1 源码路径
Unity Shader 常量、变量、结构体、函数一般可以在 Unity Editor 安装目录下面的【Editor\Data\CGIncludes\UnityShader】目录下查看源码,主要源码文件如下:
- UnityCG.cginc
- UnityShaderUtilities.cginc
- UnityShaderVariables.cginc
GLSL 基础语法详见 → GLSL基础语法。
2 Shader 常量
#define UNITY_PI 3.14159265359f
#define UNITY_TWO_PI 6.28318530718f
#define UNITY_FOUR_PI 12.56637061436f
#define UNITY_INV_PI 0.31830988618f
#define UNITY_INV_TWO_PI 0.15915494309f
#define UNITY_INV_FOUR_PI 0.07957747155f
#define UNITY_HALF_PI 1.57079632679f
#define UNITY_INV_HALF_PI 0.636619772367f
3 Shader 变量
1)时间变量
// Time (t = time since current level load) values from Unity
float4 _Time; // (t/20, t, t*2, t*3)
float4 _SinTime; // sin(t/8), sin(t/4), sin(t/2), sin(t)
float4 _CosTime; // cos(t/8), cos(t/4), cos(t/2), cos(t)
float4 unity_DeltaTime; // dt, 1/dt, smoothdt, 1/smoothdt
2)相机和光源的世界坐标
float3 _WorldSpaceCameraPos; // 相机的世界坐标
half4 _WorldSpaceLightPos0; // 光源的世界坐标(当光源是平行光时, _WorldSpaceLightPos0表示灯光照射方向)
3)远近裁剪平面参数
// x = 1 or -1 (-1 if projection is flipped)
// y = near plane
// z = far plane
// w = 1/far plane
float4 _ProjectionParams;
// 用于线性化深度, 如: LinearEyeDepth、Linear01Depth函数内部会调用
// x = 1-far/near
// y = far/near
// z = (near-far)/(near*far)
// w = 1/near
// 用于 reversed depth buffer (UNITY_REVERSED_Z is 1)
// x = -1+far/near
// y = 1
// z = (far-near)/(near*far)
// w = 1/far
float4 _ZBufferParams;
4)屏幕参数
// x = width
// y = height
// z = 1 + 1.0/width
// w = 1 + 1.0/height
float4 _ScreenParams;
5)纹理参数
// _MainTex的像素尺寸大小, float4(1/width, 1/height, width, height)
float4 _MainTex_TexelSize;
// _MainTex缩放和偏移
float4 _MainTex_ST;
// 等价于: v.texcoord * _MainTex_ST.xy + _MainTex_ST.zw
TRANSFORM_TEX(v.texcoord, _MainTex)
补充:UV 空间是左手坐标系,U 轴从左到右,V 轴从下到上。
6)MVP 矩阵
float4x4 UNITY_MATRIX_M, unity_ObjectToWorld; // [模型空间->世界空间]的变换矩阵M
float4x4 UNITY_MATRIX_V, unity_MatrixV; // [世界空间->观察空间]的变换矩阵V
float4x4 UNITY_MATRIX_P, glstate_matrix_projection; // [观察空间->裁剪空间]的变换矩阵P
float4x4 UNITY_MATRIX_MV, unity_MatrixMV; // [模型空间->观察空间]的变换矩阵MV
float4x4 UNITY_MATRIX_VP, unity_MatrixVP; // [世界空间->裁剪空间]的变换矩阵VP
float4x4 UNITY_MATRIX_MVP, unity_MatrixMVP; // [模型空间->裁剪空间]的变换矩阵MVP
float4x4 UNITY_MATRIX_I_V, unity_MatrixInvV; // V矩阵的逆矩阵
float4x4 UNITY_MATRIX_T_MV, unity_MatrixTMV; // MV矩阵的转置
float4x4 UNITY_MATRIX_IT_MV, unity_MatrixITMV; // MV矩阵的逆转矩阵
float4x4 unity_WorldToObject; // [世界空间->模型空间]的变换矩阵M
