【前端er每日算法】Leetcode链表4题-24两两交换节点19删除链表倒数第n个节点/链表相交/142环形链表二

89 阅读6分钟

题目1: 24. 两两交换链表中的节点

给你一个链表,两两交换其中相邻的节点,并返回交换后链表的头节点。你必须在不修改节点内部的值的情况下完成本题(即,只能进行节点交换)。

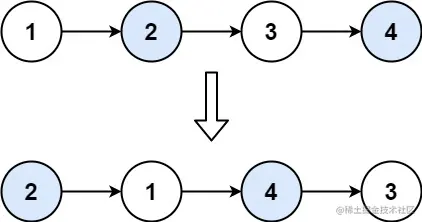
示例 1:

image.png

输入:head = [1,2,3,4]

输出:[2,1,4,3]

思路

先想了边界条件,没有节点或者只有一个节点,则不需要交换,直接返回节点; 然后想的两个指针p,q进行交换,但是发现还需要p的前一个节点更新为q,一次交换后,p再指向p的下一个节点,q再指向p的下一个节点,所以写着写着第一版,写出了4个变量,😓,写法是有点丑陋,还不好理解,这脑袋瓜子就是想不太清楚。

// 第一版本
var swapPairs = function(head) {
    if (!head || !head.next) {
        return head;
    }
    let dummy = new ListNode()
    let pre = dummy;
    let p = head;
    let q = p.next;
    let next = q.next;
    while (p && q) {
        q.next = p;
        p.next = next;
        pre.next = q;
        if (!next || !next.next) {
            break;
        }
        pre = p;
        p = next;
        q = next.next;
        next = q.next;
    }
    return dummy.next;
};

// 看了题解后,发现只需要记录前一个节点,在循环里拿到要交换的两个节点进行交换,这样可以节省2个变量,是清晰了些,按照题解优化后如下:

// 代码清爽了些
var swapPairs = function(head) {
    if (!head || !head.next) {
        return head;
    }
    let dummy = new ListNode()
    dummy.next = head;
    let pre = dummy;
    while (pre.next && pre.next.next) {
        let p = pre.next;
        let q = pre.next.next;

        p.next = q.next;
        q.next = p;
        pre.next = q;

        pre = p;
    }
    return dummy.next;
};

然后题解中还有一个递归解法,我是没想出来的,看了一会明白了思路:

  1. 终止条件和上面一样
  2. 每层循环,交换2个节点,head以及head.next, head.next成为新的头节点newHead,递归交换从第三个点开始的后面的链表即newHead.next开始的链表,返回交换后的头节点,赋值给head的next,newHead.next = head
  3. 返回新的头节点newHead
var swapPairs = function(head) {
    if (!head || !head.next) {
        return head;
    }
    const newHead = head.next;
    head.next = swapPairs(newHead.next);
    newHead.next = head;
    return newHead;
};

这一道题花了挺长时间,是不好写,链表的题还不够熟悉。

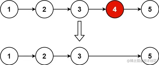
题目2: 19. 删除链表的倒数第 N 个结点

给你一个链表,删除链表的倒数第 n 个结点,并且返回链表的头结点。

示例 1:

image.png

输入:head = [1,2,3,4,5], n = 2 输出:[1,2,3,5]

思路

这个题之前做过,现在做起来比较快,思路就是快慢指针,fast指针先走n步,然后slow再出发,这里注意的就是fast从head开始出发,slow借助哑节点,因为删除指针的话,是需要知道删除节点的上一个节点的,所以slow需要走到前一个节点,借助哑节点,一个是删除不用考虑头节点的特殊情况,一个是从dummy走n步,是走到了要删除节点的前一个节点,删除也方便。代码如下

var removeNthFromEnd = function(head, n) {
    let p = head;
    while(n-- > 0 && p) {
        p = p.next
    }
    const dummy = new ListNode();
    dummy.next = head;
    let q = dummy;
    while (p) {
        p = p.next;
        q = q.next;
    }
    q.next = q.next.next;
    return dummy.next;
};

