Java数据结构——二叉搜索树

126 阅读3分钟

查找算法

不管是之前学过的数组、链表、队列、还是栈,这些线性结构中,如果想在其中查找一个元素,效率是比较慢的,只有O(N)O(N),因此如果你的需求是实现快速查找,那么就需要新的算法设计,也需要新的数据结构支持。

还记得最先介绍的那个二分查找算法吗?它的查找效率能够达到 O(logN)O(\log{N}),是不是还不错?不过呢,它需要对数组事先排好序,而排序的成本是比较高的。那么有没有一个折中的办法呢?有,那就是接下来要给大家介绍的二叉搜索树

1. 二叉搜索树

二叉搜索树(也称二叉排序树)是符合下面特征的二叉树:

  1. 树节点增加 key 属性,用来比较谁大谁小,key 不可以重复
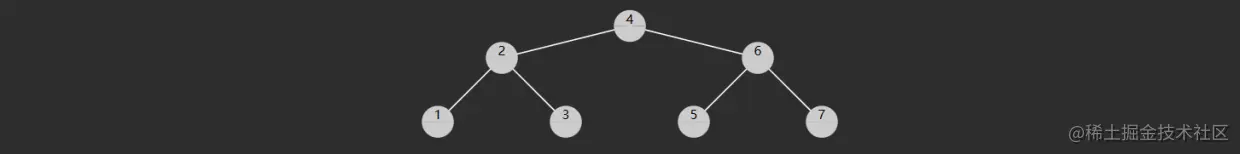
  2. 对于任意一个树节点,它的 key 比左子树的 key 都大,同时也比右子树的 key 都小,例如下图所示 image.png

轻易看出要查找 7 (从根开始)自然就可应用二分查找算法,只需三次比较

  • 与 4 比,较之大,向右找
  • 与 6 比,较之大,继续向右找
  • 与 7 比,找到

查找的时间复杂度与树高相关,插入、删除也是如此。

  • 如果这棵树长得还不赖(左右平衡)上图,那么时间复杂度均是 O(logN)O(\log{N})
  • 当然,这棵树如果长得丑(左右高度相差过大)下图,那么这时是最糟的情况,时间复杂度是 O(N)O(N)

image.png

注:

  • 二叉搜索树 - 英文 binary search tree,简称 BST
  • 二叉排序树 - 英文 binary ordered tree 或 binary sorted tree

定义节点

static class BSTNode {
    int key; // 若希望任意类型作为 key, 则后续可以将其设计为 Comparable 接口
    Object value;
    BSTNode left;
    BSTNode right;

    public BSTNode(int key) {
        this.key = key;
        this.value = key;
    }

    public BSTNode(int key, Object value) {
        this.key = key;
        this.value = value;
    }

    public BSTNode(int key, Object value, BSTNode left, BSTNode right) {
        this.key = key;
        this.value = value;
        this.left = left;
        this.right = right;
    }
}

查询

递归实现

public Object get(int key) {
    return doGet(root, key);
}

private Object doGet(BSTNode node, int key) {
    if (node == null) {
        return null; // 没找到
    }
    if (key < node.key) {
        return doGet(node.left, key); // 向左找
    } else if (node.key < key) {
        return doGet(node.right, key); // 向右找
    } else {
        return node.value; // 找到了
    }
}

非递归实现

public Object get(int key) {
    BSTNode node = root;
    while (node != null) {
        if (key < node.key) {
            node = node.left;
        } else if (node.key < key) {
            node = node.right;
        } else {
            return node.value;
        }
    }
    return null;
}

Comparable

如果希望让除 int 外更多的类型能够作为 key,一种方式是 key 必须实现 Comparable 接口。

public class BSTTree2<T extends Comparable<T>> {
    static class BSTNode<T> {
        T key; // 若希望任意类型作为 key, 则后续可以将其设计为 Comparable 接口
        Object value;
        BSTNode<T> left;
        BSTNode<T> right;

        public BSTNode(T key) {
            this.key = key;
            this.value = key;
        }

        public BSTNode(T key, Object value) {
            this.key = key;
            this.value = value;
        }

        public BSTNode(T key, Object value, BSTNode<T> left, BSTNode<T> right) {
            this.key = key;
            this.value = value;
            this.left = left;
            this.right = right;
        }
    }

