算法训练Day4

72 阅读5分钟

两两交换链表中的节点

我是用vs code 刷LeetCode题的,下个插件可以免费调式,长这样。写博客是用的Typora通过PicGo连接阿里云做图床,本地写好后,一键上传.md文档就可以了,很便捷,虽然刚开始博客仅仅是记录过程。但坚持最重要,后续质量会有所提高。

image-20230319090807015

CategoryDifficultyLikesDislikesContestSlugProblemIndexScore
algorithmsMedium (71.30%)17600--0
Tags

递归 | 链表

Companies

给你一个链表,两两交换其中相邻的节点,并返回交换后链表的头节点。你必须在不修改节点内部的值的情况下完成本题(即,只能进行节点交换)。

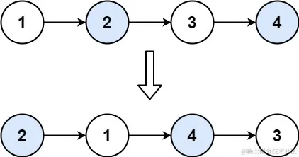
示例 1:

img

输入:head = [1,2,3,4]
输出:[2,1,4,3]

示例 2:

输入:head = []
输出:[]

示例 3:

输入:head = [1]
输出:[1]

提示:

  • 链表中节点的数目在范围 [0, 100]
  • 0 <= Node.val <= 100

Discussion | Solution

题解(使用虚拟结点并找到循环不变式)

#if 0
  struct ListNode {
      int val;
      ListNode *next;
      ListNode() : val(0), next(nullptr) {}
      ListNode(int x) : val(x), next(nullptr) {}
      ListNode(int x, ListNode *next) : val(x), next(next) {}
  };
 #endif
class Solution {
public:
    ListNode* swapPairs(ListNode* head) {
        ListNode* dummyHead = new ListNode(0);
        dummyHead->next = head;
        ListNode* cur = dummyHead;
        while(cur->next != nullptr && cur->next->next != nullptr) {
            ListNode* tmp = cur->next;
            ListNode* tmp1 = cur->next->next->next;

            cur->next = cur->next->next;
            cur->next->next = tmp;
            cur->next->next->next = tmp1;
            
            cur = cur->next->next;
        }
        return dummyHead->next;
    }
};

删除链表的倒数第 N 个结点

CategoryDifficultyLikesDislikesContestSlugProblemIndexScore
algorithmsMedium (45.31%)24650--0
Tags

链表 | 双指针

Companies

给你一个链表,删除链表的倒数第 n 个结点,并且返回链表的头结点。

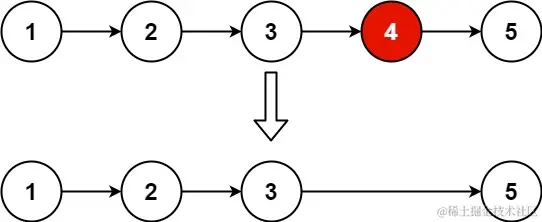
示例 1:

img

输入:head = [1,2,3,4,5], n = 2
输出:[1,2,3,5]

示例 2:

输入:head = [1], n = 1
输出:[]

示例 3:

输入:head = [1,2], n = 1
输出:[1]

提示:

  • 链表中结点的数目为 sz

  • 1 <= sz <= 30

  • 0 <= Node.val <= 100

  • 1 <= n <= sz

**进阶:**你能尝试使用一趟扫描实现吗?


Discussion | Solution

错误题解记录

class Solution {
public:
    ListNode* removeNthFromEnd(ListNode* head, int n) {
        ListNode* dummyHead = new ListNode(0);
        dummyHead->next = head;
        ListNode* slow = dummyHead;
        ListNode* fast = dummyHead;
         fast = fast->next;
        while(fast){
            while(n--&&fast!=nullptr) {
            fast = fast->next;
        }
            slow = slow->next;
            fast = fast->next;//注意这里一直会报空指针错误
        }
        slow->next = slow->next->next;
 #if 0 //释放      
       ListNode* tmp = slow->next;
        slow->next= tmp->next;
        delete tmp;
#endif
        return dummyHead->next;
    }
};