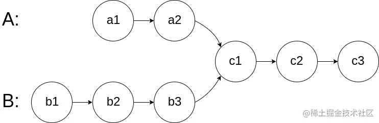
题目3 面试题 02.07. 链表相交

给你两个单链表的头节点 headA 和 headB ,请你找出并返回两个单链表相交的起始节点。如果两个链表没有交点,返回 null 。

图示两个链表在节点 c1 开始相交:

image.png

题目数据 保证 整个链式结构中不存在环。

注意,函数返回结果后,链表必须 保持其原始结构 。

思路

这个题,一开始想的逆转链表,从后往前遍历,但是发现一提交错误,看了一下题,不能修改链表结构,遂卒😓,

然后就按照长度diff来计算吧,计算出来diff,长度长的先走diff步,然后两个列表一起往后走,如果遇到相同节点,就是相交节点,如果没有遇到,则不相交。

var getIntersectionNode = function(headA, headB) {
   let lenA = 0
   let lenB = 0;
   let nodeA = headA;
   let nodeB = headB;
   while (nodeA) {
       nodeA = nodeA.next;
       lenA++;
   }
   while (nodeB) {
       nodeB = nodeB.next;
       lenB++;
   }
   let longList;
   let shortList;
   let diff = 0;
   if (lenA > lenB) {
       longList = headA;
       shortList = headB;
       diff = lenA - lenB;
   } else {
       longList = headB;
       shortList = headA;
       diff = lenB - lenA;
   }
   // 长链表先走diff步
   while(diff-- > 0) {
       longList = longList.next;
   }
   while(longList && shortList) {
       if (longList === shortList) {
           return longList;
       }
       longList = longList.next;
       shortList = shortList.next;
   }
   return null;
};

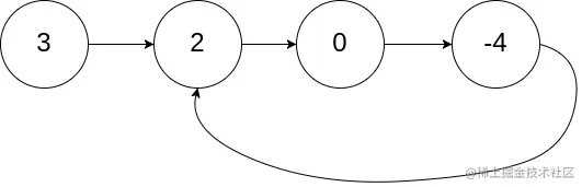
题目4: 142. 环形链表 II

给定一个链表的头节点  head ,返回链表开始入环的第一个节点。 如果链表无环,则返回 null。

如果链表中有某个节点,可以通过连续跟踪 next 指针再次到达,则链表中存在环。 为了表示给定链表中的环,评测系统内部使用整数 pos 来表示链表尾连接到链表中的位置(索引从 0 开始)。如果 pos 是 -1,则在该链表中没有环。注意:pos 不作为参数进行传递,仅仅是为了标识链表的实际情况。

不允许修改 链表。

示例 1:

image.png

输入:head = [3,2,0,-4], pos = 1 输出:返回索引为 1 的链表节点 解释:链表中有一个环,其尾部连接到第二个节点。

思路

虐了,看了半天,觉得还需要消化消化,是否有环这个就是快慢指针来判断,快指针走两步,慢指针走一步,像在操场跑步一样,跑的快的肯定会追上跑的慢的,而且快指针相对于慢指针每次就追击一个点,所以肯定会在某个点相遇,而不会一直错过慢指针。

对于找入口点,看了半天推到,最后看carl的视频才有点感觉,推荐啊,这个讲的还是很详细的。目前觉得还需要消化消化,核心是从头开始和从相遇点开始一样的速度走,它俩相遇的点就是入口点,而这个推导就是数学推导。

假设环外距离是a,环内慢指针走了b步后,两个指针相遇,假设环内剩余距离是c,相遇时,肯定有的一个关系是快指针走的步数是慢指针的2倍, 快指针在环里比慢指针至少多走了1圈,假设多走了n圈。

image.png

2(a + b) = a + b + n(b + c)
a = n(b + c) - b
a = (n-1)(b+c) +c

如果上面的理解了,最后代码写起来就比较简单:

var detectCycle = function(head) {
    if (!head || !head.next) {
        return null;
    }
    let fast = head.next.next;
    let slow = head.next;
    while (fast && fast.next) {
        if (fast === slow) {
            let index1 = fast;
            let index2 = head;
            while (index1 !== index2) {
                index1 = index1.next;
                index2 = index2.next;
            }
            return index1;
        }
        fast = fast.next.next
        slow = slow.next;
    }
    return null;
};

总结

这几天的学习,链表部分应该又多掌握了一些,继续加油,继续进步吧。

题目代码github地址

8.28又写了一遍,发现第一遍写的好像还好一些,链表的题感觉容易出错,操作指针容易操作迷,一些边界的处理,以及虚拟头结点的应用。

什么时候需要用虚拟头节点?

  1. 涉及到插入、删除操作时,例如203移除元素,19删除链表倒数第n个元素,24交换链表的节点(涉及指针的操作)
  2. 其他没有用到虚拟头节点的:206反转链表、链表相交(无删除),环形链表(无删除)

链表.png