文章总结 联邦学习 X 交通

1,341 阅读7分钟

Short-Term Traffic Flow Prediction Based on Graph Convolutional Networks and Federated Learning

2023(TITS)

本研究提出了一种短期交通流预测模型,该模型将基于社区检测的联合学习与图卷积网络(GCN)相结合,以缓解全局GCN在数据量增加时的耗时训练、较高的通信成本和数据隐私风险。联合社区GCN(FCGCN)可以在交通大数据时代实现及时、准确、安全的交通状态预测,这对于智能交通系统的高效运行至关重要。FCGCN的预测过程有四个步骤:用社区检测划分本地子网络、基于全局参数的本地训练、上传本地模型参数、基于聚合参数构建全局模型预测。在PeMS04和PeMS08数据集上的数值结果显示,FCGCN优于四个基准模型,即长短期记忆(LSTM)、卷积神经网络(CNN)、ChebNet和图注意网络(GAT)模型。FCGCN的预测更接近真实值,以较低的时间成本获得与全局模型几乎相同的性能,从而实现了对流量、速度和占用率三个参数的准确和安全的短期交通流预测。

本文贡献

  1. 我们提出了一个联合社区GCN(FCGCN)模型,用于短期交通流预测。该模型将FL集成到GCN中,以平衡准确性和时间成本,同时遵守隐私保护约束。道路网络的空间拓扑信息被GCN捕获,通过纳入节点之间的关系信息,预测效率得到提高。水平局部路网FL取代了全局图卷积路网模型,降低了计算和通信成本,同时防止数据隐私暴露。
  2. 社区检测的概念被纳入FL从全局网络到局部网络的过渡中,这不仅防止了主观性,而且提供了更好的联合训练性能。具体来说,本研究使用了Louvain算法,该算法在实验中把全局道路网络划分为几个局部子网。
  3. 用两个真实世界的交通数据集对该模型进行了评估,结果表明FCGCN可以在遵守隐私保护约束的情况下以低计算成本预测交通流量。

综上所述,可以看出,在交通大数据时代,人们对短期交通流量预测的准确性和安全性有了更高的要求。随着近年来DL的发展,各种平衡准确性和安全性的方案也被开发出来。在这项研究中,我们提出了一种将GCN与FL相结合的短期交通流量预测方法。GCN适合于捕捉交通数据的拓扑结构,而FL则通过局部训练降低了时间成本,提高了准确性,同时最大限度地降低了数据隐私风险。

在本文中,使用历史交通流量信息来预测未来的交通流量是至关重要的。我们定义路网和特征矩阵来描述交通流预测问题。

联邦社区GCN的架构

  1. 概述: 全局GCN模型在短期交通流预测中面临两个主要问题。一方面,与传统模型相比,GCN对大量数据的训练时间较长,而且图的计算复杂度随节点数的增加而呈非线性变化。另一方面,最新的监测数据与全局模型的不断同步具有较高的通信成本,在此过程中可能会出现数据包丢失等意外情况。由于不同的道路具有相似的交通形式,但分布在不同的物理位置,因此我们采用水平局部路网FL代替全局图卷积路网模型来降低计算成本,缓解通信问题。如图1所示,交通流预测任务大致可分为四个步骤:局部路网划分、局部训练、上传局部模型参数、全局模型预测。首先,通过社区发现算法将道路网络划分为若干个本地子网络。然后,每个子网络从中央服务器下载全局模型参数并进行局部训练。第三,本地训练完成后,每个本地子网将最新的模型参数上传到中央服务器,并汇总所有子网的数据来更新全球模型参数。最后,中心服务器使用全局模型来执行预测任务。 image.png
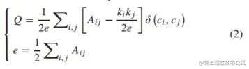
  2. 数据处理:本地路网划分和预处理。邻接矩阵中代表全局路网连通性信息的分量为1,用两条路之间距离的倒数作为新的边缘权重来代替。然后,用Louvain算法将全局路网划分为几个局部子网。Louvain 算法是一种分层聚类算法, 可以使网络的模块化程度最大化. 模块性的计算方法如下:

image.png

在预处理过程中,使用最小-最大标准化方法对样本进行归一化处理以加速收敛;然后,使用滑动窗口机制从样本中提取基于参数m的特征和标签集。

  1. 模型: 我们使用GCN模型来根据交通数据学习路网的空间拓扑结构。两层的GCN模型可以表示为: image.png

本文开发的FL模型的训练过程如图2所示。首先,每个子网络从中央服务器下载一般的全局模型。然后,子网络使用本地数据来训练模型,并将本地模型的参数上传到中央服务器;所有本地模型的参数被汇总以开发一个新的全局模型。最后,中央服务器分发最新的全球模型,并重复上述过程。 image.png
在本文中,我们使用FedAvg算法来汇总全局模型,全局模型的参数更新过程可以表述如下: image.png

FedSTN: Graph Representation Driven Federated Learning for Edge Computing Enabled Urban Traffic Flow Prediction

2022 TITS

预测交通流量在减少交通拥堵和提高智能城市的运输效率方面发挥着重要作用。智慧城市的交通流预测(TFP)需要高效的模型、高度可靠的网络和数据隐私。作为交通数据,交通轨迹可以转化为图形表示,从而为交通流量预测挖掘图形的时空信息。然而,现有的工作大多采用中心训练模式,没有考虑分布式交通数据带来的隐私问题。在本文中,我们提出了一种基于时空长短网络(FedSTN)的联合深度学习算法,通过利用观察到的历史交通数据来预测交通流。在FedSTN中,部署在边缘计算服务器中的每个本地TFP模型包括三个主要部分,即递归长期捕获网络(RLCN)模块、注意机制联合网络(AMFN)模块和语义捕获网络(SCN)模块。RLCN可以捕获每个区域的长期空间-时间信息。当AMFN通过基于垂直联合学习(VFL)的加法同态加密方法训练其本地TFP模型时,AMFN共享短期时空隐藏信息。我们采用SCN来捕捉语义特征,如不规则的非欧几里得连接和兴趣点(POI)。与现有的基线相比,在实际数据集上进行了几次模拟,结果证明了我们算法的有效性。

  • 我们为TFP提出了一种基于空间-时间长短网络(FedSTN)的新型联合深度学习算法。在FedSTN中,为了捕捉短期时间信息而不损失区域间的空间信息,我们设计了Federated Graph Attention(FedGAT)层来共享基于VFL的参数。

  • 为了预测本地区域的交通流量,我们设计了一个RLCN模块来捕捉短期信息。为了将外部因素纳入TFP,我们引入了SCN来捕捉区域流量关系和POI对交通流量预测的影响。

  • 我们使用三个评价标准(如根平均平方误差、平均绝对误差和平均平均百分比误差)对FedSTN进行了广泛的模拟。 通过仿真结果,我们提出的算法比HA、ARIMA、VAR、Xgboost、ConvLSTM、DMVST-Net、ST-ResNet和FedGRU模型有更高的性能

我们提出的FedSTN是基于历史交通流量、外部特征和兴趣点(POI)之间的相关性而定制的。具体来说,EC服务器存储收集的车辆轨迹数据,以预测未来的道路交通。在智能城市中,RSU从车辆获得GPS轨迹数据。气象数据由传感器获取,并通过无线链接发送到EC服务器。TFP系统的原理图见图1

image.png