正确题解

#if 0
  struct ListNode {
      int val;
      ListNode *next;
      ListNode() : val(0), next(nullptr) {}
      ListNode(int x) : val(x), next(nullptr) {}
      ListNode(int x, ListNode *next) : val(x), next(next) {}
  };
#endif
class Solution {
public:
    ListNode* removeNthFromEnd(ListNode* head, int n) {
        ListNode* dummyHead = new ListNode(0);
        dummyHead->next = head;
        ListNode* slow = dummyHead;
        ListNode* fast = dummyHead;
        while(n--&&fast!=nullptr) {
            fast = fast->next;
        }
         fast = fast->next;
        while(fast){
            slow = slow->next;
            fast = fast->next;
        }
        slow->next = slow->next->next;
 #if 0 //释放      
       ListNode* tmp = slow->next;
        slow->next= tmp->next;
        delete tmp;
#endif
        return dummyHead->next;
    }
};

链表相交

CategoryDifficultyLikesDislikesContestSlugProblemIndexScore
LCCIEasy (66.59%)3320--0
Tags

Companies

给你两个单链表的头节点 headAheadB ,请你找出并返回两个单链表相交的起始节点。如果两个链表没有交点,返回 null

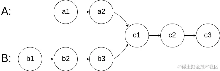
图示两个链表在节点 c1 开始相交**:**

img

题目数据 保证 整个链式结构中不存在环。

注意,函数返回结果后,链表必须 保持其原始结构

示例 1:

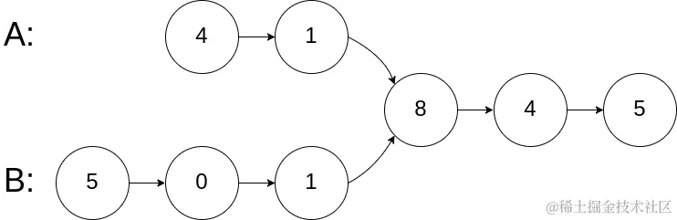
img

输入:intersectVal = 8, listA = [4,1,8,4,5], listB = [5,0,1,8,4,5], skipA = 2, skipB = 3
输出:Intersected at '8'
解释:相交节点的值为 8 (注意,如果两个链表相交则不能为 0)。
从各自的表头开始算起,链表 A[4,1,8,4,5],链表 B[5,0,1,8,4,5]。
在 A 中,相交节点前有 2 个节点;在 B 中,相交节点前有 3 个节点。

示例 2:

img

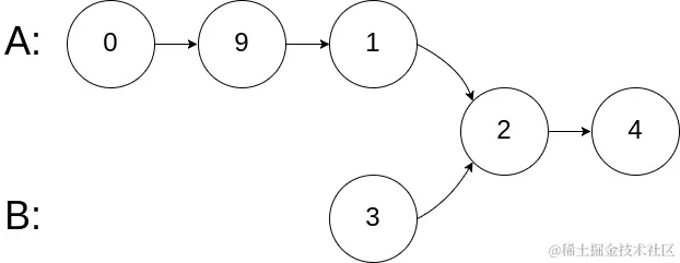
输入:intersectVal = 2, listA = [0,9,1,2,4], listB = [3,2,4], skipA = 3, skipB = 1
输出:Intersected at '2'
解释:相交节点的值为 2 (注意,如果两个链表相交则不能为 0)。
从各自的表头开始算起,链表 A[0,9,1,2,4],链表 B[3,2,4]。
在 A 中,相交节点前有 3 个节点;在 B 中,相交节点前有 1 个节点。

示例 3:

img

输入:intersectVal = 0, listA = [2,6,4], listB = [1,5], skipA = 3, skipB = 2
输出:null
解释:从各自的表头开始算起,链表 A[2,6,4],链表 B[1,5]。
由于这两个链表不相交,所以 intersectVal 必须为 0,而 skipA 和 skipB 可以是任意值。
这两个链表不相交,因此返回 null 。

提示:

