MySQl 的B+Tree、哈希、全文、空间数据四种索引介绍

182 阅读10分钟

索引

索引(index)是帮助MySQL高效获取数据的数据结构(有序) 。在数据之外,数据库系统还维护着满足特定查找算法的数据结构,这些数据结构以某种方式引用(指向)数据, 这样就可以在这些数据结构上实现高级查找算法,这种数据结构就是索引。

索引优势索引劣势
提高数据检索的效率,降低数据库的IO成本索引列也是要占用空间的。(这个可以忽略,占用的空间比较少,并且磁盘相对比较便宜)
通过索引列对数据进行排序,降低数据排序的成本,降低CPU的消耗。索引大大提高了查询效率,同时却也降低更新表的速度,如对表进行INSERT、UPDATE、DELETE时,效率降低。(企业大部分的业务都是查询,更新的情况比较少。)

索引结构

image.png

image.png

一、B+Tree索引

1. 二叉查找树

在最开始学习树的时候,我们一定学习过这样一种结构的二叉树根结点大于它的左节点,小于它的右节点

image.png

2. 平衡二叉树(AVL树)

熟悉二叉树的都知道,在特殊情况下,上面的二叉树可能形成如下结构

image.png 平衡二叉树有如下要求:

  • 每个根结点的左节点小于它,右节点大于它
  • 每个结点的左右子树高度差不能超过 1

image.png 每次添加元素的时候,代码都会判断当前结构是否还属于平衡的,如果不是就进行调整。调整的代价也是挺大的,所以平衡二叉树一般用于多查询的功能里面。

3. B-Tree

我们所有的数据最终都是存在磁盘上面的。平衡二叉树有一个问题,那就是数据量如果过大的话,那么这个树就会很长很长,这样会导致频繁的进行磁盘IO,这样效率就降低了很多。
在数据库里面数据不是一个个存储,而是按照页来存储,一页是16kb大小。

B-Tree可以解决频繁的IO问题,它把数据按照页进行存储。

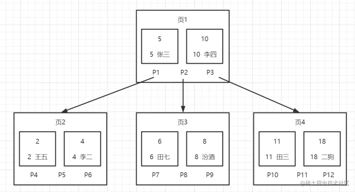
假如我们有这样一张表,里面有两个字段 id、name,id是主键

那么它的存储结构如下:

image.png 页之间也是双向指向的

从上面的结构我们可以看出,每一里面存储索引和对应的数据,并且是多条数据,而不是单一的。

一般我们的根页(页1)是存储在内存中的,然后我们进行判断一个个读取页到内存,使用这种结构可以在查询更少的页,就可以查询到我们想要的数据了。

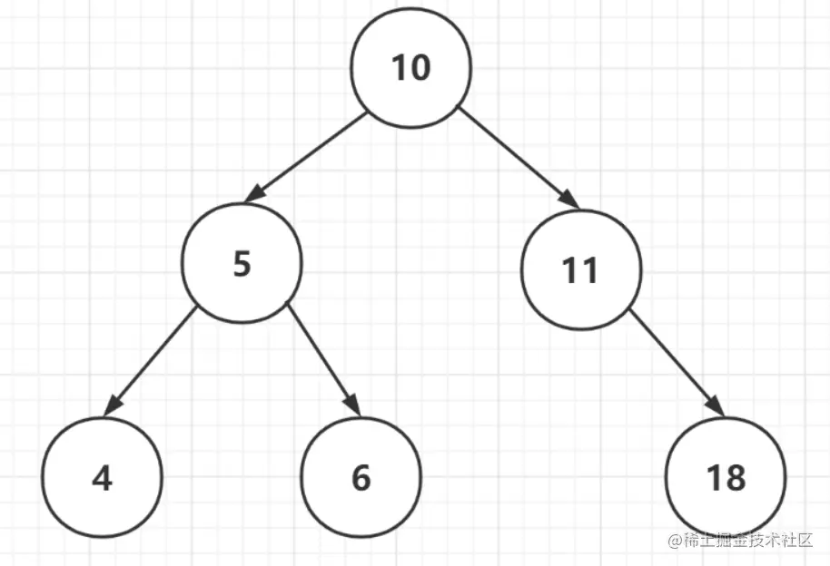
4. B+Tree

上面的结构也存在一种问题,因为每一页的大小是固定的(16KB),如果既要存储索引,又要存储数据,那么我们16KB也存储不了多少索引数据(尤其是在大表中),这样还是会进行频繁的IO处理。

