跟着笔者来做几个二叉树相关的列题吧!

114 阅读2分钟

对于二叉树,很难,很难!笔者也是感觉很难!虽然能听懂课程,但是,对于大部分的练习题并不能做出来!所以感觉很尴尬!!因此,笔者经过先前的那篇博客,已经开启了大脑奇迹!!现在还热乎着!刚刚的更文!!二叉树讲解blog.csdn.net/weixin_6430…

言归正传,这篇文章,主要在于二叉树的相关列题!!大概也就十来个!但是,基本每个都有代码+思路,还有一些瞎扯白,那就确实不容易了!! 100. 相同的树

给你两棵二叉树的根节点 p 和 q ,编写一个函数来检验这两棵树是否相同。

如果两个树在结构上相同,并且节点具有相同的值,则认为它们是相同的。

示例 1:

cd63f8bcbb0ea661a6ab1335c5a86cf5.jpeg 输入:p = [1,2,3], q = [1,2,3]

输出:true

示例 2:

f3c3f48644f0c819c063cd2c9ccd34df.jpeg 输入:p = [1,2], q = [1,null,2]

输出:false

示例 3:

48262c180b114e27395e857379720fb4.jpeg 输入:p = [1,2,1], q = [1,1,2]

输出:false

提示:

两棵树上的节点数目都在范围 [0, 100] 内

-104 <= Node.val <= 104

根据上述的题目,我们可以得出:

如果根节点相同,则判断左节点是否相同,继而判断右节点是否相同!

那么何为相同呢??对于相同不相同,我们有着一下的感想:

结构(为空,不为空)(1)一个为空,一个不为空,(2)两个都为空,(32个都不为空(不一定,还得看val值)

值(val)

根据上述的思考,我们可以有着下述的简单代码

  //判断两个树是否相同!
    public boolean isSameTree(TreeNode p,TreeNode q){
        if (p==null && q !=null || p !=null && q==null){
            return false;
        }
        //此时,p,q 要不都是空,要不都不是空
        if (p==null && q==null){
            return true;//都为空树,此时也相同
        }
        if (p.val !=q.val){
            return false;
            //都不是空,且值不相同的情况下!
        }
        //此时,p,q都不是空,且根节点一样,那么,继续判断左子树/右子树
        return isSameTree(p.left,q.left) && isSameTree(p.right,q.right);
    }

这个代码,看着很简单,但是,写起来,容易缺少思路!!

感兴趣的可以思考一下时间复杂度与空间复杂度!! 572. 另一棵树的子树

给你两棵二叉树 root 和 subRoot 。检验 root 中是否包含和 subRoot 具有相同结构和节点值的子树。如果存在,返回 true ;否则,返回 false 。

二叉树 tree 的一棵子树包括 tree 的某个节点和这个节点的所有后代节点。tree 也可以看做它自身的一棵子树。

示例 1:

4fbe0b0b1202a2d288ee6b09613e194e.jpeg 输入:root = [3,4,5,1,2], subRoot = [4,1,2]

输出:true

示例 2:

5f1598e11db64e132fb94c95a232f57a.jpeg 输入:root = [3,4,5,1,2,null,null,null,null,0], subRoot = [4,1,2]

输出:false

提示:

root 树上的节点数量范围是 [1, 2000]

subRoot 树上的节点数量范围是 [1, 1000]

-104 <= root.val <= 104

-104 <= subRoot.val <= 104

根据上述题目的案列,我们可以得出思路:是不是相同的树??是不是root的左子树??是不是root的右子树??那么,我们可以有着下述的代码:

   //判断两个树是否相同!
    public boolean isSameTree(TreeNode p,TreeNode q){
        if (p==null && q !=null || p !=null && q==null){
            return false;
        }
        //此时,p,q 要不都是空,要不都不是空
        if (p==null && q==null){
            return true;//都为空树,此时也相同
        }
        if (p.val !=q.val){
            return false;
            //都不是空,且值不相同的情况下!
        }
        //此时,p,q都不是空,且根节点一样,那么,继续判断左子树/右子树
        return isSameTree(p.left,q.left) && isSameTree(p.right,q.right);
    }
 
    //另一颗子树
    public  boolean isSubTree(TreeNode root,TreeNode subRot){
        if (root==null ||subRot==null){
            return false;
        }
        if (isSameTree(root,subRot)){
            return true;
        }
        if (isSameTree(root.left,subRot)){
            return true;
        }
        if (isSameTree(root.right,subRot)){
            return true;
        }
        return false;
    }

该段代码,我们借助是不是相同的树的代码了!!显得我们有点儿投机取巧了!!

