决策困难没有支撑,如何使用一颗树帮你解决选择困难证?

338 阅读15分钟

前言

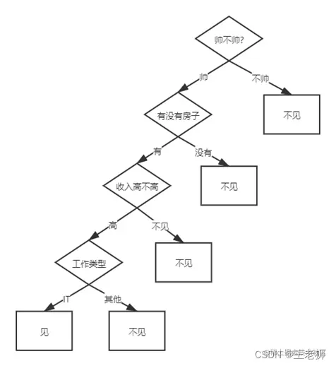
大家好,我是王老狮,对于我们这种奔三的人,最头疼的就是家里催婚的问题,每年基本都要遇到以下场景

  • 妈妈:女儿,给你介绍个男朋友你要不要见一见?
  • 女儿:长的帅不帅?
  • 妈妈:挺帅的。
  • 女儿:收入高不高?
  • 妈妈:还不错,年薪百万。
  • 女儿:有没有房子
  • 妈妈:城里有一套

那么女儿到底要不要答应呢?该如何来进行决策?

  • 女儿:做什么工作的?
  • 妈妈:IT 男,爱好掘金写文章
  • 女儿:好,那我们结婚吧。

可见,在掘金经常写文章的人很受女孩子喜爱。顺便祝大家早日脱单,找到真爱 image.png

1.什么是决策树?

在现实生活中,我们会遇到各种选择,不管是选择男女朋友,还是买水果都是经过以往的经验进行判断,把判断逻辑整理成一个结构图,就是一个树状结构,这就是决策树。

在这里插入图片描述

决策树的工作原理决策树基本上就是把我们以前的经验总结出来。比如提供一个相亲的数据集。如果我们要不要出去相亲,一般会根据“经济条件”、“身高”、“长相”、“其他优点”这几个条件来判断,最后得到结果:见还是不见,这个图就是一棵典型的决策树。

我们在做决策树的时候,一般会经历两个阶段:构造和剪枝

2.树的构造

构造就是生成一棵完整的决策树。简单来说,构造的过程就是选择什么属性作为节点的过程。

构造的三个节点 在这里插入图片描述

根节点:就是树的最顶端,最开始的那个节点。在上图中,“经济条件”就是一个根节点;

内部节点:就是树中间的那些节点,比如说“身高”、“长相”、“其他优点”;

叶节点:就是树最底部的节点,也就是决策结果。

因此,如何构造一棵树就是解决以下三个问题的过程。

  • 选择哪个属性作为根节点;
  • 选择哪些属性作为子节点;
  • 什么时候停止并得到目标状态,即叶节点。

3.树的剪枝

剪枝就是给决策树瘦身,因为如果所有的条件全部都计算一遍,计算量较大,效率较低。这一步实现的目标就是,不需要太多的判断,同样可以得到不错的结果。如下图就是剪枝要达到的比较好的效果。之所以这么做,也是为了防止“过拟合”或者欠拟合"现象的发生。 在这里插入图片描述

3.1.过拟合

所谓过拟合(over-fitting)其实就是所建的机器学习模型或者是深度学习模型在训练样本中表现得过于优越导致在验证数据集以及测试数据集中表现不佳。过拟合就是学到了很多没必要的特征。比如你说的长得像猫的狗,和长得像狗的猫,其实这只是特例,但神经网络为了更好的降低Loss,就只能被迫学习这些特征用来区分猫和狗。但是学习的太过了,(举个例子:一个男人穿着蓝色的衣服,神经网络可能把是否穿蓝色衣服作为区分男人女人的特征,这就是过拟合)遇到了新样本这些错误的特征就没有什么用了。所以过拟合就是表现为训练的时候效果很好(因为神经网络已经学到了很多有用没用的特征),但是在测试样本上的效果就很差(有的特征完全没用啊,完全就是为了降低loss而得出来的特征)。至于为什么会产生过拟合,一般是因为参数过多,为了降低loss(神经网络的任务就是为了最小化loss),后者样本过少。总之就是参数/样本的比太大。

在这里插入图片描述

Loss:损失函数。通常机器学习每一个算法中都会有一个目标函数,算法的求解过程是通过对这个目标函数优化的过程。在分类或者回归问题中,通常使用损失函数(代价函数)作为其目标函数。损失函数用来评价模型的预测值和真实值不一样的程度,损失函数越好,通常模型的性能越好。