image.png

总结

  • B+Tree 把所有的数据都存储在叶子结点上面,非叶子结点只存储索引,这样可以保证最少次数的IO提高索引查询的性能。
  • 存储的时候不是一个结点一个结点的存储,而是以页的方式进行存储,每一页的大小是16KB。

二、Hash索引

Hash索引就是根据给定的字段,进行创建Hash值。Hash索引可以很快的进行单个匹配度查询,但是无法做到范围查询。

如果你创建组合索引(A、B),它是根据AB俩个字段进行Hash的,所以当你单独使用A进行条件筛选的时候,是无法使用索引的。

哈希冲突

如果两个(或多个)键值,映射到一个相同的槽位上,他们就产生了hash冲突(也称为hash碰撞),可以通过链表来解决。

特点

  • Hash索引只能用于对等比较(=,in),不支持范围查询(between,>,< ,…)。
  • 无法利用索引完成排序操作。
  • 查询效率高O(1),通常(不存在hash冲突的情况)只需要一次检索就可以了,效率通常要高于B+tree索引。

存储引擎支持

  • 在MySQL中,支持hash索引的是Memory存储引擎。
  • InnoDB中具有自适应hash功能,hash索引是InnoDB存储引擎根据B+Tree索引在指定条件下自动构建的。

思考题: 为什么InnoDB存储引擎选择使用B+tree索引结构?

相对于二叉树,层级更少,搜索效率高; 对于B-tree,无论是叶子节点还是非叶子节点,都会保存数据,这样导致一页(一页默认是16KB)中存储的键值减少,指针跟着减少,要同样保存大量数据,只能增加树的高度,导致性能降低; 相对Hash索引,B+tree支持范围匹配及排序操作;

三、全文索引

全文索引是一个比较特殊的索引,一般用的也很少。它查找的是文本中的关键词,而不是比较索引中的值。全文索引更类似于搜索引擎做的事。 四、聚簇索引和非聚簇索引 聚簇索引并不是一种单独的索引类型,而是一种数据存储方式。在InnoDB的聚簇索引实际上在同一个结构中保存了B+Tree索引和数据行。当表有聚簇索引时,它的数据行实际上存放在索引的叶子页中。

因为无法同时把数据行存放在两个不同的地方,所以一个表只能有一个聚簇索引。(不过,覆盖索引可以模拟多个聚簇索引的情况,下面说明)

在InnoDB中会选择主键来作为聚簇索引,如果没有定义主键,InnoDB会选择一个唯一的非空索引代替。如果没有这样的索引,InnoDB会隐式定义一个主键来作为聚簇索引。

like问题

1.like关键字‘%obj%’这种写法是不会走索引的,‘obj%’这种使用索引;但是达不到查询效果。
2.FIND_IN_SET()函数能达到查询效果,但是不会走索引;如果数据量达到几万及以上,效率会非常慢;甚至造成系统无法运行。

问题解决方案:MYSQL全文索引及Match() against()

全文检索在 MySQL 中就是一个 FULLTEXT 类型索引。

一、创建全文索引

格式:
create fulltext index 索引名 on 表名(字段名1,字段名2...);

二、使用全文索引及Match() against()函数

1.基本用法
SELECT a.customer_id,a.customer_no,a.customer_name,a.customer_manager_no,
	   a.customer_manager_name,a.trust_manager_no
from customer_base_info a 
where Match(a.customer_manager_no) Against('wgx2' )