感兴趣的读者,可以思考一下时间复杂度与空间复杂度! 226. 翻转二叉树

给你一棵二叉树的根节点 root ,翻转这棵二叉树,并返回其根节点。

示例 1:

c4d94424c94e62c8c8242d46669e42c2.jpeg 输入:root = [4,2,7,1,3,6,9]

输出:[4,7,2,9,6,3,1]

示例 2:

dc9720728ec8cb9116e43c9fe89cd004.jpeg 输入:root = [2,1,3]

输出:[2,3,1]

示例 3:

输入:root = []

输出:[]

提示:

树中节点数目范围在 [0, 100] 内

-100 <= Node.val <= 100

对于实列中的代码,我们可以看出:

4a8e64564b194a9b41f46babd77c6969.png 最后得出:root的左子树和root的右子树实现了交换!!(交换的是左右两个子树,而不是仅仅交换哪个节点)

参考代码:

    public TreeNode invertTree(TreeNode root){
        if (root==null){
            return null;
        }
        TreeNode tmp=root.left;
        root.left=root.right;
        root.right=tmp;
        
        invertTree(root.left);
        invertTree(root.right);
        
        return root;
    }

该段代码,我们借助是不是相同的树的代码了!!显得我们有点儿投机取巧了!!

感兴趣的读者,可以思考一下时间复杂度与空间复杂度! 110. 平衡二叉树

给定一个二叉树,判断它是否是高度平衡的二叉树。

本题中,一棵高度平衡二叉树定义为:

一个二叉树 每个节点 的左右两个子树的高度差的绝对值不超过 1 。 

示例 1:

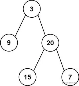
710ded9d6ea90715e3eefba7a1bc4ff9.jpeg 输入:root = [3,9,20,null,null,15,7]

输出:true

示例 2:

cc3a576962259ef0aaa89298e63be372.jpeg 输入:root = [1,2,2,3,3,null,null,4,4]

输出:false

示例 3:

输入:root = []

输出:true

提示:

树中的节点数在范围 [0, 5000] 内

-104 <= Node.val <= 104

对于该题目,我们可以看出:左右高度差不超过1(每个节点都要求高度)

写法1:

    //平衡二叉树
    public boolean isBalanced(TreeNode root){
        if (root==null){
            return true;
        }
        int leftH=maxDepth(root.left);
        int rightH=maxDepth(root.right);
        return Math.abs(leftH-rightH)<2 &&isBalanced(root.left)&&isBalanced(root.right);
    }
 
    //求树的高度
    public int maxDepth(TreeNode root){
        if (root==null){
            return 0;
        }
        
        int leftHeight=maxDepth(root.left);
        int rightHeight=maxDepth(root.right);
        
        return (leftHeight > rightHeight) ? (leftHeight+1) : (rightHeight+1);
    }

对于这个题目,我们会是感觉很难!很难!而且时间复杂度很大很大!在力扣上面直接跑不过!!(超时),该时间复杂度为O(n^2),那么,我们是否可以写一个时间复杂度为O(n)的呢?请看下述的代码:

写法2:在求高度的过程中,判断是不是平衡二叉树

    public boolean isBalanced2(TreeNode root){
        return maxDepth2(root)>0;
    }
    public int maxDepth2(TreeNode root){
        if (root==null){
            return 0;
        }
        
        int leftHeight=maxDepth2(root.left);
        int rightHeight=maxDepth2(root.right);
        
        if (leftHeight>=0 && rightHeight>=0 && Math.abs(leftHeight-rightHeight)<=1){
            return Math.max(leftHeight,rightHeight)+1;//求最大值
        }else {
            return -1;//不平衡,返回一个负数
        }
    }

