二叉树讲解

167 阅读3分钟

对于二叉树,是真正的很难!很难,不是一般的难度!!

笔者学习完二叉树,笔记记录了得有三十多页,但是,还是很不理解(做题不怎么会)

下面进入二叉树的基础部分: 二叉树概念!!

一颗二叉树是节点的一个有限集合:该集合

1.或者为空

2.或者是由一个根节点加上两颗别称为左子树和右子树的二叉树组成

32818c7c7278d39739ca6a452b6432cc.png 经过上述,我们可以得出:

二叉树不存在度大于2的节点(对于度是什么,不理解的读者,可以参考笔者的之前的文章:https://blog.csdn.net/weixin_64308540/article/details/129045341

二叉树的子树有左右之分,次序不能颠倒,因此二叉树是有序树(左右顺序)

经过二叉树的上述内容的讲解,我们可以得出:对于任意类型的二叉树,都是由一下的几种情况复合而成的!

b928c4afddfd52e62dabce4994863575.png 经过上述的内容,我们便可以根据自己的想法,设计任意类型的二叉树了!!

下面我们来进行讲解一下两种特殊的二叉树:

满二叉树: 一棵二叉树,如果每层的结点数都达到最大值,则这棵二叉树就是满二叉树。也就是说,如果一棵二叉树的层数为K,且结点总数是 ,则它就是满二叉树。

a521e79383c0c020c4a1e98370caf5e8.png 对于这个满二叉树,我们可以根据层数,每层的个数,最后得出节点的个数(考试可能会考)

bd5f50727002a90541cb150e5f7ae764.png 完全二叉树: 完全二叉树是效率很高的数据结构,完全二叉树是由满二叉树而引出来的。对于深度为K的,有n个结点的二叉树,当且仅当其每一个结点都与深度为K的满二叉树中编号从0至n-1的结点一一对应时称之为完全二叉树。 要注意的是满二叉树是一种特殊的完全二叉树。

3526adecccfec37e2d27ad62a78ea3ec.png 在这里,我们需要注意的是:满二叉树是一种特殊的完全二叉树 二叉树的性质!!

1.若规定根结点的层数为1,则一棵非空二叉树的第i层上最多有 (i>0)个结点

2.若规定只有根结点的二叉树的深度为1,则深度为K的二叉树的最大结点数是 (k>=0)

3.具有n个结点的完全二叉树的深度k为 上取整

4.对于具有n个结点的完全二叉树,如果按照从上至下从左至右的顺序对所有节点从0开始编号,则对于序号为i 的结点有: 1.若i>0,双亲序号:(i-1)/2i=0i为根结点编号,无双亲结点 2.若2i+1<n,左孩子序号:2i+1,否则无左孩子 3.若2i+2<n,右孩子序号:2i+2,否则无右孩子 

5.对任何一棵二叉树, 如果其叶结点个数为 n0, 度为2的非叶结点个数为 n2,则有n0=n2+1

对于第5点,笔者在后续的代码/选择题/解答题当中,经常使用!所以,我们需要知道它的推理由来!!(笔者由一颗完全二叉树为列,来进行讲解)

300a6eccd02ec67e7f87ceb84ceaf607.png 根据上述的二叉树的性质,来做几个简单的练习题吧!!

  1. 某二叉树共有 399 个结点,其中有 199 个度为 2 的结点,则该二叉树中的叶子结点数为( 200) 提示:叶子节点为:度为0的节点(不知道度是什么的,可以参考:blog.csdn.net/weixin_6430…

2.在具有 2n 个结点的完全二叉树中,叶子结点个数为( n)

提示:2n是个偶数!!

3acc6160a5561c8daafe015e61f4fc66.png 思考一下:当奇数节点的时候,又会是怎么个结果??思路跟刚才的一样!感兴趣的可以自己思考一下!

