leetcode1026 每日一题 2023-4-18

74 阅读1分钟

1026. 节点与其祖先之间的最大差值

力扣题目链接

给定二叉树的根节点 root,找出存在于 不同 节点 A 和 B 之间的最大值 V,其中 V = |A.val - B.val|,且 A 是 B 的祖先。

(如果 A 的任何子节点之一为 B,或者 A 的任何子节点是 B 的祖先,那么我们认为 A 是 B 的祖先)

示例1:

image.png

输入:root = [8,3,10,1,6,null,14,null,null,4,7,13]
输出:7
解释: 
我们有大量的节点与其祖先的差值,其中一些如下:
|8 - 3| = 5
|3 - 7| = 4
|8 - 1| = 7
|10 - 13| = 3
在所有可能的差值中,最大值 7 由 |8 - 1| = 7 得出。

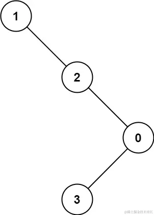
示例2:

image.png

输入:root = [1,null,2,null,0,3]
输出:3

提示:

  • 树中的节点数在 25000 之间。
  • 0 <= Node.val <= 10<sup>5</sup>

思路:

/**
 * Definition for a binary tree node.
 * function TreeNode(val, left, right) {
 *     this.val = (val===undefined ? 0 : val)
 *     this.left = (left===undefined ? null : left)
 *     this.right = (right===undefined ? null : right)
 * }
 */
/**
 * @param {TreeNode} root
 * @return {number}
 */
var maxAncestorDiff = function(root) {
    let diff = 0
    const diffData = (node,min,max) =>{
        if(!node) return 0
        diff = Math.max(Math.abs(node.val-min),Math.abs(node.val-max))
        min = Math.min(min,node.val)
        max = Math.max(max,node.val)
        diff = Math.max(diff,diffData(node.left,min,max)) 
        diff = Math.max(diff,diffData(node.right,min,max)) 
        return diff
    }
  
    return diffData(root,root.val,root.val)
};

总结:

复杂度

  • 时间复杂度:O(n),其中n 是二叉树的节点数目。遍历二叉树的所有节点需要O(n)。
  • 空间复杂度:O(n)。最坏情况下,二叉树退化为链表,递归栈的空间为O(n)。

更多详情看这里!