101. 对称二叉树

给你一个二叉树的根节点 root , 检查它是否轴对称。

示例 1:

3538c3f170e0fa3c21e77e75bdbaeed7.jpeg 输入:root = [1,2,2,3,4,4,3]

输出:true

示例 2:

9725da879b18cc8396c5b57e74d5239d.jpeg 输入:root = [1,2,2,null,3,null,3]

输出:false

提示:

树中节点数目在范围 [1, 1000] 内

-100 <= Node.val <= 100

根据题意,我们可以看出:判断这棵树是不是轴对称的!主要在于判断这棵树的左子树和这棵树的右子树是否对称??

判断方法:

判断左子树的左树和右子树的右树 

判断左子树的右树和右子树的左树

参考代码为:

    //对称二叉树
    public boolean isSymmetric(TreeNode root){
        if (root==null){
            return true;//判断根节点是否为空
        }
        return isSymmetricChild(root.left,root.right);
    }
 
    public boolean isSymmetricChild(TreeNode leftTree,TreeNode rightTree){
        if (leftTree != null && rightTree==null || leftTree==null && rightTree !=null){
            return false;//一个为空,一个不为空
        }
        if (leftTree==null && rightTree==null){
            return true;//两个都为空
        }
        if (leftTree.val != rightTree.val){
            return false;
        }
        //判断左子树的左树和右子树的右树
        //判断左子树的右树和右子树的左树
        return isSymmetricChild(leftTree.left,rightTree.right)&&isSymmetricChild(leftTree.right,rightTree.left);
    }

102. 二叉树的层序遍历

给你二叉树的根节点 root ,返回其节点值的 层序遍历 。 (即逐层地,从左到右访问所有节点)。

示例 1:

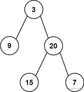
faa3322cd19cf67a7b74dada48838e53.jpeg 输入:root = [3,9,20,null,null,15,7]

输出:[[3],[9,20],[15,7]]

示例 2:

输入:root = [1]

输出:[[1]]

示例 3:

输入:root = []

输出:[]

提示:

树中节点数目在范围 [0, 2000] 

-1000 <= Node.val <= 1000

对于这个题目,我们可以考虑用队列!!队列的先进先出模式,符合一层层遍历的逻辑!!

写法1:

    //二叉树的层序遍历
    public void levelOrder(TreeNode root){
        if (root==null){
            return;
        }
 
        //队列
        Queue<TreeNode> queue=new LinkedList<>();
        queue.offer(root);//先把根节点放在队列里
        while ( !queue.isEmpty()){//当前队列不为空
            TreeNode cur=queue.poll();//弹出(出队列)
            System.out.print(cur.val+" ");
            if (cur.left !=null){
                queue.offer(cur.left);//入队列
            }
            if (cur.right !=null){
                queue.offer(cur.right);
            }
        }
    }

写法2:

   public List<List<Integer>> levelOrder2(TreeNode root){
        List<List<Integer>> list=new ArrayList<>();
        if (root==null){
            return list;
        }
        
        Queue<TreeNode> queue=new LinkedList<>();
        queue.offer(root);
        while ( !queue.isEmpty()){
            int size=queue.size();
            List<Integer> tmp=new ArrayList<>();
            while (size!=0){
                TreeNode cur=queue.poll();
                size--;
                if (cur.left !=null){
                    queue.offer(cur.left);
                }
                if (cur.right !=null){
                    queue.offer(cur.right);
                }
            }
            list.add(tmp);
        }
        return list;
    }

对于写法2 ,其实还是使用了二维数组!!二维数组!!对于这个写法,其实我在之前的杨辉三家中有过具体的描述,若是不懂得各位老铁,可以翻一下笔者之前的博客,或者来咨询一下笔者!! KY11 二叉树遍历

描述

编一个程序,读入用户输入的一串先序遍历字符串,根据此字符串建立一个二叉树(以指针方式存储)。 例如如下的先序遍历字符串: ABC##DE#G##F### 其中“#”表示的是空格,空格字符代表空树。建立起此二叉树以后,再对二叉树进行中序遍历,输出遍历结果。

输入描述:

输入包括1行字符串,长度不超过100。

输出描述:

可能有多组测试数据,对于每组数据, 输出将输入字符串建立二叉树后中序遍历的序列,每个字符后面都有一个空格。 每个输出结果占一行。

示例1

输入:

abc##de#g##f###

复制

输出:

c b e g d f a

根据题目的这个案列,我们可以创建一棵二叉树!

