快速排序及主定理

143 阅读2分钟

主定理,主定理(英语:master theorem)提供了用渐近符号表示许多由分治法得到的递推关系式的方法

在分治算法中,分解、解决、合并,使用递归解决一个个子问题再合并解决整体问题。对于此类算法的效率值,可使用主定理推导确定。

主定理较为复杂,本文中提供一种简化版本,以便理解: Paste_Image.png

关于主定理详细推导,可自己画递归树推导。 上篇文章提到的归并排序,每次均是将整体问题分为两个子问题,数组不断递归,到每个子问题规模为1,那么一共会递归lgN次。而合并子问题的效率为N,所以算法整体效率为NlgN。它对应了上图中的示例1.

快速排序,快速排序是使用最广泛的排序方法,高效,空间占用小。

它的核心思想是,选取关键值k,将数组中小于k的值放到k的左边,大于k的数值放到k的右边。再递归解决小于k段的排序和大于k段的排序。最终每个子问题规模为1,肯定就是有序的

核心代码为:

  public static int partition(int[] array, int p, int r){
    int k = array[r];
    int i = p - 1;
    for (int j = p; j < r; j++) {
        if (array[j] < k) {
            i ++;
            int temp = array[i];
            array[i] = array[j];
            array[j] = temp;
        }
    }
    int temp = array[i + 1];
    array[i + 1] = array[r];
    array[r] = temp;
    return i + 1;
}

partition方法,将数组分成三段,一段为小于k段,一段为大于k段,一段为未排序段。当遍历发现未排序段位置不对时,则将此值与大于k段值交换位置,最终将k值插入合适位置

partition另外一种写法

public static int partition2(int[] array, int p, int r){
    int k = array[p];
    int i = p;
    int j = r;
    while (i < j) {
        while (i < j && array[j] > k) {
            j--;
        }
        if (i < j) {
            array[i] = array[j];
            i ++;
        }
        
        while(i < j && array[i] < k){
            i++;
        }
        if (i < j) {
            array[j] = array[i];
            j--;
        }
    }
    array[i] = k;
    return i;
}

partition2方法中产生一个冗余位置,数组中第一个元素已经被记录在k中,所以第一个元素就是冗余元素。从后开始遍历,如果某元素不在正确的位置上,则将此元素赋值到冗余位置上,之前的位置则成了新的冗余位置。

有了partition算法,快排则非常简单了。

  public static void quickSort(int[] array,int p, int r){
    if (p < r) {
        int q = partition(array, p, r);
        quickSort(array, p, q - 1);
        quickSort(array, q + 1, r);
    }
}

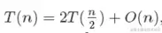
从快排算法中可看出,快排算法包含三个方面,将整体分成为2个n/2规模的子问题,同时再调用partition合并,partition效率为N,所以对比上文中的主定理,可知快排的递归式为:

Paste_Image.png

所以其效率为N*lgN。

特别注意:选取关键值k对整个算法非常重要,如果每次选中的值均为整个数组中最小的值,那么整体算法的效率将退化到n的平方。为了达到随机目的,可在选取k时,采用随机数方式,再将随机等到的关键字调换位置到0或尾部。

本博中涉及的所有代码均已上传到github,欢迎访问博主的github主页