算法训练Day3

66 阅读3分钟

移除链表元素

CategoryDifficultyLikesDislikesContestSlugProblemIndexScore
algorithmsEasy (54.74%)11950--0
Tags

递归 | 链表

Companies

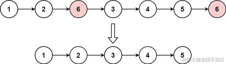
给你一个链表的头节点 head 和一个整数 val ,请你删除链表中所有满足 Node.val == val 的节点,并返回 新的头节点

示例 1:

img

输入:head = [1,2,6,3,4,5,6], val = 6
输出:[1,2,3,4,5]

示例 2:

输入:head = [], val = 1
输出:[]

示例 3:

输入:head = [7,7,7,7], val = 7
输出:[]

提示:

  • 列表中的节点数目在范围 [0, 104]
  • 1 <= Node.val <= 50
  • 0 <= val <= 50

Discussion | Solution

自己写的错误代码(恶心)

struct ListNode {
    int val;
    ListNode *next;
    ListNode() : val(0), next(nullptr) {};
    ListNode(int x) : val(x), next(nullptr) {};
    ListNode(int x, ListNode *next) : val(x), next(next) {};
 };
 
class Solution {
public:
    ListNode* removeElements(ListNode* head, int val) {
        ListNode* p ,*q;
        p = head,q = head->next;
        while(q){
            if(p->val==val&& p == head){
                 head = q;
            }else if(p->val==val) {
                p = q->next;
            }
            p = p->next;
            q = q->next;
        }
        return head;
    }
};

正确答案(原链表操作)


class Solution {
public:
    ListNode* removeElements(ListNode* head, int val) {
       //删除头结点
       while(head != NULL && head->val == val) {
        ListNode* tmp = head;
        head = head->next;
        delete tmp;
       }
        //删除非头结点
       ListNode* cur = head;
       while(cur != NULL && cur->next != NULL ) {
            if(cur->next->val == val) {
                ListNode* tmp =cur->next;
                cur->next = cur->next->next;
                delete tmp;
            }else {
                cur = cur->next;
            }
       }
        return head;
    }
};

设置一个虚拟头结点在进行移除节点操作:

class Solution {
public:
    ListNode* removeElements(ListNode* head, int val) {
        ListNode* dummyHead = new ListNode(0); // 设置一个虚拟头结点
        dummyHead->next = head; // 将虚拟头结点指向head,这样方面后面做删除操作
        ListNode* cur = dummyHead;
        while (cur->next != NULL) {
            if(cur->next->val == val) {
                ListNode* tmp = cur->next;
                cur->next = cur->next->next;
                delete tmp;
            } else {
                cur = cur->next;
            }
        }
        head = dummyHead->next;
        delete dummyHead;
        return head;
    }
};

设计链表

CategoryDifficultyLikesDislikesContestSlugProblemIndexScore
algorithmsMedium (34.70%)7760--0
Tags

Companies

你可以选择使用单链表或者双链表,设计并实现自己的链表。

单链表中的节点应该具备两个属性:valnextval 是当前节点的值,next 是指向下一个节点的指针/引用。

如果是双向链表,则还需要属性 prev 以指示链表中的上一个节点。假设链表中的所有节点下标从 0 开始。

实现 MyLinkedList 类:

  • MyLinkedList() 初始化 MyLinkedList 对象。

  • int get(int index) 获取链表中下标为 index 的节点的值。如果下标无效,则返回 -1

  • void addAtHead(int val) 将一个值为 val 的节点插入到链表中第一个元素之前。在插入完成后,新节点会成为链表的第一个节点。

  • void addAtTail(int val) 将一个值为 val 的节点追加到链表中作为链表的最后一个元素。

  • void addAtIndex(int index, int val) 将一个值为 val 的节点插入到链表中下标为 index 的节点之前。如果 index 等于链表的长度,那么该节点会被追加到链表的末尾。如果 index 比长度更大,该节点将 不会插入 到链表中。

  • void deleteAtIndex(int index) 如果下标有效,则删除链表中下标为 index 的节点。

示例:

输入
["MyLinkedList", "addAtHead", "addAtTail", "addAtIndex", "get", "deleteAtIndex", "get"]
[[], [1], [3], [1, 2], [1], [1], [1]]
输出
[null, null, null, null, 2, null, 3]