说明:unity_ObjectToWorld 与 unity_WorldToObject 互为逆矩阵。

4 Shader 结构体
1)appdata_base
struct appdata_base {
float4 vertex : POSITION; // 模型坐标系下顶点坐标
float3 normal : NORMAL; // 模型坐标系下法线向量
float4 texcoord : TEXCOORD0; // 纹理坐标
UNITY_VERTEX_INPUT_INSTANCE_ID
};
2)appdata_tan
struct appdata_tan {
float4 vertex : POSITION; // 模型坐标系下顶点坐标
float4 tangent : TANGENT; // 模型坐标系下切线向量
float3 normal : NORMAL; // 模型坐标系下法线向量
float4 texcoord : TEXCOORD0; // 纹理坐标
UNITY_VERTEX_INPUT_INSTANCE_ID
};
3)appdata_full
struct appdata_full {
float4 vertex : POSITION; // 模型坐标系下顶点坐标
float4 tangent : TANGENT; // 模型坐标系下切线向量
float3 normal : NORMAL; // 模型坐标系下法线向量
float4 texcoord : TEXCOORD0; // 纹理坐标0
float4 texcoord1 : TEXCOORD1; // 纹理坐标1
float4 texcoord2 : TEXCOORD2; // 纹理坐标2
float4 texcoord3 : TEXCOORD3; // 纹理坐标3
fixed4 color : COLOR; // 顶点颜色
UNITY_VERTEX_INPUT_INSTANCE_ID
};
4)appdata_img
struct appdata_img
{
float4 vertex : POSITION; // 模型坐标系下顶点坐标
half2 texcoord : TEXCOORD0; // 纹理坐标
UNITY_VERTEX_INPUT_INSTANCE_ID
};
5)v2f_img
struct v2f_img
{
// 作为顶点着色器输出时, pos指裁剪坐标系下的坐标; 作为片元着色器输入时, pos指屏幕坐标系下的坐标
float4 pos : SV_POSITION;
half2 uv : TEXCOORD0; // 纹理坐标
UNITY_VERTEX_INPUT_INSTANCE_ID
UNITY_VERTEX_OUTPUT_STEREO
};
说明:作为顶点着色器输出时, pos指裁剪坐标系下的坐标; 作为片元着色器输入时, pos指屏幕坐标系下的坐标。
6)vert_img 着色器
v2f_img vert_img(appdata_img v)
{
v2f_img o;
UNITY_INITIALIZE_OUTPUT(v2f_img, o);
UNITY_SETUP_INSTANCE_ID(v);
UNITY_INITIALIZE_VERTEX_OUTPUT_STEREO(o);
o.pos = UnityObjectToClipPos(v.vertex);
o.uv = v.texcoord;
return o;
}
用户可以通过以下方式引用内置顶点着色器:
#pragma vertex vert_img
5 Shader 函数
5.1 基础函数
1)数值计算
sign(x)、abs(x) // 符号、绝对值
min(a, b)、max(a, b) // 最值函数
ceil(x)、floor(x)、round(x) // 取整函数
frac(x) // 取小数部分
fmod(x, y) // 取余数
rap(x) // 倒数(1/x)
sqrt(x)、pow(x) // 幂函数
exp(x)、exp2(x) // 指数函数(e^x、2^x)
log(x)、log10(x)、log2(x) // 对数函数
degrees(x)、radians(x) // 角度转换函数
sin(x)、cos(x)、tan(x)、asin(x)、acos(x)、atan(x) // 三角函数
sinh(x)、cosh(x)、tanh(x) // 双曲线函数
saturate(x) // 将x约束在0和1之间, 超过边界就取边界值
clamp(x, min, max) // 将x约束在min和max之间, 超过边界就取边界值
smoothstep(min, max, x) // 平滑比例, 公式: k=saturate((x-min)/(max-min)), y=k*k*(3-2*k)
mix(a, b, f) // 混合, 公式: y=(1-f)*a+f*b
lerp(a, b, f) // 插值, 公式: y=(1-f)*a+f*b, a、b可以是向量
step(a, b) // 如果a>b, 返回0; 如果a<=b, 返回1; 当a、b是向量时, 每个分量独立判断, 如: step(fixed2(1,1),fixed(0,2))=(0,1)
2)向量计算
all(vec) // 如果vec中每个分量都是非零的则返回true, 否则返回false
any(vec) // 如果vec中存在一个分量是非零的则返回true, 否则返回false
distance(pos1, pos2) // 计算pos1与pos2之间的距离