在这里插入图片描述

3.2.欠拟合

所谓欠拟合呢(under-fitting),相对过拟合欠拟合还是比较容易理解。还是拿刚才的模型来说,可能训练样本被提取的特征比较少,导致训练出来的模型不能很好地匹配,表现得很差,甚至样本本身都无法高效的识别。

3.3.剪枝的方法

剪枝可以分为“预剪枝”和“后剪枝”

预剪枝是在决策树构造时就进行剪枝。方法是在构造的过程中对节点进行评估,如果对某个节点进行划分,在验证集中不能带来准确性的提升,那么对这个节点进行划分就没有意义,这时就会把当前节点作为叶节点,不对其进行划分。

后剪枝就是在生成决策树之后再进行剪枝,通常会从决策树的叶节点开始,逐层向上对每个节点进行评估。如果剪掉这个节点子树,与保留该节点子树在分类准确性上差别不大,或者剪掉该节点子树,能在验证集中带来准确性的提升,那么就可以把该节点子树进行剪枝。方法是:用这个节点子树的叶子节点来替代该节点,类标记为这个节点子树中最频繁的那个类。

大家好,我是王老狮,上一篇我们简单介绍了下什么是决策树,这章我们来看如何根据实际问题构建决策树,然后来进行决策。

4.影响决策的重要因素,纯度和信息熵

我们先看一组数据集:

在这里插入图片描述

我们该如何构造一个判断是否去相亲的决策树呢?

根据创建决策树的步骤,首先我们要确定决策树的根节点。但是在众多影响因子中,每种影响因素肯定有所区别,那么我们应该选取那个属性当做根节点呢?

那么我们先了解下两个重要概念:纯度和信息熵

4.1.纯度

纯度就是我们一组数据差异性的大小,换种方式来解释就是让目标变量的分歧变小。纯度越高,差异性越小。

集合 1:6 次都去相亲;

集合 2:4 次去相亲,2 次不去相亲;

集合 3:3 次去相亲,3 次不去相亲;

按照纯度指标来说,集合 1> 集合 2> 集合 3。因为集合 1 的分歧最小,集合 3 的分歧最大。

4.2.信息熵

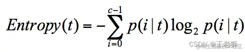
信息熵(information entropy)是信息论的基本概念。描述信息源各可能事件发生的不确定性。20世纪40年代,香农(C.E.Shannon)借鉴了热力学的概念,把信息中排除了冗余后的平均信息量称为“信息熵”.可以理解为信息的不确定度。

随机离散事件出现的概率存在着不确定性。为了衡量这种信息的不确定性,信息学之父香农引入了信息熵的概念,并给出了计算信息熵的数学公式: 在这里插入图片描述

p(i|t) 代表了节点 t 为分类 i 的概率,其中 log2 为取以 2 为底的对数。这里的公式含义表示:当不确定性越大时,它所包含的信息量也就越大,信息熵也就越高

根据公式,我们计算下面集合的信息熵

集合1:6 次都见面 信息熵就是 -6/6log26/6 = 0;

集合2:4 次去见面,2 次不去见面 -(4/6log2 4/6+2/6log2 2/6)=0.918

集合 3:3 次去见面,3 次不去见面 -(3/6log2 3/6+3/6log2 3/6)=1

从上面的计算结果中可以看出,信息熵越大,纯度越低。当集合中的所有样本均匀混合时,信息熵最大,纯度最低。

我们在构造决策树的时候,会基于纯度来构建。常用的算法分别是信息增益(ID3 算法)、信息增益率(C4.5算法)以及基尼指数(Car算法)

5.ID3算法

5.1.ID3算法介绍

ID3算法最早是由罗斯昆(J. Ross Quinlan)于1975年在悉尼大学提出的一种分类预测算法,算法的核心是“信息熵”。ID3算法通过计算每个属性的信息增益,认为信息增益高的是好属性,每次划分选取信息增益最高的属性为划分标准,重复这个过程,直至生成一个能完美分类训练样例的决策树。