13c0a6a6011aa4faca27ed1d433c231e.png 那么,我们可以有着一下所示的代码:

import java.util.Scanner;
 
public class TreeNode {
    public char val;
    public TreeNode left;
    public TreeNode right;
 
    //构造方法
    public TreeNode(char val) {
        this.val = val;
    }
 
    public static void main(String[] args) {
        Scanner in =new Scanner(System.in);
        while (in.hasNextLine()){
            String str=in.nextLine();
            //定义root接收这个树的节点
            TreeNode root=creatrTree(str);
            inorder(root);//中序遍历
            
        }
    }
    
    public static int i=0;//i不会越界,有递归次数的限制
    
    public static TreeNode creatrTree(String str){
        TreeNode root=null;
        if (str.charAt(i) != '#'){//根左右
            root=new TreeNode(str.charAt(i));
            i++;
            root.left=creatrTree(str);//左数
            root.right=creatrTree(str);//右数
        }else {
            i++;
            
        }
        return root;
    }
    
    //中序遍历
    public static void inorder(TreeNode root){
        if (root==null){
            return;
        }
        inorder(root.left);//左
        System.out.print(root.val+" ");//根
        inorder(root.right);//右
    }
}

236. 二叉树的最近公共祖先

给定一个二叉树, 找到该树中两个指定节点的最近公共祖先。

百度百科中最近公共祖先的定义为:“对于有根树 T 的两个节点 p、q,最近公共祖先表示为一个节点 x,满足 x 是 p、q 的祖先且 x 的深度尽可能大(一个节点也可以是它自己的祖先)。”

示例 1:

a95f5e7fb79ba665041aabf256457d7a.png 输入:root = [3,5,1,6,2,0,8,null,null,7,4], p = 5, q = 1 输出:3 解释:节点 5 和节点 1 的最近公共祖先是节点 3 。

示例 2:

bc9d26749cd5a6afb7f3e57a9de9d84a.png 输入:root = [3,5,1,6,2,0,8,null,null,7,4], p = 5, q = 4 输出:5 解释:节点 5 和节点 4 的最近公共祖先是节点 5 。因为根据定义最近公共祖先节点可以为节点本身。

示例 3:

输入:root = [1,2], p = 1, q = 2

输出:1

提示:

树中节点数目在范围 [2, 105] 内。

-109 <= Node.val <= 109

所有 Node.val 互不相同 。

p != q

pq 均存在于给定的二叉树中。

对于上述的题目,我们可以得出一下思考:

9cc861f7d33af2e5e56518f010e11daa.png 因此:

要么在根的左右两边

要么在根的左边或者右边

要么在根的左边或者右边,其中一个节点是公共祖先

那么,我们可以有着一下 的代码:

    //二叉树的最近公共祖先
    public TreeNode lowestCommonAncestor(TreeNode root,TreeNode p,TreeNode q){
        if (root==null){
            return null;
        }
        //先判断根节点是否为其中一个?
        if (root==p || root==q){
            return root;
        }
        //左边找找?
        TreeNode leftRet=lowestCommonAncestor(root.left,p,q);
        //右边找找?
        TreeNode rightRet=lowestCommonAncestor(root.right,p,q);
        
        if (leftRet!=null && rightRet !=null){
            return root;//左右两边都找到了
        }else if (leftRet!=null){
            return leftRet;//左边找到了
        }else if (rightRet!=null){
            return rightRet;//右边找到了
        }
        return null;
    }

