源码剖析之AndroidStartup启动框架分析

1,343 阅读3分钟

简介

今天给大家带来一个高效的启动框架AndroidStartUp。既解决了不同任务之间的依赖关系,还能控制不同任务之间的初始化顺序。确保不同的初始化工作放在不同的线程执行。支持线程之间的异步等待。

篇幅较长,建议保存后阅读。文章末尾附带有代码地址。

使用步骤

1.分别定义两个SDk初始化任务InitSdkOne和InitSdkTwo,继承于AndroidStartup抽象类。

  • InitSdkOne

  • InitSdkTwo

2.将任务添加到初始化管理器

3.执行任务

从执行结果可以看出,InitSdkTwo任务虽然最后被添加到任务管理器,但是它优先在主线程中执行,而InitSdkTwo任务虽然是第一个被添加的,但是却最后执行,而且需要等主线程初始化完成后再执行。

设计模式

建造者设计模式

StartupManager内部使用内部类Builder用来构建StartupManager所需要的任务信息,同时使用AtomicInteger原子类记录需要等待的任务数。

核心算法

拓扑排序

拓扑排序主要是用来解决有向图中的依赖问题,我们将所有需要执行的任务构成一个有向图,根据任务之间的依赖性和执行顺序进行排序。

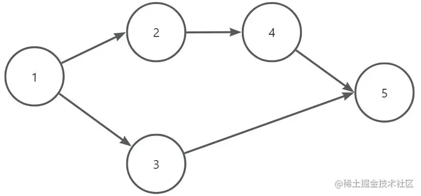
如下图所示:

有5个任务需要执行,如果要满足拓扑排序则需要满足以下要求:

  1. 任务1先执行且不需要依懒任何条件。
  2. 任务2和任务3则需要等任务1执行完毕才能执行。
  3. 任务4需要等任务2执行完毕才能执行。
  4. 任务5则需要等待任务3和任务4共同执行结束才能执行。

图中的带箭头的边可以看做任务之间的依赖关系,图中的圆代表任务,所有任务共同组成一个有向无环图。最终得到的任务排序为 1->3->2->4->5。

整体架构

  1. 定义任务分发接口:

Dispatcher分发接口中主要定义四个方法,callCreateMainThread(),waitOnMainThread(), toWait(),toNotify()。

  1. 定义任务接口。

定义Startup接口继承于Dispatcher和StartupExecutor,其中StartupExecutor用来提供线程池。同时在Startup中定义了四个方法,分别是create(),dependencies(),depedenciesByName(),getDependnciesCount()。

  1. 定义AndroidStartup抽象类,实现Startup接口,同时实现接口里的部分方法。

使用CountDownLatch用来控制线程之间的并发执行。

  1. 最后使用StartupManager添加任务并启动任务的执行。

StartupManager添加任务完成之后调用start方法即可执行任务的初始化,如果在使用StartupManager之前还有其他工作,那么就可以调用await等待主线程执行结束。

总结

AndroidStartup 使用拓扑排序解决了任务之间的依赖关系,同时支持子线程和主线程切换。子线程可以等待主线程任务执行结束之后在执行,保证了任务之间的有序性,目前只是实现了简单的任务的手动添加。后续通过注解,字节码插桩等其他方式完成任务的自动注入。“ 本文正在参加「金石计划」 ”

GitHub地址:github.com/AndroidYou/…