三、使用条件

1.存储引擎必须是MyISAM或者mysql5.6以上的InnoDB
2.字段类型必须是char,varchar,text

四、索引使用分析

1.适用场景
1)表中该字段中的数据量庞大
2)经常被检索,经常出现在where子句中的字段
3)经常被DML操作的字段不建议添加索引

2.优点
1)大大提高检索数据的性能效率
2)在表连接的连接条件,可以加速表与表直接的相连
3)在分组和排序字句进行数据检索,可以减少查询时间中 分组 和 排序时所消耗的时间(数据库的记录会重新排序)

3.缺点 1)创建与维护索引会消耗时间,并随着数据量的增加而增加
2)索引也会占用物理存储空间
3)在进行DML操作的时候,索引也要动态的维护,会降低数据的维护速度

索引分类

在MySQL数据库,将索引的具体类型主要分为以下几类:主键索引、唯一索引、常规索引、全文索引。

image.png

聚集索引 、 二级索引

而在在InnoDB存储引擎中,根据索引的存储形式,又可以分为以下两种:

image.png 聚集索引选取规则(无论怎么样都会生成一个聚集索引,不然行数据无法存放):

如果存在主键,主键索引就是聚集索引。 如果不存在主键,将使用第一个唯一(UNIQUE)索引作为聚集索引。 如果表没有主键,或没有合适的唯一索引,则InnoDB会自动生成一个rowid作为隐藏的聚集索引。 聚集索引和二级索引的具体结构如下:

image.png

  • 聚集索引的叶子节点下挂的是这一行的数据 。
  • 二级索引的叶子节点下挂的聚集索引所在字段的值(这里挂的主键id) 接下来,我们来分析一下,当我们执行如下的SQL语句时,具体的查找过程是什么样子的。

image.png 具体过程如下:

  1. 由于是根据name字段进行查询,所以先根据name='Arm'到name字段的二级索引中进行匹配查找。但是在二级索引中只能查找到 Arm 对应的主键值 10。
  2. 由于查询返回的数据是*(一行的全部数据),所以此时,还需要根据主键值10,到聚集索引中查找10对应的记录,最终找到10对应的行row。
  3. 最终拿到这一行的数据,直接返回即可。
    回表查询: 这种先到二级索引中查找数据,找到主键值,然后再到聚集索引中根据主键值,获取数据的方式,就称之为回表查询。

思考题:以下两条SQL语句,那个执行效率高? 为什么?

A. select * from user where id = 10;
B. select * from user where name = 'Arm';

备注: id为主键,name字段创建的有索引;
解答:
A 语句的执行性能要高于B 语句。因为A语句直接走聚集索引,直接返回数据。 而B语句需要先查询name字段的二级索引,然后再查询聚集索引,也就是需要进行回表查询。

思考题:InnoDB主键索引的B+tree高度为多高呢?

image.png 一行数据大小为1k,一页中可以存储16行这样的数据。InnoDB的指针占用6个字节的空间,主键为bigint,占用字节数为8。

高度为2:我们先来计算非叶子节点(只存放key和指针),指针比key多一个。我们设最多可以存储n个key则:

n * 8 + (n + 1) * 6 = 16*1024 , 算出n约为 1170

1171* 16 = 18736

也就是说,如果树的高度为2,则可以存储 18000 多条记录。

高度为3:

1171 * 1171 * 16 = 21939856 也就是说,如果树的高度为3,则可以存储 2200w 左右的记录

参考文献:

  1. MySQL 进阶 索引 -- 索引概述、索引结构(B+Tree、Hash)、索引分类(聚集索引 、 二级索引 、主键索引、唯一索引、常规索引、全文索引)_mysql索引有几种数据结构_CodeJiao的博客-CSDN博客
  2. MySQL索引详解【B+Tree索引、哈希索引、全文索引、覆盖索引】_全文索引 覆盖索引_小道仙97的博客-CSDN博客