105. 从前序与中序遍历序列构造二叉树

给定两个整数数组 preorder 和 inorder ,其中 preorder 是二叉树的先序遍历, inorder 是同一棵树的中序遍历,请构造二叉树并返回其根节点。

示例 1:

f00562cbb5e50568dd33ca15620f06a5.jpeg 输入: preorder = [3,9,20,15,7], inorder = [9,3,15,20,7]

输出: [3,9,20,null,null,15,7]

示例 2:

输入: preorder = [-1], inorder = [-1]

输出: [-1]

提示:

1 <= preorder.length <= 3000

inorder.length == preorder.length

-3000 <= preorder[i], inorder[i] <= 3000

preorder 和 inorder 均 无重复 元素

inorder 均出现在 preorder

preorder 保证 为二叉树的前序遍历序列

inorder 保证 为二叉树的中序遍历序列

首先,我们需要知道的是:前序遍历的第一个节点是根节点!!中序遍历找到根节点,左侧的是左树,右侧的是右树!!

那么,我们可以有着下述的简单代码:

 //从前序遍历与中序遍历,构造二叉树
public class Solution {
    class TreeNode{
        int val;
        TreeNode left;
        TreeNode right;
        TreeNode(){
 
        }
 
        public TreeNode(int val) {
            this.val = val;
        }
 
        public TreeNode(int val, TreeNode left, TreeNode right) {
            this.val = val;
            this.left = left;
            this.right = right;
        }
    }
 
    int i=0;
 
    public TreeNode buildTree(int[] preorder , int[] inorder){
        return buildTreeChild(preorder,inorder,0,inorder.length-1);
    }
 
    //preorder前序遍历
    //inorder中序遍历
    public TreeNode buildTreeChild(int[] preorder,int[] inorder,int inbegin,int inend){
        if (inbegin > inend){
            return null;//没有子树
        }
 
        TreeNode root =new TreeNode(preorder[i]);
 
        int rootIndex=findIndex(inorder,inbegin,inend,preorder[i]);
        i++;
        root.left=buildTreeChild(preorder,inorder,inbegin,rootIndex-1);
        root.right=buildTreeChild(preorder,inorder,rootIndex+1,inend);
        return root;
    }
 
    private int findIndex(int[] inorder,int inbegin,int inend,int key){
        for (int i = 0; i <= inend; i++) {
            if (inorder[i]==key){
                return i;
            }
        }
        return -1;
    }
}

代码有点儿复杂,大家自求多福!! 106. 从中序与后序遍历序列构造二叉树

给定两个整数数组 inorder 和 postorder ,其中 inorder 是二叉树的中序遍历, postorder 是同一棵树的后序遍历,请你构造并返回这颗 二叉树 。

示例 1:

30ce88170930b9e8e48b648e0a09717d.jpeg 输入:inorder = [9,3,15,20,7], postorder = [9,15,7,20,3]

输出:[3,9,20,null,null,15,7]

示例 2:

输入:inorder = [-1], postorder = [-1]

输出:[-1]

提示:

1 <= inorder.length <= 3000

postorder.length == inorder.length

-3000 <= inorder[i], postorder[i] <= 3000

inorder 和 postorder 都由 不同 的值组成

postorder 中每一个值都在 inorder 中

inorder 保证是树的中序遍历

postorder 保证是树的后序遍历

//从中序与后序遍历序列构造二叉树
public class Test1 {
    class TreeNode{
        int val;
        Solution.TreeNode left;
        Solution.TreeNode right;
        TreeNode(){
 
        }
 
        public TreeNode(int val) {
            this.val = val;
        }
 
        public TreeNode(int val, Solution.TreeNode left, Solution.TreeNode right) {
            this.val = val;
            this.left = left;
            this.right = right;
        }
    }
 
    int i=0;
    public TreeNode buildTree(int[] inorder,int[] postorder){
        int i=postorder.length-1;
        return buildTreeChild2(postorder,inorder,0,inorder.length-1);
    }
 
    public TreeNode buildTreeChild2(int[] postorder,int[] inorder,int inbegin,int inend){
        if (inbegin>inend){
            return null;
        }
        TreeNode root=new TreeNode(postorder[i]);
        //找到当前根在中序遍历的位置
        int rootIndex=findIndex(inorder,inbegin,inend,postorder[i]);
        i--;
        root.right=buildTreeChild2(postorder,inorder,rootIndex+1,inend);
        root.left=buildTreeChild2(postorder,inorder,inbegin,rootIndex-1);
        return root;
    }
 
    private int findIndex(int[] inorder,int inbegin,int inend,int key){
        for (int i = 0; i <= inend; i++) {
            if (inorder[i]==key){
                return i;
            }
        }
        return -1;
    }
}