解释
MyLinkedList myLinkedList = new MyLinkedList();
myLinkedList.addAtHead(1);
myLinkedList.addAtTail(3);
myLinkedList.addAtIndex(1, 2);    // 链表变为 1->2->3
myLinkedList.get(1);              // 返回 2
myLinkedList.deleteAtIndex(1);    // 现在,链表变为 1->3
myLinkedList.get(1);              // 返回 3

提示:

  • 0 <= index, val <= 1000
  • 请不要使用内置的 LinkedList 库。
  • 调用 getaddAtHeadaddAtTailaddAtIndexdeleteAtIndex 的次数不超过 2000

Discussion | Solution

采用虚拟结点解法

class MyLinkedList {
public:
    struct LinkedNode {
        int val;
        LinkedNode* next;
        LinkedNode(int val)
        :val(val)
        ,next(nullptr)
        {

        } 
    };

    MyLinkedList() {
        _dummyHead = new LinkedNode(0);
        _size = 0;
    }
    
    int get(int index) {
        if(index > (_size-1) || index < 0) {
            return -1;
        }
        LinkedNode* cur = _dummyHead->next;
        while(index--) {
            cur = cur->next;
        }
        return cur->val;
    }
    
    void addAtHead(int val) {
        LinkedNode* newNode = new LinkedNode(val);
        newNode->next = _dummyHead->next;
        _dummyHead->next = newNode;
        _size++;
    }
    
    void addAtTail(int val) {
        LinkedNode * newNode = new LinkedNode(val);
        LinkedNode* cur = _dummyHead;
        while(cur->next != nullptr) {
            cur = cur->next;
        }
        cur->next = newNode;
        _size++;
    }
    
    void addAtIndex(int index, int val) {
        if(index > _size) return;
        if(index < 0) index = 0;
        LinkedNode* newNode = new LinkedNode(val);
        LinkedNode* cur = _dummyHead;
        while(index--) {
            cur = cur->next;
        }
        newNode->next = cur->next;
        cur->next = newNode;
        _size++;
    }
    
    void deleteAtIndex(int index) {
        if(index >= _size || index < 0) return ;
        LinkedNode* cur = _dummyHead;
        while(index--) {
            cur = cur->next;
        }
        LinkedNode* tmp = cur->next;
        cur->next = cur->next->next;
        delete tmp;
        _size--;

    }

    void printfLinkedNode() {
        LinkedNode* cur = _dummyHead;
        while(cur->next != nullptr) {
            cout << cur->next->val << " ";
            cur = cur->next->next;
        }
        cout << endl;
    }

private:
    int _size;
    LinkedNode* _dummyHead;
};

反转链表

CategoryDifficultyLikesDislikesContestSlugProblemIndexScore
algorithmsEasy (73.48%)30340--0
Tags

Companies

给你单链表的头节点 head ,请你反转链表,并返回反转后的链表。

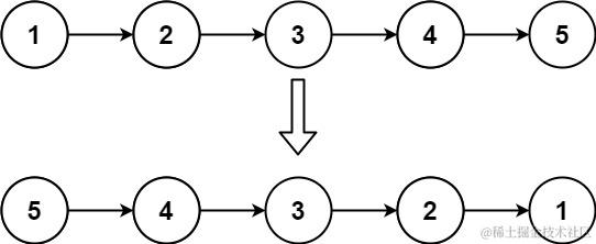
示例 1:

img

输入:head = [1,2,3,4,5]
输出:[5,4,3,2,1]

示例 2:

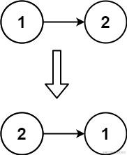
img

输入:head = [1,2]
输出:[2,1]

示例 3:

输入:head = []
输出:[]

提示:

  • 链表中节点的数目范围是 [0, 5000]

  • -5000 <= Node.val <= 5000

**进阶:**链表可以选用迭代或递归方式完成反转。你能否用两种方法解决这道题?


Discussion | Solution

/*
  struct ListNode {
      int val;
      ListNode *next;
      ListNode() : val(0), next(nullptr) {}
      ListNode(int x) : val(x), next(nullptr) {}
      ListNode(int x, ListNode *next) : val(x), next(next) {}
  };
 */
class Solution {
public:
    ListNode* reverseList(ListNode* head) {
        ListNode* pre = nullptr;
        ListNode* cur = head;
        ListNode* tmp ;
        while(cur) {
            tmp = cur->next;
            cur->next = pre;
            pre = cur;
            cur = tmp;
        }
        return pre;
    }
};

分析总结

第一遍刷题总是有点慢,不过慢慢来吧,建议大家10分钟没思路,立马看题解。