含有轮毂电机的1/4车辆垂向振动模型

280 阅读2分钟

1 含有轮毂电机的1/4车辆垂向振动模型****

轮毂电机的引入增大了非簧载质量,根据这一特性,经过简化的含有轮毂电机的1/4车辆垂向振动模型如图3-1所示。

image.png

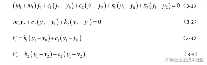
由图中的车辆振动模型,可得到车辆垂向振动的动力学微分方程:

image.png

上式中,为非簧载质量(轮毂电机质量除外);为簧载质量;为轮毂电机质量;为轮胎刚度和阻尼;为车辆悬架刚度和阻尼;分别为路面不平度、车轮和车身的位移;为车轮动载荷;簧载质量的振动输入。上述车辆垂向振动模型参数初步选取的具体数值见表3-1。

表 车辆垂向振动模型参数

车辆参数初值
非簧载质量m1(kg)25
簧载质量m2(kg)200
轮毂电机质量m3(kg)20
轮胎刚度k1(N/m)190000
轮胎阻尼c1(N/(m/s))400
悬架刚度k2(N/m)18000
悬架阻尼c2(N/(m/s))1600

 

2 仿真分析****

Simulink模型如下

image.png

MATLAB代码如下

第一部分****

`clc

clear all

close all

time=0:1/256:L/v;

n=length(time);

for i=1:n

    y0_ver(i)=interp1(t',qt(:,1),time(i),'linear');

end

 

y0=[time' y0_ver'];

plot(t,qt(:,1)*1000),grid on %画图

title('B级路面不平度随时间变化')

xlabel('时间t/s') ; ylabel('路面不平度q/mm') ; `  

`%% ---------基本参数------

m1=25;%非簧载质量

m2=200;%簧载质量

m3=20;%轮毂电机质量

k1=19e4;%轮胎刚度

c1=4e2;%轮胎阻尼

k2=18e3;%悬架刚度

c2=16e2;%悬架阻尼

 

%% ---------模型计算-------

t_start=time(1);

t_end=time(end);

tstep =1/256;

my_options=simset('FixedStep',tstep,'Solver','ode5');

sim('quatre_car_model.slx',[t_start t_end],my_options);

num=length(time);

acc_y2=yout(:,1);

Fn=yout(:,2);

Ft=yout(:,3);

 

[~,acc_y2_fft]=change_fft(256,num,acc_y2);

[~,Fn_fft]=change_fft(256,num,Fn);

[f,Ft_fft]=change_fft(256,num,Ft);

tt=length(Ft_fft);

 

figure(1)

title('y2加速度时域和频域信息')

subplot(211)

plot(time,acc_y2)

xlabel('时间/s')

ylabel('y2加速度/m^2/s')

subplot(212)

plot(f,acc_y2_fft)

xlabel('频率/Hz')

ylabel('y2加速度/m^2/s')

 

figure(2)

title('Fn时域和频域信息')

subplot(211)

plot(time,Fn)

xlabel('时间/s')

ylabel('Fn/N')

subplot(212)

plot(f,Fn_fft)

xlabel('频率/Hz')

ylabel('Fn/N')

 

figure(3)

title('Ft时域和频域信息')

subplot(211)

plot(time,Ft)

xlabel('时间/s')

ylabel('Ft/N')

subplot(212)

plot(f,Ft_fft)

xlabel('频率/Hz')

ylabel('Ft/N') `  

仿真结果如下****

image.png

image.png

3 电机转矩波影响分析****

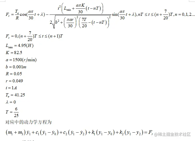
转子作用于系统垂向上的合力为

image.png 对应中的动力学方程为

simulink模型为

 

image.png

仿真结果为

 

 

image.png

image.png image.png

image.png