MATLAB中的马尔可夫区制转移(Markov regime switching)模型|附代码数据

109 阅读5分钟

全文链接:tecdat.cn/?p=17685

最近我们被客户要求撰写关于马尔可夫区制转移(Markov regime switching)模型的研究报告,包括一些图形和统计输出。

我们被要求在本周提供一个报告,该报告将结合金融统计,优化等数值方法

分析师通常关心检测市场何时“发生变化”:几个月或几年内市场的典型行为可以立即转变为非常不同的行为。投资者希望及时发现这些变化,以便可以相应地调整其策略,但是这可能很困难。

让我们考虑一个简化的示例。牛市可以被定义股票市场普遍看涨且持续时间较长的市场。熊市对应于指延续时间相对较长的大跌并且有相对较高的波动性。我们可以使用随机数来近似这种行为:它将在牛市和熊市期间生成某些股票或指数的 每日收益(或价格变化),每期持续100天:

bull1 = normrnd( 0.10, 0.15, 100, 1);
bear  = normrnd(-0.01, 0.20, 100, 1);
bull2 = normrnd( 0.10, 0.15, 100, 1);
returns = [bull1; bear; bull2];

牛市时期的平均数为正(与增长相对应),而熊市时期的平均数为负。还要注意,熊市(空头)比牛市更不稳定(波动更大)。

因为我们模拟了这些数据,所以我们知道它的行为方式。但是,投资者只是在这些市场发生时观察它们:

plot(returns)
xlabel('Day number')
ylabel('Daily change in price')

图片

由于数据的波动性,可能难以检测何时熊市发生:上面的图看起来非常像是一个随机过程,而不是相邻的牛市/熊市/牛市时期。


点击标题查阅往期内容

图片

R语言如何做马尔可夫转换模型markov switching model

图片

左右滑动查看更多

图片

01

图片

02

图片

03

图片

04

图片

马尔可夫区制转移(Markov regime switching)模型旨在阐明这些类型的问题。它将以上收益序列视为 由马尔可夫过程控制的 状态(区制)转移模型(MRS),以在状态之间进行转移。代码:

indep = ones(size(returns)); %虚拟解释变量
k = 2; %我们期望有多少种状态:牛市与熊市
S = [1 1]; % 多头和空头的均值和波幅均不同
% 此处省略了一些屏幕输出

图片

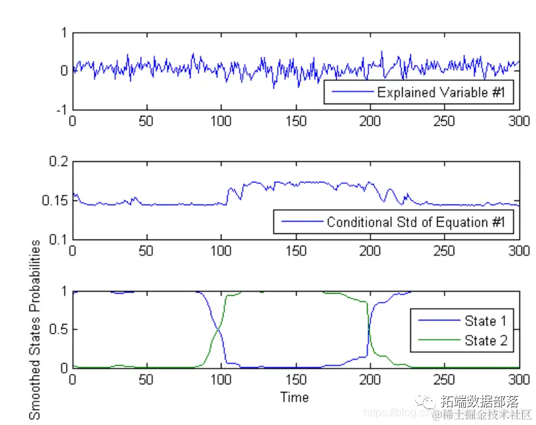
生成的图向我们展示了几件事。首先,最上面的图确认了本来很难观察到的状态转移发生的时间。中间的图表明在第100天到第200天之间波动性增加(标准偏差增加)。最重要的是,底部图清楚地表明,市场分别在第100天和200天左右从多头转为空头(然后回落)。SpecOut变量包含有关估计参数的信息,这些参数描述了牛市和熊市以及控制两者之间转移的马尔可夫过程。

图片

点击文末 “阅读原文”

获取全文完整代码数据资料。

本文选自《MATLAB中的马尔可夫区制转移(Markov regime switching)模型》。

点击标题查阅往期内容

R语言连续时间马尔科夫链模拟案例 Markov Chains
python中使用马尔可夫决策过程(MDP)动态编程来解决最短路径强化学习问题
R语言BUGS/JAGS贝叶斯分析: 马尔科夫链蒙特卡洛方法(MCMC)采样
MATLAB随机波动率SV、GARCH用MCMC马尔可夫链蒙特卡罗方法分析汇率时间序列
R语言如何做马尔可夫转换模型markov switching model
matlab用马尔可夫链蒙特卡罗 (MCMC) 的Logistic逻辑回归模型分析汽车实验数据
【视频】马尔可夫链蒙特卡罗方法MCMC原理与R语言实现|数据分享
R语言BUGS/JAGS贝叶斯分析: 马尔科夫链蒙特卡洛方法(MCMC)采样
马尔可夫Markov区制转移模型分析基金利率
马尔可夫区制转移模型Markov regime switching
时变马尔可夫区制转换MRS自回归模型分析经济时间序列
马尔可夫转换模型研究交通伤亡人数事故时间序列预测
如何实现马尔可夫链蒙特卡罗MCMC模型、Metropolis算法?
Matlab用BUGS马尔可夫区制转换Markov switching随机波动率模型、序列蒙特卡罗SMC、M H采样分析时间序列
R语言BUGS序列蒙特卡罗SMC、马尔可夫转换随机波动率SV模型、粒子滤波、Metropolis Hasting采样时间序列分析
matlab用马尔可夫链蒙特卡罗 (MCMC) 的Logistic逻辑回归模型分析汽车实验数据
stata马尔可夫Markov区制转移模型分析基金利率
PYTHON用时变马尔可夫区制转换(MRS)自回归模型分析经济时间序列
R语言使用马尔可夫链对营销中的渠道归因建模
matlab实现MCMC的马尔可夫转换ARMA - GARCH模型估计
R语言隐马尔可夫模型HMM识别不断变化的股票市场条件
R语言中的隐马尔可夫HMM模型实例
用机器学习识别不断变化的股市状况—隐马尔科夫模型(HMM)
Matlab马尔可夫链蒙特卡罗法(MCMC)估计随机波动率(SV,Stochastic Volatility) 模型
MATLAB中的马尔可夫区制转移(Markov regime switching)模型
Matlab马尔可夫区制转换动态回归模型估计GDP增长率
R语言马尔可夫区制转移模型Markov regime switching
stata马尔可夫Markov区制转移模型分析基金利率
R语言如何做马尔可夫转换模型markov switching model
R语言隐马尔可夫模型HMM识别股市变化分析报告
R语言中实现马尔可夫链蒙特卡罗MCMC模型