基于人工鱼群优化的电网规划算法matlab仿真

122 阅读3分钟

1.算法仿真效果

matlab2022a仿真结果如下:

3d11d7914743cd3a6c33e02cfe0a71f0_watermark,size_14,text_QDUxQ1RP5Y2a5a6i,color_FFFFFF,t_100,g_se,x_10,y_10,shadow_20,type_ZmFuZ3poZW5naGVpdGk=.png

2.算法涉及理论知识概要

       人工鱼群算法(Artificial Fish Swarm Algorithm,简称AFSA)是受鱼群行为的启发,由国内李晓磊博士于2002年提出的一种基于动物行为的群体智能优化算法,是行为主义人工智能的一个典型应用,这种算法源于鱼群的觅食行为。

 

       在一片水域中,鱼往往能自行或尾随其它鱼,找到营养物质多的地方,因而鱼生存数目最多的地方一般就是本水域中营养物质最多的地方。人工鱼群算法根据这一特点,通过构造人工鱼来模仿鱼群的觅食、聚群、追尾及随机行为,从而实现寻优。

 

        人工鱼(AF)是真实鱼的仿制品,用于分析和问题解释(Neshat、Sepidnam、Sargolzaei和Toosi(2012))。鱼类大多生活在食物充足的地区,它们通过跟随其他鱼类或单独寻找食物,向食物较多的地区移动。鱼类数量最多的地区通常是食物最多的。每条人工鱼的下一步行为取决于它目前的状态以及局部的环境状态,AF通过自身行为以及同伴的行为来影响环境。

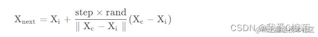
(1)觅食行为(Prey)

 

bc19885162ee783d1a9e41ed68e56612_watermark,size_14,text_QDUxQ1RP5Y2a5a6i,color_FFFFFF,t_100,g_se,x_10,y_10,shadow_20,type_ZmFuZ3poZW5naGVpdGk=.png

 

(2)聚群行为(Swarm)

 

fa6008444b451a0b482db3ca3afec5d3_watermark,size_14,text_QDUxQ1RP5Y2a5a6i,color_FFFFFF,t_100,g_se,x_10,y_10,shadow_20,type_ZmFuZ3poZW5naGVpdGk=.png

 

(3)追尾行为(Follow)

 

dd98ac67a1d69c99e6a7995114662053_watermark,size_14,text_QDUxQ1RP5Y2a5a6i,color_FFFFFF,t_100,g_se,x_10,y_10,shadow_20,type_ZmFuZ3poZW5naGVpdGk=.png

 

(4)随机行为

 

1b89855117ba8e7f0d12a11dace26fe1_watermark,size_14,text_QDUxQ1RP5Y2a5a6i,color_FFFFFF,t_100,g_se,x_10,y_10,shadow_20,type_ZmFuZ3poZW5naGVpdGk=.png

 

(5)行为选择

 

        这是鱼类的生存习惯,反映出了鱼类的自主行为。在人工鱼群算法中,觅食行为奠定了算法的收敛基础,聚群行为增强了算法收敛的稳定性,追尾行为增强了算法收敛的快速性与全局性,行为选择策略则是为算法收敛的速度与稳定性提供了保障。

 

3.MATLAB核心程序 `tic,

yjzl=yjzl;

dxzl=dxzl;

Pi=Pi;

[N,row]=size(Pi);  %N为节点数

fish=40;    %控制参数:人工鱼的条数

visual=7;   %控制参数:视野

delta=0.35;  %控制参数:拥挤度

step=5;     %控制参数:人工鱼移动的步长

maxcalculation=100;    %收敛条件:最大迭代次数

objectvalue=zeros(1,fish);  %食物浓度矩阵(1×fish)

[NN,row]=size(dxzl);   %NN为待选线路的维数

status=rand(fish,NN);  %人工鱼位置状态矩阵status

for i=1:fish

    for j=1:NN

        if status(i,j)<=0.5

            status(i,j)=0;

        else

            status(i,j)=1;

        end

    end

end

minvalue=inf;

for fishnumber=1:fish

    x=status(fishnumber,:);

    [B1,B,BL,NEW,NL,L,nbl]=builtnet(x,dxzl,yjzl);

    [tong]=liantong(N,L,BL);

    if tong>1

        objectvalue(fishnumber)=inf;

    else

       [operate,overflowvalue]=dcflow(N,L,BL,Pi,nbl);

       construction=0;

       for i=1:NEW

           construction=construction+25*B1(i,6);    %计算建设费用每公里线路建设费用取25万元

       end

       objectvalue(fishnumber)=construction+operate+overflowvalue;

    end

   if objectvalue(fishnumber)<minvalue

      minvalue=objectvalue(fishnumber);     %minvalue记录最小的目标函数值

      minfish=status(fishnumber,:);         %minfish记录最小目标函数值所对应的人工鱼的位置

   end

end

%进行行为策略

............................................................................

             [status,objectvalue]=prey(status,fishnumber,objectvalue,visual,fish,NN,N,delta,step,dxzl,yjzl,Pi);

        end

    end

end

for fishnumber=1:fish

    if objectvalue(fishnumber)<minvalue

      minvalue=objectvalue(fishnumber);  

      minfish=status(fishnumber,:);

    end

end

min2(calculation)=minvalue;

disp(calculation);

disp(minvalue);

%if minvalue<=5900

%    break    

%end

calculation=calculation+1;

end

toc

plot(min2,'-*');`