    BSTNode<T> root;

    public Object get(T key) {
        return doGet(root, key);
    }

    private Object doGet(BSTNode<T> node, T key) {
        if (node == null) {
            return null;
        }
        int result = node.key.compareTo(key);
        if (result > 0) {
            return doGet(node.left, key);
        } else if (result < 0) {
            return doGet(node.right, key);
        } else {
            return node.value;
        }
    }

}

还有一种做法不要求 key 实现 Comparable 接口,而是在构造 Tree 时把比较规则作为 Comparator 传入,将来比较 key 大小时都调用此 Comparator 进行比较,这种做法可以参考 Java 中的 java.util.TreeMap

最小

递归实现

public Object min() {
    return doMin(root);
}

public Object doMin(BSTNode node) {
    if (node == null) {
        return null;
    }
    // 左边已走到头
    if (node.left == null) { 
        return node.value;
    }
    return doMin(node.left);
}

非递归实现

public Object min() {
    if (root == null) {
        return null;
    }
    BSTNode p = root;
    // 左边未走到头
    while (p.left != null) {
        p = p.left;
    }
    return p.value;
}

最大

递归实现

public Object max() {
    return doMax(root);
}

public Object doMax(BSTNode node) {
    if (node == null) {
        return null;
    }
    // 右边已走到头
    if (node.left == null) { 
        return node.value;
    }
    return doMin(node.right);
}

非递归实现

public Object max() {
    if (root == null) {
        return null;
    }
    BSTNode p = root;
    // 右边未走到头
    while (p.right != null) {
        p = p.right;
    }
    return p.value;
}

新增

递归实现

public void put(int key, Object value) {
    root = doPut(root, key, value);
}

private BSTNode doPut(BSTNode node, int key, Object value) {
    if (node == null) {
        return new BSTNode(key, value);
    }
    if (key < node.key) {
        node.left = doPut(node.left, key, value);
    } else if (node.key < key) {
        node.right = doPut(node.right, key, value);
    } else {
        node.value = value;
    }
    return node;
}
  • 若找到 key,走 else 更新找到节点的值
  • 若没找到 key,走第一个 if,创建并返回新节点
    • 返回的新节点,作为上次递归时 node 的左孩子或右孩子
    • 缺点是,会有很多不必要的赋值操作

非递归实现

public void put(int key, Object value) {
    BSTNode node = root;
    BSTNode parent = null;
    while (node != null) {
        parent = node;
        if (key < node.key) {
            node = node.left;
        } else if (node.key < key) {
            node = node.right;
        } else {
            // 1. key 存在则更新
            node.value = value;
            return;
        }
    }
    // 2. key 不存在则新增
    if (parent == null) {
        root = new BSTNode(key, value);
    } else if (key < parent.key) {
        parent.left = new BSTNode(key, value);
    } else {
        parent.right = new BSTNode(key, value);
    }
}

前驱后继

image.png

一个节点的前驱(前任)节点是指比它小的节点中,最大的那个

一个节点的后继(后任)节点是指比它大的节点中,最小的那个

例如上图中

  • 1 没有前驱,后继是 2
  • 2 前驱是 1,后继是 3
  • 3 前驱是 2,后继是 4
  • ...