length(vec) // 计算向量的模长
normalize(vec) // 计算向量的单位向量
dot(vec1, vec2) // 向量点乘
cross(vec1, vec2) // 向量叉乘
reflect(i, n) // 根据入射向量和法线向量, 计算反射向量(i和n不需要归一化)
refract(i, n, ratio); // 根据入射向量、法线向量、折射率比值, 计算折射向量(i和n需要归一化, ratio为入射介质折射率/折射介质折射率, 或sin(折射角)/sin(入射角))
3)矩阵计算
mul(M, N)、mul(M, v), mul(v, M) // M*N、M*v、M'*v
determinant(M) // 计算矩阵的行列式
transpose(M) // 矩阵转置
补充:CG 中矩阵类型变量初始化顺序是按照行优先的顺序进行的,访问矩阵中元素也是按照行优先的顺序进行的;float3、float4 类型变量,既可以当作一个矢量,也可以当作一个 1 x n 的行矩阵或 n x 1 的列矩阵。
// 定义一个矩阵, 第一行: 1.0, 2.0, 3.0; 第二行: 4.0, 5.0, 6.0; 第三行: 7.0, 8.0, 9.0
float3x3 M = float3x3(1.0, 2.0, 3.0, 4.0, 5.0, 6.0, 7.0, 8.0, 9.0);
// 得到矩阵M的第一行, 即: 1.0, 2.0, 3.0
float3 row = M[0];
// 得到矩阵M的第2行、第3列元素, 即: 6.0
float e = M[1][2];
4)纹理计算
tex2D(sampler2D, uv_Tex) // 查询纹理坐标对应的纹理值
texCUBE(cubemap, worldVec) // 查询向量方向对应的立方体纹理值
UnpackNormal(color) // 根据法线纹理解析法线向量(切线空间)
5.2 坐标和向量变换
1)坐标变换
// 模型空间->观察空间
float3 UnityObjectToViewPos(float3 pos) // mul(UNITY_MATRIX_MV, float4(pos, 1.0)).xyz
float3 UnityObjectToViewPos(float4 pos) // UnityObjectToViewPos(pos.xyz)
// 模型空间->裁剪空间
float4 UnityObjectToClipPos(float3 pos) // mul(UNITY_MATRIX_MVP, float4(pos, 1.0))
float4 UnityObjectToClipPos(float4 pos) // UnityObjectToClipPos(pos.xyz)
// 世界空间->观察空间
float3 UnityWorldToViewPos(float3 pos) // mul(UNITY_MATRIX_V, float4(pos, 1.0)).xyz
// 世界空间->裁剪空间
float4 UnityWorldToClipPos(float3 pos) // mul(UNITY_MATRIX_VP, float4(pos, 1.0))
// 观察空间->裁剪空间
float4 UnityViewToClipPos(float3 pos) // mul(UNITY_MATRIX_P, float4(pos, 1.0))
2)屏幕空间变换
// 裁剪空间->屏幕空间(输入: 裁剪空间坐标, 输出: 屏幕空间坐标)
// o.xy = 0.5 * (pos.xy + pos.w), o.zw = pos.zw
float4 ComputeScreenPos(float4 pos)
float4 ComputeGrabScreenPos(float4 pos)
说明:ComputeGrabScreenPos 和 ComputeScreenPos 函数实现基本差不多,主要差异是针对平台差异造成的采样坐标问题进行了处理,如果使用了 GrabPass 抓取屏幕图像,建议使用 ComputeGrabScreenPos 函数进行屏幕纹理坐标计算;假设 ComputeScreenPos 和 ComputeGrabScreenPos 函数的输出值为 o,则 o / o.w 才是归一化(值域为 [0, 1])的屏幕坐标,通常在顶点着色器中调用 ComputeGrabScreenPos 或 ComputeScreenPos 函数,在片元着色器中执行 o / o.w,如果在顶点着色器中先执行 o / o.w(非线性变换),就不能保证光栅化插值后的坐标与输入的 pos 坐标保持线性性质,造成采样纹理扭曲问题。
3)向量变换
// 模型空间->世界空间
float3 UnityObjectToWorldDir(float3 dir) // normalize(mul((float3x3)unity_ObjectToWorld, dir))
// 世界空间->模型空间
float3 UnityWorldToObjectDir(float3 dir) // normalize(mul((float3x3)unity_WorldToObject, dir))
4)法线变换
// 模型空间->世界空间(已归一化)
float3 UnityObjectToWorldNormal(float3 norm) {