606. 根据二叉树创建字符串

给你二叉树的根节点 root ,请你采用前序遍历的方式,将二叉树转化为一个由括号和整数组成的字符串,返回构造出的字符串。

空节点使用一对空括号对 "()" 表示,转化后需要省略所有不影响字符串与原始二叉树之间的一对一映射关系的空括号对。

示例 1:

d34c8d3f9b1727d3f6debbe5b4cbadd5.jpeg 输入:root = [1,2,3,4]

输出:"1(2(4))(3)"

解释:初步转化后得到 "1(2(4)())(3()())" ,但省略所有不必要的空括号对后,字符串应该是"1(2(4))(3)" 。

示例 2:

f5a4da45abd5b98c51fe105f0aceadef.jpeg 输入:root = [1,2,3,null,4]

输出:"1(2()(4))(3)"

解释:和第一个示例类似,但是无法省略第一个空括号对,否则会破坏输入与输出一一映射的关系。

提示:

树中节点的数目范围是 [1, 104]

-1000 <= Node.val <= 1000

对于该题目,我们可以:

左边为空,右边也为空

左边不为空,右边为空

左边为空,右边不为空

那么,请看笔者的代码:

  //根据二叉树创建字符串
    public String tree2Str(TreeNode root){
        if (root==null){
            return null;
        }
        //为拼接做准备
        StringBuilder stringBuilder =new StringBuilder();
 
        tree2StrChild(root,stringBuilder);
 
        return stringBuilder.toString();//类型转化
    }
    //拼接不能用+进行拼接
    public void tree2StrChild(TreeNode t,StringBuilder stringBulider){
        if (t==null){
            return;
        }
        stringBulider.append(t.val);//拼接根
        if (t.left!=null){//左边不为空,加“(”,再递归这颗左树
            stringBulider.append("(");
            tree2StrChild(t.left,stringBulider);
            stringBulider.append(")");
            //当t.left走完了,回去的时候,加")"
        }else {
            //左边空了
            if (t.right!=null){
                stringBulider.append("()");
            }else {
                //右边为空
                return;
                //左边为空,右边也为空
            }
        }
        if (t.right==null){//右边为空
            return;
        }else {//右边不为空
            stringBulider.append("(");
            tree2StrChild(t.right,stringBulider);//递归右数
            stringBulider.append(")");
        }
    }

判断一棵树是不是完全二叉树

完全二叉树:一颗深读为K的有n个节点的二叉树,对树中的节点按从上到下,从左到右的顺序进行编写,如果编号为i(1<=i<=n)的节点,与满二叉树中编号为i的节点在二叉树中的位置相同,那么,这颗二叉树称为完全二叉树!!

//判断一棵树是不是完全二叉树
    boolean isCompleteTree(TreeNode root){
        if (root==null){
            return true;
        }
        //借助队列(类似于层序遍历去做
        Queue<TreeNode> queue=new LinkedList<>();
        queue.offer(root);
        while (!queue.isEmpty()){//队列不为空
            TreeNode cur=queue.poll();//出栈
            if (cur!=null){
                queue.offer(cur.left);//入栈
                queue.offer(cur.right);
            }else {
                break;//遇到了null,跳出该循环
            }
        }
        while (!queue.isEmpty()){
            TreeNode tmp=queue.poll();
            if (tmp!=null){
                return false;
            }
        }
        return true;
    }

二叉树的相关列题,便就这么多吧!!但是,当你全部理解的时候,二叉树的知识,已经难不倒你了!!!