image.png

与 DDRM 论文中描述的扩散过程不同,转换后的前向过程不再是马尔可夫过程,因为 x_t 不仅可以依赖于 x_{t-1},还可以依赖于 x_0。

生成过程和统一变分推理目标

该论文提出了一个可训练的生成过程 pθ(x_{0:T} ),其中每个 p^(t)θ (x{t−1} | x_t) 利用 q_σ(x_{t−1} | x_t, x_0) 的知识. 给定一个有噪声的观察 x_t,我们首先预测 x_0,并使用 x_0 通过上一节中定义的反向条件分布获得 x_{t-1}。

我们获得噪声化观察的方式是在给定 x_t 的情况下预测 x_0:

image.png

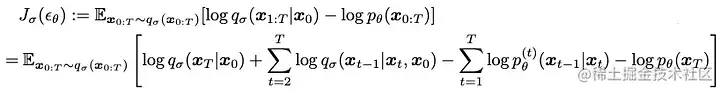
我们根据以下变分推理目标优化了 θ

image.png

从广义生成中抽样

image.png

加速生成的图形模型,其中 τ = [1, 3]

通过使用 L_1 作为目标,我们正在学习 DDPM 中马尔可夫推理过程的生成过程和由 σ 描述的多个非马尔可夫前向过程的生成过程。因此,我们可以使用预训练的 DDPM 模型作为新目标的解决方案,并专注于发现一个生成过程,该过程可以通过改变 σ 来根据我们的要求生成更好的样本。

去噪扩散隐式模型

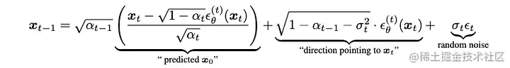
我们可以根据以下条件从样本 x_t 生成样本 x_{t-1}:

image.png

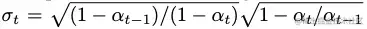
其中 ε_t 是独立于 x_t 的标准高斯噪声。σ 的大小导致不同的生成过程。然而,作者使用相同的模型ε_θ,因此,我们不需要重新训练模型。当满足如下所示的条件时,正向过程变为马尔可夫过程,生成过程变为 DDPM。

image.png

另一个极端情况是对于所有 t σ_t = 0,正向过程在给定 x_{t-1} 和 x_0 的情况下变得确定,除了 t = 1。获得的模型是一个隐式概率模型,它从固定潜在变量中生成样本具体方式(从 x_T 到 x_0)。它被命名为 Denoising Diffusion Implicit Model(DDIM),因为它是一个使用 DDPM 目标训练的隐式概率模型,即使正向过程不再是扩散。

加速生成过程

我们知道前向过程需要 T 步才能完成,反向或生成过程也是如此。但是,根据之前的变换,我们可以考虑长度小于T的前向过程,这也可以减少生成过程。

这考虑到我们可以将正向过程分成 [1, …., T] 的递增子序列的多个子集。作者将使用 reversed(τ) 对潜在变量进行采样的过程称为“采样轨迹”。如果这条轨迹的长度比 T 短得多,由于采样过程是迭代的,它可以大大提高计算效率。