#ifdef UNITY_ASSUME_UNIFORM_SCALING // 统一缩放(x、y、z分量缩放系数一致)
return UnityObjectToWorldDir(norm); // normalize(mul((float3x3)unity_ObjectToWorld, norm))
#else
return normalize(mul(norm, (float3x3)unity_WorldToObject)); // mul(IT_M, norm) => mul(norm, I_M)
#endif
}
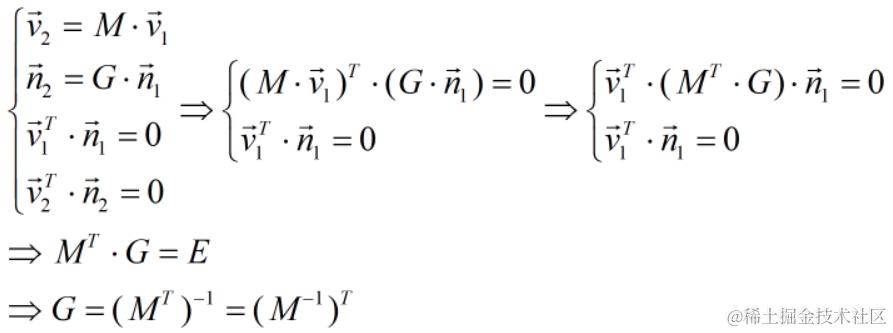
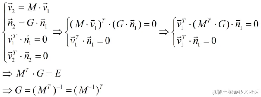
法线由切线计算而来,在模型空间中 A 点的切线向量为 v1,法线向量为 n1,经过模型变换(矩阵 M)后,切线向量为 v2,法线向量为 n2,假设法线向量的变换矩阵为 G,因此存在以下关系:

Unity 中线性变换主要有平移、旋转、缩放,由于向量不受平移变换影响,因此,对于法线向量而言,只受旋转和缩放影响。
- 当 M 只包含旋转变换时,M 是正交矩阵,M-1 = M',因此 G = M;
- 当 M 只包含统一缩放变换时,M = k·E,因此 G = 1/k·E = 1/(k^2)·M,由于法线向量只需要方向,后面会进行归一化,因此可以简写 G = M;
- 当 M 只包含旋转变换和统一缩放变换时,G = 1/(k^2)·M,由于法线向量只需要方向,后面会进行归一化,因此可以简写 G = M;
5)其他变换
// 观察空间->裁剪空间
float2 TransformViewToProjection (float2 v) // mul((float2x2)UNITY_MATRIX_P, v)
float3 TransformViewToProjection (float3 v) // mul((float3x3)UNITY_MATRIX_P, v)
5.3 计算指向相机和光源的向量
1)计算顶点指向相机的向量
// _WorldSpaceCameraPos.xyz - worldPos
float3 ObjSpaceViewDir(float4 v) // 输入: 模型空间坐标, 输出: 模型空间坐标
float3 WorldSpaceViewDir(float4 localPos) // 输入: 模型空间坐标, 输出: 世界空间坐标
float3 UnityWorldSpaceViewDir(float3 worldPos) // 输入: 世界空间坐标, 输出: 世界空间坐标
2)计算顶点指向光源的向量
// mul(unity_WorldToObject, _WorldSpaceLightPos0).xyz - v.xyz
float3 ObjSpaceLightDir(float4 v) // 输入: 模型空间坐标, 输出: 模型空间坐标
float3 WorldSpaceLightDir(float4 localPos) // 输入: 模型空间坐标, 输出: 世界空间坐标
float3 UnityWorldSpaceLightDir(float3 worldPos) // 输入: 世界空间坐标, 输出: 世界空间坐标
5.4 深度纹理和法线纹理相关函数
1)深度纹理采样
// 非线性的深度(即计算的深度值与实际深度值不是线性关系)
float depth = SAMPLE_DEPTH_TEXTURE(_CameraDepthTexture, i.uv); // tex2D(_CameraDepthTexture, i.uv).r
// 观察空间中的线性的深度, 值域: [Near, Far], 公式: 1.0 / (_ZBufferParams.z * depth + _ZBufferParams.w)
float linearDepth = LinearEyeDepth(depth);
// 观察空间中的线性且归一化的深度, 值域: [0, 1], 公式: 1.0 / (_ZBufferParams.x * depth + _ZBufferParams.y)
float linear01Depth = Linear01Depth(depth);
LinearEyeDepth 和 Linear01Depth 源码分析见→屏幕深度和法线纹理简介。
2)深度&法线纹理采样
fixed4 tex = tex2D(_CameraDepthNormalsTexture, i.uv);
float depth = DecodeFloatRG(tex.zw); // 观察空间中的线性且归一化的深度
float3 normal = DecodeViewNormalStereo(tex); // 观察空间中的法线向量
也可以使用 DecodeDepthNormal 函数获取深度和法线信息,其实现如下:
inline void DecodeDepthNormal(float4 enc, out float depth, out float3 normal)
{ // 深度&法线采样, enc为tex2D采样结果, depth、normal为解码后的深度和法线
depth = DecodeFloatRG(enc.zw); // 观察空间中的线性且归一化的深度
normal = DecodeViewNormalStereo(enc); // 观察空间中的法线向量
}
声明:本文转自【Unity3D】Shader常量、变量、结构体、函数