@[toc]
1、什么是DES
DES(Data Encryption Standard)是一种对称加密算法。它是在20世纪70年代初期由IBM研发的。它的设计目标是提供高度的数据安全性和性能,并且能够在各种硬件和软件平台上实现。
2、DES的基本概念
DES使用56位的密钥和64位的明文块进行加密。DES算法的分组大小是64位,因此,如果需要加密的明文长度不足64位,需要进行填充;如果明文长度超过64位,则需要使用分组模式进行分组加密。 虽然DES算法的分组大小是64位,但是由于DES算法的密钥长度只有56位,因此DES算法存在着弱点,容易受到暴力破解和差分攻击等攻击手段的威胁。因此,在实际应用中,DES算法已经不再被广泛使用,而被更加安全的算法所取代,如AES算法等。 尽管DES已经被取代,但它在密码学的历史上仍然具有重要意义。通过DES可以帮助我们了解对称密钥加密算法的基本概念和运作原理。
3、DES的加密流程
当输入了一条64位的数据之后,DES将通过以下步骤进行加密。在第4部分中,我们对每个流程进行详解。
-
1、初始置换(IP置换):将输入的64位明文块进行置换和重新排列,生成新的64位数据块。
-
2、加密轮次:DES加密算法共有16个轮次,每个轮次都包括四个步骤:
-
a. 将64位数据块分为左右两个32位块。
-
b. 右侧32位块作为输入,经过扩展、异或、置换等操作生成一个48位的数据块。这个48位的数据块被称为“轮密钥”,它是根据加密算法的主密钥生成的子密钥。
-
c. 将左侧32位块和轮密钥进行异或运算,结果作为新的右侧32位块。
-
d. 将右侧32位块与原来的左侧32位块进行连接,生成一个新的64位数据块,作为下一轮的输入。
-
-
3 末置换(FP置换):在最后一个轮次完成后,将经过加密的数据块进行置换和重新排列,得到加密后的64位密文。
总的来说,DES加密的过程就是通过一系列置换、异或、扩展等运算,将明文分成若干个小块,然后根据主密钥生成一系列的轮密钥,利用轮密钥对每个小块进行加密,最终将加密结果重新组合成一个整体,得到密文。
4、DES算法步骤详解
4.1 初始置换(Initial Permutation,IP置换)
IP置换是将输入的64位明文块进行置换和重新排列,生成新的64位数据块。
目的:增加加密的混乱程度,使明文中的每一位都能够对后面的加密过程产生影响,提高加密强度。
我们将把64位的顺序按下表中规定的顺序放置,图中的数字是在64位明文中每个比特的索引位置。注意,在DES中,这个置放规则是固定的。
即将原来位于第58个位置的数据放在第1个位置,原来位于第50个位置的元素放在第2个位置,第42个放在第3个,34->4以此类推......
初始置换的逆置换(Final Permutation,FP置换)是将加密后的数据块进行置换和重新排列,得到最终的加密结果,与初始置换相对应。
4.2 加密轮次
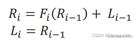
初始置换完成后,明文被划分成了相同长度(32位)的左右两部分,记作L0,R0。接下来就会进行16个轮次的加密了。
我们从单独一个轮次来看。首先把目光聚焦在R0这里。
右半部分R0会作为下一轮次的左半部分L1的输入。其次,R0会补位到48位和本轮次生成的48位K0(马上讲K0的生成)输入到F轮函数中去。F函数的输出结果为32位,结果
F(R0,K0)会和L0进行异或运算作为下一轮次右半部分R1的输入。
以此类推,重复16轮运算。所以,上面描述的过程可以用以下公式表述。
4.3 F轮函数
我们讲到在每轮加密中,会将R和K输入到F中,接下来我们看看F函数中做了哪些处理。
4.3.1 拓展R到48位
将32位的R0右半部分进行扩展,得到一个48位的数据块。同样的,数据拓展也是根据一个固定的置换表。红框中就是我们要补位的数据。
由此可见,扩展过程的每一位都是根据上述的置换表从输入的32位数据块中提取出来的。原始数据的第32位被补充到了新增列的第一个,第5位被补充到了第二个新增列的第一个,以此类推......
4.3.2 子密钥K的生成
DES算法采用了每轮子密钥生成的方式来增加密钥的复杂性和安全性。每轮子密钥都是由主密钥(64位)通过密钥调度算法(Key Schedule Algorithm)生成的。DES算法的密钥调度算法可以将64位的主密钥分成16个子密钥,每个子密钥48位,用于每轮加密中与输入数据进行异或运算。
通过子密钥生成的流程图来看下整个过程。
-
1、将64位主密钥经过置换选择1(Permuted Choice 1简写为PC-1)后输出了56位,将其分为左右两个28位的数据块,分别记为C0和D0。同上面我们讲过的置换规则一样,PC-1置换函数也是一个固定的置换表。
从PC-1的置换表中可以看到,舍弃掉的8位数据是原始数据中每8位数据的最后一位,也就是我们所熟知的奇偶检验位。这8位被丢弃是因为它们对于密钥的安全性没有贡献,而且能够使DES算法的计算速度更快。
-
2、对C0和D0进行循环左移操作。循环左移完成后生成C1和D1。因此,在16个轮次的计算当中会得到16个32位的数据块C1-C16和D1-D16。在DES中循环左移也有固定的规则。
对于i=1,2,...,16,对于Ci和Di,若i为1,2,9或16,则循环左移一位,否则循环左移两位。
-
3、 对于C1,D1,将它们经过置换选择2(Permuted Choice 2 简写位PC-2)后,得到48位的子密钥K1,用于每轮加密中与输入数据进行异或运算。PC-2置换的输入是由PC-1置换生成的56位的密钥,而它的输出是48位的子密钥。PC-2置换将56位的密钥重新排列,丢弃了8位并选取了其中的48位作为子密钥。PC-2的置换规则如下:
| 14 | 17 | 11 | 24 | 1 | 5 |
|---|---|---|---|---|---|
| 3 | 28 | 15 | 6 | 21 | 10 |
| 23 | 19 | 12 | 4 | 26 | 8 |
| 16 | 7 | 27 | 20 | 13 | 2 |
| 41 | 52 | 31 | 37 | 47 | 55 |
| 30 | 40 | 51 | 45 | 33 | 48 |
| 44 | 49 | 39 | 56 | 34 | 53 |
| 46 | 42 | 50 | 36 | 29 | 32 |
即PC-2置换表的第一行表示选择了输入密钥中的第14、17、11、24、1和5位,并将它们作为输出子密钥的前6位。以此类推.....
