高斯模糊

1,377 阅读4分钟

前言

通常,图像处理软件会提供"模糊"(blur)滤镜,使图片产生模糊的效果。

“模糊”的算法不只一种,高斯模糊只是其中一种,甚至它只是其中效率很差的一种。

在Android中使用高斯模糊,需要使用到 JNI 技术,Android Studio开发之 JNI 篇已具体讨论JNI的用法等。本文主要讲述高斯模糊原理及编码等。

高斯模糊原理

所谓"模糊",可以理解成每一个像素都取周边像素的平均值。

如图所示,2是中间点,周围点都是1。中间点取周围点平均值,就会变成1。在数值上,这是一种"平滑化"。在图形上,就相当于产生"模糊"效果,"中间点"失去细节。

显然,计算平均值时,取值范围越大,"模糊效果"越强烈。

如果使用简单平均,显然不是很合理,因为图像都是连续的,越靠近的点关系越密切,越远离的点关系越疏远。因此,加权平均更合理,距离越近的点权重越大,距离越远的点权重越小。

高斯模糊根据正态分布,决定周围点的权重值。

正态分布是一种钟形曲线,越接近中心,取值越大,越远离中心,取值越小。

计算平均值的时候,我们只需要将"中心点"作为原点,其他点按照其在正态曲线上的位置,分配权重,就可以得到一个加权平均值。

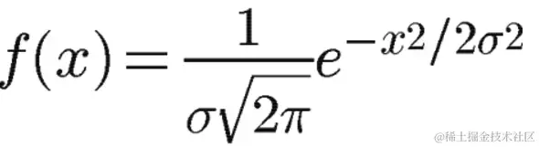
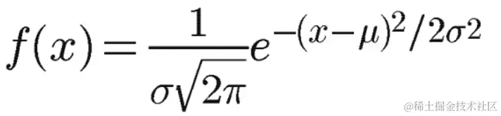
正态分布的一维公式为:

由于每次计算都是以中间点为原点,所以u为标准差,即为0。所以公式进一步进化为:

由于图像是二维的,需要根据二维正态分布函数来计算权重值,它的公式以及曲线如下:

不过为了代码效率问题,不会采用二维正态分布的计算方式,而是分别对 X 轴和 Y 轴进行两次高斯模糊,也能达到效果(即通过一维正态分布计算权重)。

高斯模糊代码

先分别计算正态分布各参数,sigma与高斯模糊半径有关系,2.57既是1除以根号2 PI得来。

float sigma = 1.0 * radius / 2.57;
float deno = 1.0 / sigma * sqrt(2.0 * PI);
float nume = -1.0 / (2.0 * sigma * sigma);

因为对于每一个像素点来说,周围点在正态分布中所占的权重值都是一样的,所以正态分布计算一次即可。

float *gaussMatrix = (float *) malloc(sizeof(float) * (radius + radius + 1));
float gaussSum = 0.0;
for (int i = 0, x = -radius; x <= radius; ++x, ++i) {
    float g = deno * exp(1.0 * nume * x * x);
    gaussMatrix[i] = g;
    gaussSum += g;
}

因为是以中间点自身为原点,所以 x 的取值范围是从 -radius 到 radius,计算结果存储的数组中。请注意周围点权重值与数组的对应关系,x 等于 -radius 时,而 i 等于0,后文会用到。

由于并没有计算所有的周围点,所以权重总合必然不为1,所以需要归一化,设法使权重值为一。

int len = radius + radius + 1;
for (int i = 0; i < len; ++i) {
    gaussMatrix[i] /= gaussSum;
}

先进行 x 轴的模糊。

  for (int y = 0; y < h; ++y) {
    //取一行像素数据,注意像素总数组的访问方式是  x + y * w
    memcpy(rowData, pix + y * w, sizeof(int) * w);
    for (int x = 0; x < w; ++x) {
        float r = 0, g = 0, b = 0;
        gaussSum = 0;
        //以当前坐标点 x、y 为中心,查看前后一个模糊半径的周围点,根据正态分布
        //重新计算像素点的颜色值
        for (int i = -radius; i <= radius; ++i) {
            // k 表示周围点的真实坐标
            int k = x + i;
            // 边界上的像素点,它的周围点只有正常的一半,所以要保证 k 的取值范围
            if (k >= 0 && k <= w) {
                // 取到周围点的像素,并根据 argb 的排列方式,计算 r、g、b分量
                int color = rowData[k];
                int cr = (color & 0x00ff0000) >> 16;
                int cg = (color & 0x0000ff00) >> 8;
                int cb = (color & 0x000000ff);
                //真实点坐标为 k,与它对应的权重数组下标是 i + radius
                //前文中计算正态分布权重时已经说明相关的对应关系。
                //根据正态分布的权重关系,计算中心点的 r g b各分量
                int index = i + radius;
                r += cr * gaussMatrix[index];
                g += cg * gaussMatrix[index];
                b += cb * gaussMatrix[index];
                gaussSum += gaussMatrix[index];
            }
        }
        //因为边界点的存在,gaussSum值不一定为1,所以需要除以gaussSum,归一化。
        int cr = (int) (r / gaussSum);
        int cg = (int) (g / gaussSum);
        int cb = (int) (b / gaussSum);
        //根据权重值与各周围点像素相乘之和,得到新的中间点像素。
        pix[y * w + x] = cr << 16 | cg << 8 | cb | 0xff000000;
    }
}

y轴的模糊原理和x轴基本一样,这里就不再重复说明了。

JNI图片接口

JNI中处理图片,需要引用 bitmap.h,头文件中主要定义三个方法。

  int AndroidBitmap_getInfo(JNIEnv* env, jobject jbitmap,
                      AndroidBitmapInfo* info);
  int AndroidBitmap_lockPixels(JNIEnv* env, jobject jbitmap, void** addrPtr);
  int AndroidBitmap_unlockPixels(JNIEnv* env, jobject jbitmap);

AndroidBitmap_getInfo:获取图片信息,比如宽、高、图片格式等 AndroidBitmap_lockPixels:顾名思义,锁定像素 AndroidBitmap_unlockPixels:解锁。

AndroidBitmap_lockPixels 和 AndroidBitmap_unlockPixels 成对调用,在两个方法之间可对图片像素进行相应处理,解锁像素以后,对图片的调整效果可以立即看到,并不需要再重新生成图片了。

ps:有时并不知道 JNI 有哪些接口可以调用,最好的方式就是看源码,有哪些接口,一目了然。

其它模糊方法

除了高斯模糊之外,还有其它模糊方法,比如说 fastblur,不过这个算法还没看明白,此处不再详述,具体代码本人的github上都有,欢迎访问。