Construct String from Binary Tree

87 阅读1分钟

Destcription

Given the root of a binary tree, construct a string consisting of parenthesis and integers from a binary tree with the preorder traversal way, and return it.

Omit all the empty parenthesis pairs that do not affect the one-to-one mapping relationship between the string and the original binary tree.

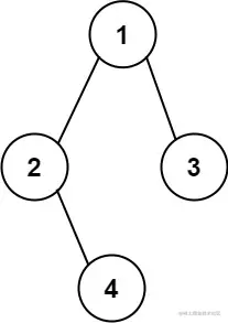
Example 1:

Input: root = [1,2,3,4]
Output: "1(2(4))(3)"
Explanation: Originally, it needs to be "1(2(4)())(3()())", but you need to omit all the unnecessary empty parenthesis pairs. And it will be "1(2(4))(3)"

Example 2:

Input: root = [1,2,3,null,4]
Output: "1(2()(4))(3)"
Explanation: Almost the same as the first example, except we cannot omit the first parenthesis pair to break the one-to-one mapping relationship between the input and the output.

Constraints:

  • The number of nodes in the tree is in the range [1, 104].
  • -1000 <= Node.val <= 1000

Idea

Obviously, using recursion to solve this puzzle.

  • base case: determine whether the root is null
  • recursive relationship
    • determine whether the root has child node, concatenate left child node values and parentheses.
    • determine whether the root has right child node, concatenate right child node values and parentheses.

Solution

public String tree2str(TreeNode root) {
    if (root == null) {
        return "";
    }
    String output = String.valueOf(root.val);
    if (root.left != null || root.right != null) {
        output += "(" + tree2str(root.left) + ")";
    }
    if (root.right != null) {
        output += "(" + tree2str(root.right) + ")";
    }
    return output;
}