简单的办法是中序遍历,即可获得排序结果,此时很容易找到前驱后继

要效率更高,需要研究一下规律,找前驱分成 2 种情况:

image.png

  1. 节点有左子树,此时前驱节点就是左子树的最大值,图中属于这种情况的有
    • 2 的前驱是1
    • 4 的前驱是 3
    • 6 的前驱是 5
    • 7 的前驱是 6
  2. 节点没有左子树,若离它最近的祖先自从左而来,此祖先即为前驱,如
    • 3 的祖先 2 自左而来,前驱 2
    • 5 的祖先 4 自左而来,前驱 4
    • 8 的祖先 7 自左而来,前驱 7
    • 1 没有这样的祖先,前驱 null

找后继也分成 2 种情况

image.png

  1. 节点有右子树,此时后继节点即为右子树的最小值,如
    • 2 的后继 3
    • 3 的后继 4
    • 5 的后继 6
    • 7 的后继 8
  2. 节点没有右子树,若离它最近的祖先自从右而来,此祖先即为后继,如
    • 1 的祖先 2 自右而来,后继 2
    • 4 的祖先 5 自右而来,后继 5
    • 6 的祖先 7 自右而来,后继 7
    • 8 没有这样的祖先,后继 null
public Object predecessor(int key) {
    BSTNode ancestorFromLeft = null;
    BSTNode p = root;
    while (p != null) {
        if (key < p.key) {
            p = p.left;
        } else if (p.key < key) {
            ancestorFromLeft = p;
            p = p.right;
        } else {
            break;
        }
    }

    if (p == null) {
        return null;
    }
    // 情况1 - 有左孩子
    if (p.left != null) {
        return max(p.left);
    }
    // 情况2 - 有祖先自左而来
    return ancestorFromLeft != null ? ancestorFromLeft.value : null;
}


public Object successor(int key) {
    BSTNode ancestorFromRight = null;
    BSTNode p = root;
    while (p != null) {
        if (key < p.key) {
            ancestorFromRight = p;
            p = p.left;
        } else if (p.key < key) {
            p = p.right;
        } else {
            break;
        }
    }

    if (p == null) {
        return null;
    }
    // 情况1 - 有右孩子
    if (p.right != null) {
        return min(p.right);
    }
    // 情况2 - 有祖先自右而来
    return ancestorFromRight != null ? ancestorFromRight.value : null;
}

删除

要删除某节点(称为 D),必须先找到被删除节点的父节点,这里称为 Parent

  1. 删除节点没有左孩子,将右孩子托孤给 Parent
  2. 删除节点没有右孩子,将左孩子托孤给 Parent
  3. 删除节点左右孩子都没有,已经被涵盖在情况1、情况2 当中,把 null 托孤给 Parent
  4. 删除节点左右孩子都有,可以将它的后继节点(称为 S)托孤给 Parent,设 S 的父亲为 SP,又分两种情况
    1. SP 就是被删除节点,此时 D 与 S 紧邻,只需将 S 托孤给 Parent
    2. SP 不是被删除节点,此时 D 与 S 不相邻,此时需要将 S 的后代托孤给 SP,再将 S 托孤给 Parent

非递归实现

/**
 * <h3>根据关键字删除</h3>
 *
 * @param key 关键字
 * @return 被删除关键字对应值
 */
public Object delete(int key) {
    BSTNode p = root;
    BSTNode parent = null;
    while (p != null) {
        if (key < p.key) {
            parent = p;
            p = p.left;
        } else if (p.key < key) {
            parent = p;
            p = p.right;
        } else {
            break;
        }
    }
    if (p == null) {
        return null;
    }
    // 删除操作
    if (p.left == null) {
        shift(parent, p, p.right); // 情况1
    } else if (p.right == null) {
        shift(parent, p, p.left); // 情况2
    } else {
        // 情况4
        // 4.1 被删除节点找后继
        BSTNode s = p.right;
        BSTNode sParent = p; // 后继父亲
        while (s.left != null) {
            sParent = s;
            s = s.left;
        }
        // 4.2 删除和后继不相邻, 处理后继的后事
        if (sParent != p) {                
            shift(sParent, s, s.right); // 不可能有左孩子
            s.right = p.right;
        }
        // 4.3 后继取代被删除节点
        shift(parent, p, s);
        s.left = p.left;
    }
    return p.value;
}

