力扣——1026. 节点与其祖先之间的最大差值

90 阅读1分钟

力扣——1026. 节点与其祖先之间的最大差值

1026. 节点与其祖先之间的最大差值

给定二叉树的根节点 root,找出存在于 不同 节点 AB 之间的最大值 V,其中 V = |A.val - B.val|,且 AB 的祖先。

(如果 A 的任何子节点之一为 B,或者 A 的任何子节点是 B 的祖先,那么我们认为 A 是 B 的祖先)

示例 1:

img

输入:root = [8,3,10,1,6,null,14,null,null,4,7,13]
输出:7
解释: 
我们有大量的节点与其祖先的差值,其中一些如下:
|8 - 3| = 5
|3 - 7| = 4
|8 - 1| = 7
|10 - 13| = 3
在所有可能的差值中,最大值 7 由 |8 - 1| = 7 得出。

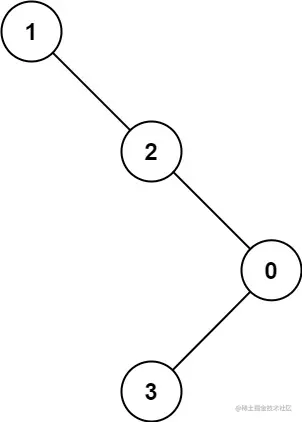
示例 2:

img

输入:root = [1,null,2,null,0,3]
输出:3

提示:

  • 树中的节点数在 25000 之间。
  • 0 <= Node.val <= 105

问题解析

题目也许有些难懂,在这里理清一下。其实就是让你在各个子树内,找他们的最大最小值,然后计算他们的差值。

最后统计所有子树,求最大的差值是多少。

那我们就可以用深度遍历一遍,跑所有的子树,同时维护两个变量:mx和mn,一个维护当前子树内的最大值,一个维护当前子树内的最小值。每到一个节点,先用该节点的值减去mn和减去mx,取较大的差值,然后用该节点的值更新mx和mn。

每个节点的dfs结束后,把计算的最大差值返回。

不过要注意的是,mx和mn不能用引用的方式传递,不然维护的就不是子树,而是整颗树的最大最小值了。

AC代码

/**
 * Definition for a binary tree node.
 * struct TreeNode {
 *     int val;
 *     TreeNode *left;
 *     TreeNode *right;
 *     TreeNode() : val(0), left(nullptr), right(nullptr) {}
 *     TreeNode(int x) : val(x), left(nullptr), right(nullptr) {}
 *     TreeNode(int x, TreeNode *left, TreeNode *right) : val(x), left(left), right(right) {}
 * };
 */
class Solution {
public:
    int dfs(TreeNode*root,int mn,int mx)
    {
        if(!root)return 0;
        int sub=max(abs(mn-root->val),abs(mx-root->val));
        mx=max(mx,root->val);
        mn=min(mn,root->val);
        sub=max(sub,dfs(root->left,mn,mx));
        sub=max(sub,dfs(root->right,mn,mx));
        return sub;
    }
    int maxAncestorDiff(TreeNode* root) {
        
        return dfs(root,root->val,root->val);
    }
};