「蝙蝠」无人机听音辨位,廉价麦克风和蜂鸣器就可搞定

74 阅读4分钟

詹士 发自 凹非寺
量子位 | 公众号 QbitAI

像蝙蝠一样的无人机,你见过么?

现在,它已被实现出来了。

长这样:

等等……这跟蝙蝠有什么关系?

事实上,该无人机原理来自蝙蝠,即:在黑暗中靠回声定位进行飞行。

据研究者介绍,他们只靠廉价音频设备,实现无人机的实时定位与地图构建。

因其体积小,所用材料廉价,在陌生环境探索、搜索救援迷路者等领域,有广泛应用。

目前,该成果刚被IEEE Robotics and Automation Letters收录。

Reddit上,相关帖子点赞破千。

有网友调侃道——这项目肯定是蝙蝠侠本人布鲁斯韦恩投的。

也有网友担忧——

此类低成本、易实现的产品也可用来追捕人类,造成更多伤害。

它到底如何实现的?

继续往下看。

实现无人机“听音辨位”

在过去,传统无人机执行障碍物检测、定位和地图构建等任务中,所使用的往往是摄像头、激光雷达等传感器——

但是,这些设备对于更小体积的无人机来说,根本带不动。

此番,研究团队参考了蝙蝠发出超声波并根据回声定位的方式,依靠声音的发射与接收,实现对空间的感知。

更直白地说,让无人机“喊出来”,再根据“回声”来辨别周边环境状况。

数据处理方面,鉴于目前主动回声定位算法并不发达,团队依靠一套基于干涉回声定位算法的端到端的pipeline。

其中包含了一个实时定位与地图构建框架,并集成了粒子滤波和因子图推断。

具体如下图。

不同颜色描绘两个麦克风在不同位置接收的声波,这些信号通过校准、周期估计、粒子滤波得到因子图,再进行相应方位和角度的估计。

为实现上述思路,研究团队将四个麦克风和蜂鸣器安装在一种易于开发的小型无人机Crazyflie上面。

通过无人机收集数据,然后,靠蓝牙传输到地面端设备,再进行相应的处理。如此一来,分析过程可小于75ms。

该过程如下图:

到了实验环节,研究者先让无人机逐渐靠近墙壁,该过程保持高度不变,获得各距离下,声波干涉情况,并将之与理论估计值对比。

结果显示两者较为贴合。

而后,他们对性能(精度)进行了测量。

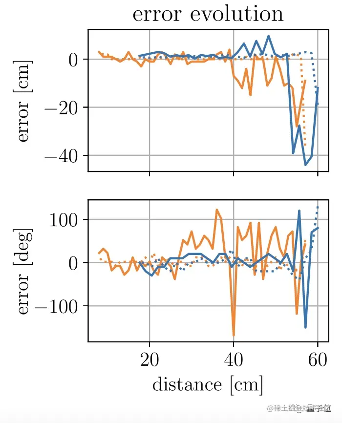
结果发现——当无人机距离墙面40cm以内,其测量值可靠,其最大误差在2cm以下。

当距离进一步缩小到30cm,角度估计数值也变得更可靠,最大误差小于20度。

更进一步,研究团队将麦克风数量改变,测试其表现。

结果发现,随着麦克风数量变少,无人机侦测性能在下降,但有意思的是,即便只有一个麦克风(下方深色线),其性能表现依然较为满意。

至于无人机在运动过程中,识别障碍精度如何?

研究团队也进行了实验。

如下方左图,即便在运动过程中,无人机距墙体8厘米时,也能表现出不错精度。

不过在角度测定上表现平平(下方右图),团队认为,他们的算法在角度估计方面对噪声更为敏感。

尽管目前,该方案只能在半米远地方,进行2cm精度的侦测,对比成熟方案仍有差距,但从落地角度看,其成本低、重量轻,体积小特点意味着,该成果在很多场景仍是可靠的替代方案。

科研团队表示,接下来,他们还将提高其准确性,并看看能否消除系统生成声音的需要,不用“喊出声”。

研究团队

最后,介绍上述科研成果的贡献者们。

一作Frederike Dümbgen,她是一位机器人领域研究者,专注于信号处理与优化方向。

Frederike Dümbgen博士毕业于洛桑联邦理工学院计算机与通信科学学院,目前是多伦多大学自主空间机器人实验室 (ASRL) 的博士后。

二作Adrien Hoffet,来自洛桑联邦理工学院计算机与通信科学学院。

参考链接:
[1]www.engadget.com/echolocatio…
[2]www.reddit.com/r/gadgets/c…
[3]arxiv.org/abs/2301.08…

—完—

@量子位 · 追踪AI技术和产品新动态

深有感触的朋友,欢迎赞同、关注、分享三连վ'ᴗ' ի