  1. 一个具有767个节点的完全二叉树,其叶子节点个数为(384) 首先我们需要根据767(奇数),完全二叉树来进行思考!

a15dec4aaae4b565d36c1cb08e9b5f29.png 一棵完全二叉树的节点数为531个,那么这棵树的高度为( 10)

这个便不再解析了,大家自行解决!答案已经给出 二叉树的存储

二叉树的存储结构分为:顺序存储和类似于链表的链式存储。 二叉树的链式存储是通过一个一个的节点引用起来的,常见的表示方式有二叉和三叉表示方式,

表示方式:

1.孩子表示法(比较常见)

class Node{
    int val;//数据域
    Node left;//左孩子的引用,常常代表左孩子为根的整根左子树
    Node right;//右孩子的引用,常常代表右孩子为根的整根右子树
}

2.孩子双亲表示法(后续平衡树时候,会用到)

  class Node{
    int val;//数据域
    Node left;//左孩子的引用,常常代表左孩子为根的整根左子树
    Node right;//右孩子的引用,常常代表右孩子为根的整根右子树
    Node parent;//当前节点的根节点
}

学习了这么多!!有没有兴趣跟着笔者来手动创建一颗二叉树呢??(不容拒绝哟!)

手动创建一颗二叉树吧!!
  public class TestBinaryTree {
    static class TreeNode{
        public char val;//数据域
        public TreeNode left;//左孩子的引用
        public TreeNode right;//右孩子的引用
 
        public TreeNode(char val) {
            this.val = val;
        }
    }
    
    public TreeNode createTree(){
        TreeNode A=new TreeNode('A');
        TreeNode B=new TreeNode('B');
        TreeNode C=new TreeNode('C');
        TreeNode D=new TreeNode('D');
        TreeNode E=new TreeNode('E');
        TreeNode F=new TreeNode('F');
        TreeNode G=new TreeNode('G');
        TreeNode H=new TreeNode('H');
 
        A.left=B;
        A.right=C;
        B.left=D;
        B.right=E;
        C.left=F;
        C.right=G;
        E.right=H;
        
        return A;//A是跟节点
    }
 
    public static void main(String[] args) {
        TestBinaryTree testBinaryTree=new TestBinaryTree();
        TestBinaryTree.TreeNode root=testBinaryTree.createTree();
        System.out.println("成功的创建出来了一个二叉树!");
    }
}

根据上述的代码,我们在刚刚实列化节点的时候:

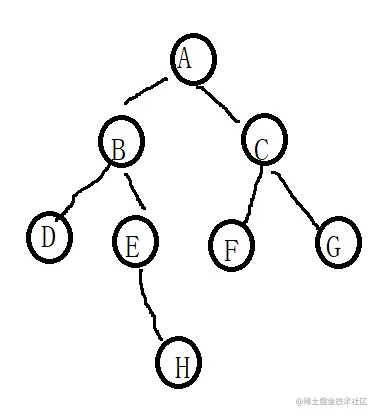
ee3f295ee6a3a3130cc8b0ca94c5194d.png 在最后,我们所创建的二叉树模型为:

7d5268c570496d3ae10c810d4f75b71d.png 在这个代码中:当出了createTree方法之后,所创建的A,B,C,D,E,F,G,H,都会被回收掉了,但是创建好的A节点已经被return ,其所对应的关系不会被回收!! 二叉树的遍历

其实二叉树的遍历方式有前序遍历,中序遍历,后序遍历,还有层序遍历!!这些要求我们都得掌握!!加油!

从二叉树的递归定义可知:一颗非空的二叉树,由根节点及其左子树,右子树这三个部分组成的,因此,在任一给定节点上,可以按照某种次序执行三个操作:

1.访问节点本身(N)

2.遍历该节点的左子树(L)

3.遍历该节点的右子树(R)

67d548cacd0dc659605a1bb53666298d.png 根据以上的思考,对于上述三种操作,我们可以有:NLR,LNR,LRN;NRL,RNL,RLN这六种操作,但是,需要注意的是:前面三种次序与后面三种次序相对称,故,我们只考虑前面的三种就可以了!! 遍历命名

根据访问节点操作发生的位置来命名!!

