信息化和信息系统架构分析

144 阅读2分钟

信息化和信息化系统

信息

信息的基本概念

  • 认识维纳:控制论的创始人。观点:信息既不是物质也不是能量;
  • 认识香农:信息化的奠基者。观点:信息是用来消除不准确的动心;
  • 认识信息概念存在的两个基本层次:即主体论层次及认识论层次。前者即完全客观化,即信息只与客观主体有关,与主体的因素无关。后者则以主体的层面去考察信息,就做到与客体有关也与主体有关。

信息的定量描述

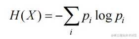
香农用来描述定量的公式:

image.png 其中X表示的是信息熵,Pi表示的事件出现第i种状态的概率

信息的传输模型

  • 信息的来源:信源;
  • 信息的接收者:新宿;
  • 信息传输的管道:信道;
  • 期间信息需要经过的操作为:编码-去除噪声干扰-解码。 主要的传输模型如图所示:

image.png

信息的质量属性

  • 精:即精确性,对事物状态描述的精准程度;
  • 完:即完整性,对事物状态描述的完整程度;
  • 可:即可靠性,来源合法且内容可信;
  • 及:即及时性,信息是及时的;
  • 经:即经济性,信息获取成本经济;
  • 验:即可验证性:是有方法可以分辩出真伪的;
  • 安: 即安全性:对于非授权的访问可能性越小,则其安全性越高。

例题

  • 信息的质量属性:精确性、完整性、可靠性、及时性、经济性、可验证性、安全性。
  • 信息的传输技术是信息技术的核心,另外噪声影响的是信道。
  • 一般情况下,信息系统的主要指标还是他的有效性和可靠性。

总结

概念主要记住香农提出了信息化,弄了一个描述定量的公式,信息质量也非常重要,主要的就是有效性和可靠性。 未完待续。。。