  • listA 中节点数目为 m

  • listB 中节点数目为 n

  • 0 <= m, n <= 3 * 104

  • 1 <= Node.val <= 105

  • 0 <= skipA <= m

  • 0 <= skipB <= n

  • 如果 listAlistB 没有交点,intersectVal0

  • 如果 listAlistB 有交点,intersectVal == listA[skipA + 1] == listB[skipB + 1]

**进阶:**你能否设计一个时间复杂度 O(n) 、仅用 O(1) 内存的解决方案?


Discussion | Solution

题解(注意是指针相等而不是数值相等)

class Solution {
public:
    ListNode *getIntersectionNode(ListNode *headA, ListNode *headB) {
        ListNode* curA = headA;
        ListNode* curB = headB;
        int sizeA = 0 , sizeB = 0;
        //链表A的长度
           while(curA) {
            curA =  curA->next;
            sizeA++;
        }
        // 求链表B的长度
       while(curB) {
            curB = curB->next;
            sizeB++;
       }
       curA = headA;
       curB = headB;       
        // 让curA为最长链表的头,lenA为其长度
      if(sizeB > sizeA) {
        swap(sizeA,sizeB);
        swap(curA,curB);
      }
        // 求长度差
        int grp = sizeA - sizeB;

        // 让curA和curB在同一起点上(末尾位置对齐)
      while(grp--){
        curA = curA->next; 
      }

    // 遍历curA 和 curB,遇到相同则直接返回
    while(curA != nullptr) {
        if(curA == curB){
            return curA;
        }
        curA = curA->next;
        curB = curB->next;
    }
    return NULL;
    }
};
  • 时间复杂度:O(n + m)
  • 空间复杂度:O(1)

环形链表 II

CategoryDifficultyLikesDislikesContestSlugProblemIndexScore
algorithmsMedium (56.84%)20180--0
Tags

哈希表 | 链表 | 双指针

Companies

给定一个链表的头节点 head ,返回链表开始入环的第一个节点。 如果链表无环,则返回 null

如果链表中有某个节点,可以通过连续跟踪 next 指针再次到达,则链表中存在环。 为了表示给定链表中的环,评测系统内部使用整数 pos 来表示链表尾连接到链表中的位置(索引从 0 开始)。如果 pos-1,则在该链表中没有环。注意:pos 不作为参数进行传递,仅仅是为了标识链表的实际情况。

不允许修改 链表。

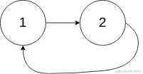
示例 1:

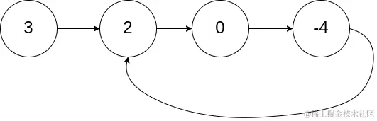
img

输入:head = [3,2,0,-4], pos = 1
输出:返回索引为 1 的链表节点
解释:链表中有一个环,其尾部连接到第二个节点。

示例 2:

img

输入:head = [1,2], pos = 0
输出:返回索引为 0 的链表节点
解释:链表中有一个环,其尾部连接到第一个节点。

示例 3:

img

输入:head = [1], pos = -1
输出:返回 null
解释:链表中没有环。

提示:

  • 链表中节点的数目范围在范围 [0, 104]

  • -105 <= Node.val <= 105

  • pos 的值为 -1 或者链表中的一个有效索引

**进阶:**你是否可以使用 O(1) 空间解决此题?


Discussion | Solution

快慢双指针解法(详细解释看文末链接)

#if 0 
struct ListNode {
     int val;
     ListNode *next;
     ListNode(int x) : val(x), next(nullptr) {}
 };
#endif
class Solution { 
public:
    ListNode *detectCycle(ListNode *head) {
        ListNode* fast = head;
        ListNode* slow = head;
        while(fast != nullptr && fast->next != nullptr) {
            slow = slow->next;
            fast = fast->next->next;

            if(slow == fast) {
                ListNode* index1 = fast;
                ListNode* index2 = head;
                while(index1 != index2) {
                    index1 = index1->next;
                    index2 = index2->next;
                }
                return index2;
            }
        }
        return nullptr;
    }
};

文章参考链接