ID3 算法计算的是信息增益,本身是一种贪心算法,信息增益指的就是划分可以带来纯度的提高,信息熵的下降。它的计算公式,是父亲节点的信息熵减去所有子节点的信息熵。在计算的过程中,我们会计算每个子节点的归一化信息熵,即按照每个子节点在父节点中出现的概率,来计算这些子节点的信息熵。所以信息增益的公式可以表示为

在这里插入图片描述

公式中 D 是父亲节点,Di 是子节点,Gain(D,a) 中的 a 作为 D 节点的属性选择。

5.2.使用ID3算法进行决策树的构造

我们根据信息增益的公式来算一个各个属性的信息增益是多少,来选择更合适的属性当做根节点

7条数据,根据结果4条不见面,3条见面,所以根节点的信息熵是:

Entropy(D)=-(4/7log2 4/7+3/7log2 3/7)=0.985

如果将经济条件当做属性划分,则有三个子节点,分别为有钱、一般、没钱,我们用D1,D2,D3标识,他们对应的见面结果我们用+,-表示。那么经济条件作为属性节点的计算方式如下:

经济条件信息增益

  • D1(经济条件=有钱)={1-,2-,6+}=Ent(D1)=-(2/3log2 2/3+1/3log2 1/3)=0.918
  • D2(经济条件=一般)={3+,7-}=Ent(D2)=-(1/2log2 1/2+1/2log2 1/2)=1
  • D3(经济条件=没钱)={4+,5-}=Ent(D2)=-(1/2log2 1/2+1/2log2 1/2)=1

信息熵归一化 3/70.918+2/71+2/7*1=0.965

以经济条件作为属性节点的信息增益为Gain(D,经济)=0.985-0.965=0.020 同理,其他属性作为根节点的信息增益计算方式如下:

身高信息增益

  • D1(身高=高)={5-}=Ent(D1)=-(1log2 1+1log2 1)=0
  • D2(身高=一般)={6+,7--}=Ent(D2)=-(1/2log2 1/2+1/2log2 1/2)=1
  • D3(身高=低)={1-,2-,3+,4+}=Ent(D2)=-(1/2log2 1/2+1/2log2 1/2)=1

归一化信息熵为:1/70+2/71+4/7*1=0.857

信息增益为:Gain(D,经济条件)=0.985-0.857=0.128

长相信息增益

  • D1(长相=帅)={3+,4+-,5-,6-}=Ent(D1)=-(2/4log2 2/4+2/4log2 2/4)=1
  • D2(长相=不帅)={1-,2-,6+}=Ent(D2)=-(2/3log2 2/3+1/3log2 1/3)=0.918

归一化信息熵为: 4/71+3/70.918=0.965 信息增益为:Gain(D,长相)=0.985-0.965=0.02

得到每个属性当做属性节点的归一化信息熵和信息增益数据如下:

属性归一化信息熵信息增益
经济0.9650.02
身高0.8570.128
长相0.9650.02
附加0.9650.02

所以以身高作为根节点则信息增益最大,ID3算法就是以信息增益最大的节点当做父节点,获取纯度高的决策树。因此以身高当做根节点,那么决策树形状如下

在这里插入图片描述

继续往下划分,以低属性节点继续往下分,计算不同属性的信息增益

长相

  • D1(长相=帅)={3+,4+}=Ent(D1)=-(1log2 1 +10log2 0)=0
  • D2(长相=不帅)={1-,2-}=Ent(D2)=-(1log2 1 +10log2 0)=0

归一化信息熵为 0

信息增益为Gain(D,长相)=1-0=1

经济条件

  • D1(经济条件=有钱)={1-,2-}=Ent(D1)=-(1log2 1 +1log2 1)=0
  • D2(经济条件=一般)={3+}=Ent(D2)=-(1log2 1 +1log2 1)=0
  • D3(经济条件=没钱)={4+}=Ent(D2)=0

归一化信息熵为 0

信息增益为Gain(D,经济条件)=1-0=1

附加

  • D1(其他优点=有)={1-,3+,4+}=Ent(D1)=-(1/3log2 1/3 +2/3log2 2/3)=0.918
  • D2(其他优点=无)={2-}=Ent(D2)=-(1log2 1 +1log2 1)=0

