LeetCode热题(JS版)- 142. 环形链表 II

72 阅读3分钟

题目

给定一个链表的头节点  head ,返回链表开始入环的第一个节点。 如果链表无环,则返回 null。

如果链表中有某个节点,可以通过连续跟踪 next 指针再次到达,则链表中存在环。 为了表示给定链表中的环,评测系统内部使用整数 pos 来表示链表尾连接到链表中的位置(索引从 0 开始)。如果 pos 是 -1,则在该链表中没有环。注意:pos 不作为参数进行传递,仅仅是为了标识链表的实际情况。

不允许修改 链表。

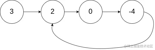
示例 1:

image.png

输入:head = [3,2,0,-4], pos = 1
输出:返回索引为 1 的链表节点
解释:链表中有一个环,其尾部连接到第二个节点。

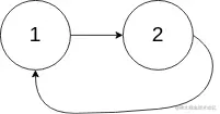
示例 2:

image.png

输入:head = [1,2], pos = 0
输出:返回索引为 0 的链表节点
解释:链表中有一个环,其尾部连接到第一个节点。

示例 3:

image.png

输入:head = [1], pos = -1
输出:返回 null
解释:链表中没有环。

提示:

链表中节点的数目范围在范围 [0, 104] 内
-105 <= Node.val <= 105
pos 的值为 -1 或者链表中的一个有效索引

进阶:你是否可以使用 O(1) 空间解决此题?

思路: 快慢指针找环,fast从相遇点,slow从head出发会在入口相遇

这道题目是链表题目,需要我们判断链表是否存在环,并找到环的入口节点。为了解决这个问题,我们可以使用快慢指针的思想。具体来说,我们可以定义两个指针,一个慢指针 slow,一个快指针 fast,初始时都指向链表的头节点。然后,我们让 slow 每次向后移动一个节点,fast 每次向后移动两个节点。如果链表中存在环,那么 fast 指针一定会在某个时刻追上 slow 指针,此时说明链表存在环。如果链表不存在环,那么 fast 指针会走到链表的尾部,此时说明链表不存在环。当我们确定链表存在环之后,我们可以继续使用快慢指针的思想,找到环的入口节点。具体来说,我们可以让 slow 指针回到链表的头节点,然后让 slow 和 fast 指针都每次向后移动一个节点,直到 slow 和 fast 指针相遇。此时,slow 指针所在的节点就是环的入口节点。注意:在确定链表存在环之后,需要先让 fast 指针移动一个节点,否则可能会陷入死循环。

/**
 * Definition for singly-linked list.
 * class ListNode {
 *     val: number
 *     next: ListNode | null
 *     constructor(val?: number, next?: ListNode | null) {
 *         this.val = (val===undefined ? 0 : val)
 *         this.next = (next===undefined ? null : next)
 *     }
 * }
 */

function detectCycle(head: ListNode | null): ListNode | null {
    // 异常处理
    if(!head) return null;

    // 快慢指针,先看有没有环
    let slow = head;
    let fast = head;
    while(fast && fast.next) {
        slow = slow ? slow.next : null;
        fast = fast.next.next;
        if(slow === fast) break;
    }

    // 没有环
    if(!fast || !fast.next) return null;

    // 说明同时从头节点和相遇节点出发的两个指针,每次走 1 步,最终会在入口处相遇。
    slow = head;
    while(slow !== fast) {
        slow = slow ? slow.next : null;
        fast = fast.next;
    }
    return slow;
};

image.png

总结

  • 时间复杂度 这道题目需要对链表中的所有节点进行遍历,因此时间复杂度为 O(n),其中 n 是链表的长度。
  • 空间复杂度为 O(1),因为我们只使用了常数个变量。

证明参考:zhuanlan.zhihu.com/p/410356891

同时从头节点和相遇节点出发的两个指针,每次走 1 步,最终会在入口处相遇。