NLR:前序遍历!访问根节点的操作发生在遍历其左右子树之前(根左右)

LNR:中序遍历!访问根节点的操作发生在遍历其左右子树之间(左根右)

LRN:后序遍历!访问根节点的操作发生在遍历其左右子树之后(左右根)

对于前序遍历,中序遍历,后序遍历,的深层操作:

前序遍历(根左右):若二叉树非空,则依次执行如下操作:1。访问根节点,2。遍历左子树,3.遍历右子树

中序遍历(左根右):若二叉树非空,则依次执行如下操作:1。遍历左子树,2。访问根节点,3.遍历右子树

后序遍历(左右根):若二叉树非空,则依次执行如下操作:1。遍历左子树,2。遍历右子树,3.访问根节点

层序遍历!!

所谓的层序遍历就是从所在二叉树的根节点出发,首先访问第1层的树根节点,然后从左到右访问第2层的节点,接着是第3层的节点,以此类推,自上而下,自左到右,逐层访问树的节点的过程,就是层序遍历! 根据前序遍历,中序遍历,后序遍历,层序遍历,来做几个小题吧!!

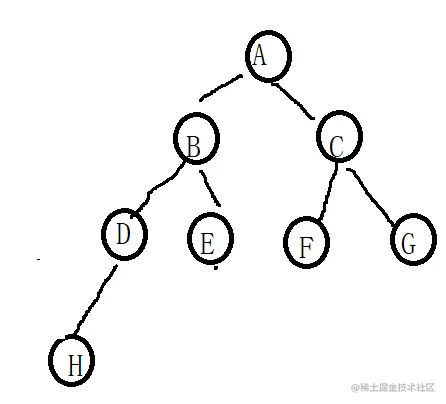
写出该二叉树的前序,中序,后序的遍历结果:

813caeba11e41dcad5f584ea78a60467.png 前序遍历:ABDEHCFG;

中序遍历:  DBEHAFCG;

后序遍历:  DHEBFGCA;

层序遍历:   ABCDEFGH;

1.某完全二叉树按层次输出(同一层从左到右)的序列为 ABCDEFGH 。该完全二叉树的前序序列为(ABDFECFG) 根据层序遍历写出原始的二叉树即可!

542e8cc5db6fb091d171f79821e53fa0.png 二叉树的前序遍历和中序遍历如下:先序遍历:EFHIGJK;中序遍历:HFIEJKG.则二叉树根结点为(E)

前序遍历的第一个节点就是根节点!!

中序遍历找到根的位置,左边就是左子树,右边就是右子树!!然后我们根据题意可以画出该二叉树!

acc731d83752f9e03e883e1105b1841c.png 3.设一课二叉树的中序遍历序列:badce,后序遍历序列:bdeca,则二叉树前序遍历序列为(abcde)

根据题意,我们可以得出,二叉树为:

701f6841d3695ed6d0445ee9fd489f01.png 4.某二叉树的后序遍历序列与中序遍历序列相同,均为 ABCDEF ,则按层次输出(同一层从左到右)的序列为(FEDCBA)

根据题意,我们可以得出,二叉树为:

12ec07173cc8106ae37cf3cf4e6cdb1b.png 经过了上述题目的洗涤,想必此时的你,已经对二叉树的前序遍历,中序遍历,后序遍历,层序遍历已经有着自己的思路了吧!!那么,接下来,我们便可以进入代码环节了!! 递归(前中后遍历) 前序遍历(根左右)递归

   //二叉树的前序遍历(递归)
    public void preOrder(TreeNode root){
        if (root==null){
            return;
        }
        System.out.print(root.val+" ");//根
        preOrder(root.left);//左
        preOrder(root.right);//右
    }
中序遍历(左根右)递归
  //二叉树的中序遍历(递归)
    public void inOrder(TreeNode root){
        if (root==null){
            return;
        }
        preOrder(root.left);//左
        System.out.print(root.val+" ");//根
        preOrder(root.right);//右
    }
后序遍历(左右根)递归
  //二叉树的后序遍历(递归)
    public void postOrder(TreeNode root){
        if (root==null){
            return;
        }
        preOrder(root.left);//左
        preOrder(root.right);//右
        System.out.print(root.val+" ");//根
    }

二叉树的基本操作

对于二叉树的基本操作有很多!希望尽可能多的去全面理解,消耗!