归一化信息熵为 3/40.918+1/40 = 0.6885

信息增益为Gain(D,经济条件)=1-0.689=0.3115

属性归一化信息熵信息增益
长相01
经济01
附加0.68850.3115

可以看到长相和经济条件可以得到最大的信息增益,可以选择长相或者经济作为下一个节点的的属性节点

在这里插入图片描述

这样我们一颗决策树就构建好了,根据对方提供的条件通过决策树来决定到底该不该见面**。**

ID3 的算法规则相对简单,可解释性强。同样也存在缺陷,比如我们会发现 ID3 算法倾向于选择取值比较多的属性。

ID3 有一个缺陷就是,有些属性可能对分类任务没有太大作用,但是他们仍然可能会被选为最优属性。这种缺陷不是每次都会发生,只是存在一定的概率。在大部分情况下,ID3 都能生成不错的决策树分类。针对可能发生的缺陷,后人提出了新的算法进行改进,那就是C4.5。

6.C4.5算法

6.1.C4.5算法的思路

1.采用信息增益率

因为 ID3 在计算的时候,倾向于选择取值多的属性。为了避免这个问题,C4.5 采用信息增益率的方式来选择属性。信息增益率 = 信息增益 / 属性熵。

2.采用悲观剪枝

ID3 构造决策树的时候,容易产生过拟合的情况。在 C4.5 中,会在决策树构造之后采用悲观剪枝(PEP),这样可以提升决策树的泛化能力。

悲观剪枝是后剪枝技术中的一种,通过递归估算每个内部节点的分类错误率,比较剪枝前后这个节点的分类错误率来决定是否对其进行剪枝。这种剪枝方法不再需要一个单独的测试数据集。

3.离散化处理连续属性

C4.5 可以处理连续属性的情况,对连续的属性进行离散化的处理。比如相亲存在的“身高”属性,不按照“高、低”划分,而是按照身高高度进行计算,那么身高取什么值都有可能。

C4.5 选择具有最高信息增益的划分所对应的阈值。

4.处理缺失值

6.2.C4.5算法如何处理缺失值

我们看下面这组数据,身高数据集存在丢失的情况下,如何进行属性选择?如果已经做了属性划分,但是样本在这个属性上有缺失又该怎么对样本进行划分呢?

image.png

如果不考虑确实的信息,身高的信息可以表示={2-,3+,4+,5-,6+,7-},计算属性的信息熵

  • 身高=低=D1={2-,3+,4+} 信息熵=-(1/3 log2 1/3+2/3 log2/3)=0.918
  • 身高=一般=D2={6+,7-} 信息熵=-(1/2 log2 1/2+1/2 log1/2)=1
  • 身高=高=D3={5-} 信息熵=-(1 log2 1)=0
  • 计算信息增益Gain(D,身高)=Ent(D)-0.792=1-0.792=0.208
  • 属性熵 =-3/6log3/6 - 1/6log1/6 - 2/6log2/6=1.459
  • 信息增益率 Gain_ratio(D′, 身高)=0.208/1.459=0.1426

D′的样本个数为 6,而 D 的样本个数为 7,所以所占权重比例为 6/7,所以 Gain(D′,身高) 所占权重比例为 6/7,所以:Gain_ratio(D, 身高)=6/7*0.1426=0.122。

这样即使在身高属性的数值有缺失的情况下,我们依然可以计算信息增益,并对属性进行选择。

7.总结

7.1.C4.5算法和ID3算法的对比

ID3算法

优点:

  • 算法简单,通俗易懂

缺陷:

  • 无法处理缺失值
  • 只能处理离散值,无法处理连续值
  • 用信息增益作为划分规则,存在偏向于选择取值较多的特征。因为特征取值越多,说明划分的不确定性越低,信息增益则越高
  • 容易出现过拟合

C4.5算法

优点:

  • 能够处理缺省值
  • 能对连续值做离散处理
  • 使用信息增益比,能够避免偏向于选择取值较多的特征。因为信息增益比=信息增益/属性熵,属性熵是根据属性的取值来计算的,一相除就会抵消掉
  • 在构造树的过程中,会剪枝,减少过拟合

缺点:

  • 构造决策树,需要对数据进行多次扫描和排序,效率低

因此大家可以根据实际使用场景来选择不同的算法。

本章给大家介绍了下决策树的一些重要知识点和算法,下篇给大家介绍下如何代码实现决策树。

本文正在参加「金石计划」