Remove Linked List Elements

64 阅读1分钟

Description

Given the head of a linked list and an integer val, remove all the nodes of the linked list that has Node.val == val, and return the new head.

Example 1:

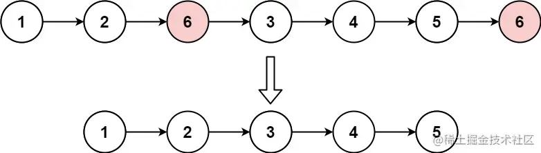
Input: head = [1,2,6,3,4,5,6], val = 6
Output: [1,2,3,4,5]

Example 2:

Input: head = [], val = 1
Output: []

Example 3:

Input: head = [7,7,7,7], val = 7
Output: []

Constraints:

  • The number of nodes in the list is in the range [0, 104].
  • 1 <= Node.val <= 50
  • 0 <= val <= 50

Solution

The next value of each element is a smaller question in a linked list, using recursion to solve is very easy.

1) Finding the basic cases

  • Whether the given linked list is empty.
  • Whether the current linked list value is equal to the given val

2) Finding the recursive relationship

  • Each recursive call passes in the next node.
public static ListNode removeElements(ListNode head, int val) {
    if (head == null) {
        return null;
    }
    head.next = removeElements(head.next, val);
    return head.val == val ? head.next : head;
}

Time Complexity

O(n)