LeetCode热题(JS版)- 141. 环形链表

45 阅读2分钟

题目

给你一个链表的头节点 head ,判断链表中是否有环。

如果链表中有某个节点,可以通过连续跟踪 next 指针再次到达,则链表中存在环。 为了表示给定链表中的环,评测系统内部使用整数 pos 来表示链表尾连接到链表中的位置(索引从 0 开始)。注意:pos 不作为参数进行传递 。仅仅是为了标识链表的实际情况。

如果链表中存在环 ,则返回 true 。 否则,返回 false 。

 

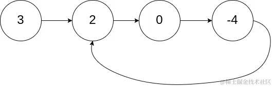
示例 1:

image.png

输入:head = [3,2,0,-4], pos = 1
输出:true
解释:链表中有一个环,其尾部连接到第二个节点。

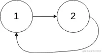
示例 2:

image.png

输入:head = [1,2], pos = 0
输出:true
解释:链表中有一个环,其尾部连接到第一个节点。

示例 3:

image.png

输入:head = [1], pos = -1
输出:false
解释:链表中没有环。

提示:

链表中节点的数目范围是 [0, 104]
-105 <= Node.val <= 105
pos 为 -1 或者链表中的一个 有效索引 。

进阶:

你能用 O(1)(即,常量)内存解决此问题吗?

思路:快慢指针

本题可以采用快慢指针的方法来解决。我们定义两个指针,一个慢指针 slow,一次走一步;一个快指针 fast,一次走两步。如果链表中存在环,那么这两个指针肯定会在环上相遇。 具体实现时,我们可以先判断链表是否为空或只有一个节点,如果是的话直接返回 false。然后我们定义快慢指针,将它们都指向头节点,接着我们对链表进行遍历,每次快指针走两步,慢指针走一步,如果快指针为空或快指针的 next 节点为空,说明链表中不存在环,直接返回 false;如果快慢指针相遇了,说明链表中存在环,返回 true 即可。

/**
 * Definition for singly-linked list.
 * class ListNode {
 *     val: number
 *     next: ListNode | null
 *     constructor(val?: number, next?: ListNode | null) {
 *         this.val = (val===undefined ? 0 : val)
 *         this.next = (next===undefined ? null : next)
 *     }
 * }
 */

function hasCycle(head: ListNode | null): boolean {
    // 异常处理
    if(!head || !head.next) return false;

    // 快慢指针
    let fast: ListNode | null = head;
    let low: ListNode | null = head;
    while(fast && fast.next) {
        low = low.next;
        fast = fast.next.next;
        if(low === fast) return true;
    }

    return false;
};

image.png

总结

  • 时间复杂度:O(n),其中 n 是链表的长度。最坏情况下,链表中不存在环,快指针需要遍历整个链表,时间复杂度是 O(n);最好情况下,链表中存在环,快指针只需要遍历一次就可以发现环,时间复杂度是 O(n/2),即 O(n)。
  • 空间复杂度:O(1),只使用了常量级别的额外空间。
  • 本题是一道比较典型的快慢指针的应用题,时间复杂度为 O(n),空间复杂度为 O(1)。可以通过快慢指针的方法判断链表是否存在环。