LeetCode热题(JS版)- 160. 相交链表

69 阅读3分钟

题目 给你两个单链表的头节点 headA 和 headB ,请你找出并返回两个单链表相交的起始节点。如果两个链表不存在相交节点,返回 null 。

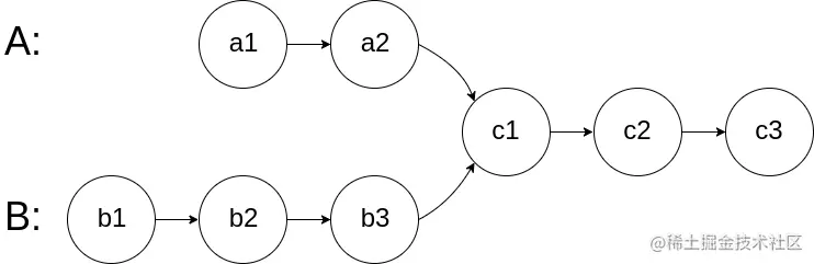
图示两个链表在节点 c1 开始相交:

image.png

题目数据 保证 整个链式结构中不存在环。

注意,函数返回结果后,链表必须 保持其原始结构 。

自定义评测:

评测系统 的输入如下(你设计的程序 不适用 此输入):

intersectVal - 相交的起始节点的值。如果不存在相交节点,这一值为 0
listA - 第一个链表
listB - 第二个链表
skipA - 在 listA 中(从头节点开始)跳到交叉节点的节点数
skipB - 在 listB 中(从头节点开始)跳到交叉节点的节点数
评测系统将根据这些输入创建链式数据结构,并将两个头节点 headA 和 headB 传递给你的程序。如果程序能够正确返回相交节点,那么你的解决方案将被 视作正确答案 。

 

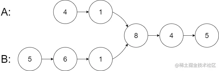
示例 1:

image.png

输入:intersectVal = 8, listA = [4,1,8,4,5], listB = [5,6,1,8,4,5], skipA = 2, skipB = 3
输出:Intersected at '8'
解释:相交节点的值为 8 (注意,如果两个链表相交则不能为 0)。
从各自的表头开始算起,链表 A[4,1,8,4,5],链表 B[5,6,1,8,4,5]。
在 A 中,相交节点前有 2 个节点;在 B 中,相交节点前有 3 个节点。
— 请注意相交节点的值不为 1,因为在链表 A 和链表 B 之中值为 1 的节点 (A 中第二个节点和 B 中第三个节点) 是不同的节点。换句话说,它们在内存中指向两个不同的位置,而链表 A 和链表 B 中值为 8 的节点 (A 中第三个节点,B 中第四个节点) 在内存中指向相同的位置。

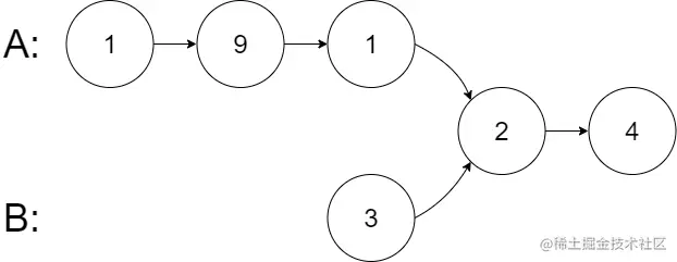
示例 2:

image.png

输入:intersectVal = 2, listA = [1,9,1,2,4], listB = [3,2,4], skipA = 3, skipB = 1
输出:Intersected at '2'
解释:相交节点的值为 2 (注意,如果两个链表相交则不能为 0)。
从各自的表头开始算起,链表 A[1,9,1,2,4],链表 B[3,2,4]。
在 A 中,相交节点前有 3 个节点;在 B 中,相交节点前有 1 个节点。

示例 3:

image.png

输入:intersectVal = 0, listA = [2,6,4], listB = [1,5], skipA = 3, skipB = 2
输出:null
解释:从各自的表头开始算起,链表 A[2,6,4],链表 B[1,5]。
由于这两个链表不相交,所以 intersectVal 必须为 0,而 skipA 和 skipB 可以是任意值。
这两个链表不相交,因此返回 null 。

提示:

listA 中节点数目为 m
listB 中节点数目为 n
1 <= m, n <= 3 * 104
1 <= Node.val <= 105
0 <= skipA <= m
0 <= skipB <= n
如果 listA 和 listB 没有交点,intersectVal 为 0
如果 listA 和 listB 有交点,intersectVal == listA[skipA] == listB[skipB]

进阶:你能否设计一个时间复杂度 O(m + n) 、仅用 O(1) 内存的解决方案?

思路: 同长度遍历

/**
 * Definition for singly-linked list.
 * class ListNode {
 *     val: number
 *     next: ListNode | null
 *     constructor(val?: number, next?: ListNode | null) {
 *         this.val = (val===undefined ? 0 : val)
 *         this.next = (next===undefined ? null : next)
 *     }
 * }
 */

function getIntersectionNode(headA: ListNode | null, headB: ListNode | null): ListNode | null {
    // 异常处理
    if(!headA || !headB) return null;

    // 求出两个链表的长度
    let lenA = 0;
    let lenB = 0;
    let pA = headA;
    let pB = headB;
    while(pA) {
        lenA++;
        pA = headA.next;
    }
    while(pB) {
        lenB++;
        pB = headB.next;
    }

    // 后面长度都一样,让两个链表从同样长度的起点开始,让长的先跑39米
    pA = headA;
    pB = headB;
    const abs = Math.abs(lenB - lenA);
    if(lenB > lenA) {
        let i = 0;
        while(i++ < abs) {
            pB = headB.next;
        }
    } else {
        let i = 0;
        while(i++ < abs) {
            pA = headA.next;
        }
    }

    // 找第一个相同的节点
    while(pA && pB) {
        if(pA === pB) return pA
        pA = pA.next;
        pB = pB.next;
    }

    return null;
};

但是时间复杂度高

思路:优化版,使用双指针

如何消除长度差。通过交换头指针,最多都走m + n次,则都到达尾部null,所以不会死循环。

感觉属于奇技淫巧,没有什么通用性。考这种题没意思,练习下思维还可以。

/**
 * Definition for singly-linked list.
 * class ListNode {
 *     val: number
 *     next: ListNode | null
 *     constructor(val?: number, next?: ListNode | null) {
 *         this.val = (val===undefined ? 0 : val)
 *         this.next = (next===undefined ? null : next)
 *     }
 * }
 */

function getIntersectionNode(headA: ListNode | null, headB: ListNode | null): ListNode | null {
    // 异常处理
    if(!headA || !headB) return null;

    let pA = headA;
    let pB = headB;
    while(pA !== pB) {
        pA = pA ? pA.next : headB;
        pB = pB ? pB.next : headA;
    }

    return pA;
};

image.png

参考资料:blog.csdn.net/csh18072664…