/**
 * 托孤方法
 *
 * @param parent  被删除节点的父亲
 * @param deleted 被删除节点
 * @param child   被顶上去的节点
 */
// 只考虑让 n1父亲的左或右孩子指向 n2, n1自己的左或右孩子并未在方法内改变
private void shift(BSTNode parent, BSTNode deleted, BSTNode child) {
    if (parent == null) {
        root = child;
    } else if (deleted == parent.left) {
        parent.left = child;
    } else {
        parent.right = child;
    }
}

递归实现

public Object delete(int key) {
    ArrayList<Object> result = new ArrayList<>();
    root = doDelete(root, key, result);
    return result.isEmpty() ? null : result.get(0);
}

public BSTNode doDelete(BSTNode node, int key, ArrayList<Object> result) {
    if (node == null) {
        return null;
    }
    if (key < node.key) {
        node.left = doDelete(node.left, key, result);
        return node;
    }
    if (node.key < key) {
        node.right = doDelete(node.right, key, result);
        return node;
    }
    result.add(node.value);
    if (node.left != null && node.right != null) {
        BSTNode s = node.right;
        while (s.left != null) {
            s = s.left;
        }
        s.right = doDelete(node.right, s.key, new ArrayList<>());
        s.left = node.left;
        return s;
    }
    return node.left != null ? node.left : node.right;
}

说明

  1. ArrayList<Object> result 用来保存被删除节点的值
  2. 第二、第三个 if 对应没找到的情况,继续递归查找和删除,注意后续的 doDelete 返回值代表删剩下的,因此需要更新
  3. 最后一个 return 对应删除节点只有一个孩子的情况,返回那个不为空的孩子,待删节点自己因没有返回而被删除
  4. 第四个 if 对应删除节点有两个孩子的情况,此时需要找到后继节点,并在待删除节点的右子树中删掉后继节点,最后用后继节点替代掉待删除节点返回,别忘了改变后继节点的左右指针

找小的

public List<Object> less(int key) {
    ArrayList<Object> result = new ArrayList<>();
    BSTNode p = root;
    LinkedList<BSTNode> stack = new LinkedList<>();
    while (p != null || !stack.isEmpty()) {
        if (p != null) {
            stack.push(p);
            p = p.left;
        } else {
            BSTNode pop = stack.pop();
            if (pop.key < key) {
                result.add(pop.value);
            } else {
                break;
            }
            p = pop.right;
        }
    }
    return result;
}

找大的

public List<Object> greater(int key) {
    ArrayList<Object> result = new ArrayList<>();
    BSTNode p = root;
    LinkedList<BSTNode> stack = new LinkedList<>();
    while (p != null || !stack.isEmpty()) {
        if (p != null) {
            stack.push(p);
            p = p.left;
        } else {
            BSTNode pop = stack.pop();
            if (pop.key > key) {
                result.add(pop.value);
            }
            p = pop.right;
        }
    }
    return result;
}

但这样效率不高,可以用 RNL 遍历

注:

  • Pre-order, NLR
  • In-order, LNR
  • Post-order, LRN
  • Reverse pre-order, NRL
  • Reverse in-order, RNL
  • Reverse post-order, RLN
public List<Object> greater(int key) {
    ArrayList<Object> result = new ArrayList<>();
    BSTNode p = root;
    LinkedList<BSTNode> stack = new LinkedList<>();
    while (p != null || !stack.isEmpty()) {
        if (p != null) {
            stack.push(p);
            p = p.right;
        } else {
            BSTNode pop = stack.pop();
            if (pop.key > key) {
                result.add(pop.value);
            } else {
                break;
            }
            p = pop.left;
        }
    }
    return result;
}

找之间

public List<Object> between(int key1, int key2) {
    ArrayList<Object> result = new ArrayList<>();
    BSTNode p = root;
    LinkedList<BSTNode> stack = new LinkedList<>();
    while (p != null || !stack.isEmpty()) {
        if (p != null) {
            stack.push(p);
            p = p.left;
        } else {
            BSTNode pop = stack.pop();
            if (pop.key >= key1 && pop.key <= key2) {
                result.add(pop.value);
            } else if (pop.key > key2) {
                break;
            }
            p = pop.right;
        }
    }
    return result;
}