太阳诱电 | 陶瓷电容器的静电容量相关

125 阅读1分钟
  • 陶瓷电容器的静电容量会因温度而变化吗?

  • 电容器的静电容量的温度特性是什么?

陶瓷电容器的静电容量随周围的温度而变化。静电容量因温度而变化的现象,称为静电容量的温度特性。这是由于陶瓷电容器使用的材料造成的,也是所有陶瓷电容的常有现象。

以下是本公司产品MSASL219SB5105KTNA01相对于温度的静电容量变化率。

陶瓷电容器的温度特性广泛采用日本工业标准(JIS)和美国电子工业协会(EIA)规定的标准。包括本公司在内的陶瓷电容器制造商在个别产品中都规定了JIS和EIA两种温度特性符号或其中一种,从而可以了解产品的使用温度范围、使用温度范围内的静电容量的温度系数或静电容量变化率。

主要JIS、EIA的温度特性符号和使用温度范围、温度系数、静电容量变化率的对应如下所示。

CLASS1 (温度补偿用)

CLASS2 (高诱电率系列)

※ JIS的标准温度为20°C,EIA的基准温度为25°C。

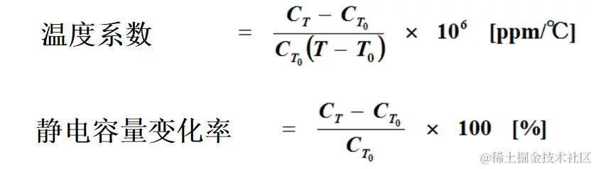
注意,温度系数和静电容量变化率由使用温度T下的静电容CT和基准温度T0下的静体电容CT0求出如下,该值必须在使用温度范围内处于上表的范围内。

找正品元器件,上唯样商城。

有关个别产品的温度特性,请利用TY-COMPAS,可检索产品规格和特性。