基于smo算法的数据分类matlab仿真,对比线性分类和非线性分类

99 阅读2分钟

1.算法仿真效果

matlab2022a仿真结果如下:

7912b1876de27a1b4630e81570f80342_watermark,size_14,text_QDUxQ1RP5Y2a5a6i,color_FFFFFF,t_100,g_se,x_10,y_10,shadow_20,type_ZmFuZ3poZW5naGVpdGk=.png

cd85cb45b13058680061253b0317ea59_watermark,size_14,text_QDUxQ1RP5Y2a5a6i,color_FFFFFF,t_100,g_se,x_10,y_10,shadow_20,type_ZmFuZ3poZW5naGVpdGk=.png

2.算法涉及理论知识概要

         SVM通常用对偶问题来求解,这样的好处有两个:1、变量只有N个(N为训练集中的样本个数),原始问题中的变量数量与样本点的特征个数相同,当样本特征非常多时,求解难度较大。2、可以方便地引入核函数,求解非线性SVM。求解对偶问题,常用的算法是SMO,彻底地理解这个算法对初学者有一定难度,本文尝试模拟算法作者发明该算法的思考过程,让大家轻轻松松理解SMO算法。文中的“我”拟指发明算法的大神。

 

        序列最小优化算法(Sequential minimal optimization, SMO)是一种用于解决支持向量机训练过程中所产生优化问题的算法。SMO由微软研究院的约翰·普莱特于1998年发明,被广泛使用于SVM的训练过程中,并在通行的SVM库LIBSVM中得到实现。1998年,SMO算法发表在SVM研究领域内引起了轰动,因为先前可用的SVM训练方法必须使用复杂的方法,并需要昂贵的第三方二次规划工具。而SMO算法较好地避免了这一问题 。

 

        SMO算法由Microsoft Research的John C. Platt在1998年提出,并成为最快的二次规划优化算法,特别针对线性SVM和数据稀疏时性能更优。关于SMO最好的资料就是他本人写的《Sequential Minimal Optimization A Fast Algorithm for Training Support Vector Machines》了。

 

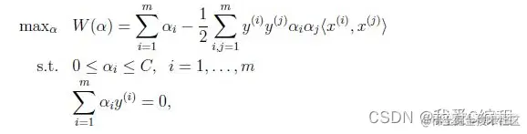
      对偶函数最后的优化问题:

 

804e1bcfa20c097ad4fd6feecdbc5dd4_watermark,size_14,text_QDUxQ1RP5Y2a5a6i,color_FFFFFF,t_100,g_se,x_10,y_10,shadow_20,type_ZmFuZ3poZW5naGVpdGk=.png

 

        要解决的是在参数上求最大值W的问题,至于和都是已知数。C由我们预先设定,也是已知数。按照坐标上升的思路,我们首先固定除以外的所有参数,然后在上求极值。等一下,这个思路有问题,因为如果固定以外的所有参数,那么将不再是变量(可以由其他值推出),因为问题中规定了。

 

5c2ff7ae55b283498108690872e439fa_watermark,size_14,text_QDUxQ1RP5Y2a5a6i,color_FFFFFF,t_100,g_se,x_10,y_10,shadow_20,type_ZmFuZ3poZW5naGVpdGk=.png

 

3.MATLAB核心程序 `function alpha = smo(X,y,C,kernel_type,max_iter,epsilon,tolerate)

if (nargin<4)

    kernel_type = 'linear';

end

if (nargin<5)

    max_iter = 20;

end

if (nargin<6)

    epsilon = 1e-3;

end

if (nargin<7)

    tolerate = 1e-5;

end

 

N = size(y,1);

iter_counts = 0;

alpha_change = 100; % a large number

alpha = C*rand(N,1);

 

while (iter_counts < max_iter && alpha_change>epsilon)

   iter_counts  = iter_counts +  1;

   i = choose_work_set(X,y,alpha,C,kernel_type);

   alpha_prev = alpha; % use in check convergence

   for j=1:size(alpha,1) % second index

       if j==i

           continue

       end

       xi = X(i,:);

       xj = X(j,:);

       yi = y(i);

       yj = y(j);

       

       kappa = K(xi,xi,kernel_type) + K(xj,xj,kernel_type) - 2*K(xi,xj,kernel_type);

       if kappa == 0

           continue

       end

       

       [U,V] = compute_UV(C,alpha(i),alpha(j),yi,yj);

       

       idx = find(alpha>0 & alpha<C);

       if isempty(idx)

           idx = 1;

       else

           idx = idx(1);

       end

       

       b = y(idx) - sum(alpha.*y.*K(X,X(idx,:),kernel_type));

       

       Ei = sum(alpha.*y.*K(X,xi,kernel_type)) + b - yi;

       Ej = sum(alpha.*y.*K(X,xj,kernel_type)) + b - yj;

      

       alpha_j_unc = alpha(j) + (yj*(Ei - Ej))/kappa;

       

       % Fix

       if alpha_j_unc > V

           alpha_j_new = V;

       elseif alpha_j_unc < U

           alpha_j_new = U;

       else

           alpha_j_new = alpha_j_unc;

       end

       

       alpha_i_new = alpha(i) + yiyj(alpha(j) - alpha_j_new);    

       

       alpha(i) = alpha_i_new;

       alpha(j) = alpha_j_new;

   end

% Check convergence

alpha_change = norm(alpha - alpha_prev);

end

end`