    // 获取树中节点的个数
    int size(Node root);
    // 获取叶子节点的个数
    int getLeafNodeCount(Node root);
    // 子问题思路-求叶子结点个数
    
   // 获取第K层节点的个数
    int getKLevelNodeCount(Node root,int k);
    // 获取二叉树的高度
    int getHeight(Node root);
    // 检测值为value的元素是否存在
    Node find(Node root, int val);
    //层序遍历
    void levelOrder(Node root);
    // 判断一棵树是不是完全二叉树
    boolean isCompleteTree(Node root);

下面便带领大家走进二叉树的基本操作环节!!更加深读!!

  1. 获取树中节点的个数(左节点+右节点+根节点)

方法1:

   //获取树中节点的个数(左节点+右节点+根节点)
    public int size(TreeNode root){
        if (root==null){
            return 0;
        }
        int leftSize=size(root.left);
        int rightSize=size(root.right);
        return leftSize+rightSize+1;
    }

方法2:

    public  int nodeSize;//成员变量
 
    public void size2(TreeNode root){
        if (root==null){
            return;
        }
        nodeSize++;//每遇到一个节点就++
        size2(root.left);
        size2(root.right);
    }
  1. 获取叶子节点的个数(子思路问题)

方法1:

  //获取叶子节点的个数(子思路问题)
    int getLeafNodeCount(TreeNode root){
        if (root==null){
            return 0;
        }
        if (root.left==null && root.right==null){
            return 1;
        }
        int leftSize=getLeafNodeCount(root.left);
        int rightSize=getLeafNodeCount(root.right);
        return leftSize+rightSize;
    }

方法2:

   public int leafSize;
    void getLeafNodeCount2(TreeNode root){
        if (root==null){
            return;
        }
        if (root.left==null && root.right==null){
            leafSize++;
        }
        getLeafNodeCount2(root.left);
        getLeafNodeCount2(root.right);
    }

3.获取第K层节点的个数

   //获取第K层节点的个数
    int getKLevelNodeCount(TreeNode root,int k){
        if (root==null){
            return 0;
        }
        if (k==1){
            return 1;
        }
        int leftSize=getKLevelNodeCount(root.left,k-1);
        int rightSize=getKLevelNodeCount(root.right,k-1);
        return leftSize+rightSize;
    }
  1. 获取二叉树的高度

方法1:

   //获取二叉树的高度
    public int getHeight(TreeNode root){
        if (root == null) {
                return 0;
            }
        return (getHeight(root.left)>(getHeight(root.right))?(getHeight(root.left)+1 ): (getHeight(root.right)+1));
    }

方法2:

  public int getHeight2(TreeNode root){
        int leftHeight=getHeight2(root.left);//左数的高度
        int rightHeight=getHeight2(root.right);//右数的高度
        return (leftHeight>rightHeight)?(leftHeight+1):(rightHeight+1);
    }

5.检测值为value的元素是否在二叉树中

  //检测值为value的元素是否在二叉树中
    TreeNode find(TreeNode root,int val){
        if (root==null){
            return null;
        }
        if (root.val==val){
            return root;
        }
        //左子树找到
        TreeNode leftTree=find(root.left,val);
        if (leftTree!=null){
            return leftTree;
        }
        //右子树找到
        TreeNode rightTree=find(root.right,val);
        if (rightTree!=null){
            return rightTree;
        }
        //都没有找到
        return null;
    }

上述的二叉树的基本操作,笔者没有实现完成,主要原因还是在于:剩下没有写的那些操作,基本都是题目了!!所以,我们可以通过系统的练习,来加深印象!!

感兴趣的可以看一下笔者的后续二叉树文章!!