- 4、至此,经过PC-2后的结果就是我们当前轮次的子密钥K1了。在整个DES加密过程中会生成16个48位子密钥K1-K16,分别用于DES算法中的16轮加密过程,从而保证每轮加密所使用的密钥都是不同的,增加了破解的难度。
4.3.3 当前轮次的子密钥与拓展的48位R进行异或运算
当前轮次的子密钥Ki与拓展的48位Ri进行异或运算。运算结果会作为接下来S盒替换的输入
4.3.4 S盒替换(Substitution Box substitution)
S盒替换(Substitution Box substitution)是一种在密码学中广泛使用的加密技术。它是将明文中的一组比特映射到密文中的一组比特的过程,用于增强密码的安全性。DES中S盒替换用于将上一轮异或运算的48位结果映射到32位输出中去。
同样的,S盒也是一种置换表。在DES的每一轮计算中S盒都是不一样的。这里我以第一轮计算中的S盒为例。从上图中我们看到,S盒内部有8个S块,记作S1-S8。每个S块都会接收6位字符作为输入并输出四位字符。这里我们以第一个S盒S1为例。他是一个4*16的置换表。
| 14 | 4 | 13 | 1 | 2 | 15 | 11 | 8 | 3 | 10 | 6 | 12 | 5 | 9 | 0 | 7 |
|---|---|---|---|---|---|---|---|---|---|---|---|---|---|---|---|
| 0 | 15 | 7 | 4 | 14 | 2 | 13 | 1 | 10 | 6 | 12 | 11 | 9 | 5 | 3 | 8 |
| 4 | 1 | 14 | 8 | 13 | 6 | 2 | 11 | 15 | 12 | 9 | 7 | 3 | 10 | 5 | 0 |
| 15 | 12 | 8 | 2 | 4 | 9 | 1 | 7 | 5 | 11 | 3 | 14 | 10 | 0 | 6 | 13 |
例如输入101010到S1中。S1会将这六位的第一位和第六位拿出来10作为S1的行,中间四位0101拿出来作为S1的列。我们转换成十进制,此时映射到这个S盒的位置就是(2,5)对应S盒的第3行第6列(索引都从0开始数)。
所以这个输入的结果是6,将6转化为二进制110,S盒的输出是4位,所以得
S(101010)=0110
因此,可以看到S盒其实是一种非线性的加密技术,它能够抵御许多传统的密码分析攻击,如差分攻击和线性攻击。
4.3.5 P盒替换
P盒替换将S盒替换的32位输出作为输入,经过上述固定的替换表进行替换后即为最后F轮函数的结果。
该结果F(R0,K0)与L0进行异或运算得到下一轮的右半部分R1
4.4 逆置换(Inverse Permutation)
在经过16轮次计算后,DES会对最后的结果进行最后一次置换。即为最后的输出结果。
5、DES的优缺点
优点:
- 安全性高:DES算法使用密钥进行加密和解密,相同的明文使用不同的密钥加密后得到的密文是不同的。密钥越长,加密的安全性就越高。
- 算法简单:DES算法的加密和解密过程非简单,基于对称加密,使用相同的key进行加解密。
- 适用广泛:DES算法是最早也是最广泛使用的加密算法之一,被广泛应用于电子商务、电子邮件、虚拟私人网络等领域,具有广泛的适用性和可移植性。
缺点:
- 密钥长度较短:DES算法使用56位密钥,虽然在当时足够安全,但在当前计算机的处理能力下,已经不足以保证加密的安全性,易受到暴力破解攻击。
- 无法抵抗差分密码分析攻击:DES算法无法抵抗差分密码分析攻击,这种攻击可以通过比较相同明文的密文,分析加密算法的行为并推断出密钥。
- 比较慢:由于DES算法是一种分组密码算法,需要对64位的明文进行加密,加密速度比较慢,不适用于对大量数据进行实时加密和解密。
6、DES的攻击方法
由于DES从诞生距今已经很多年了,但是仍然有部分老旧的系统会使用DES进行加密。因为其密钥长度较短(仅56位)和已知的弱点,因此容易受到以下攻击。
-
穷举攻击(Brute-Force Attack):由于DES算法的密钥长度较短,可能受到暴力破解攻击,攻击者可以通过穷举所有可能的密钥来尝试破解密文。尽管DES算法的加密速度比较慢,但现代计算机的计算能力很强,可以在合理时间内进行暴力破解攻击。
-
差分密码分析攻击(Differential Cryptanalysis Attack):差分密码分析是一种比较高效的攻击方式,可以通过对明文和密文之间的差异进行分析,推导出密钥。对于DES算法,攻击者可以通过分析不同的输入和输出差异,以及密钥可能取值的概率,从而获得密钥。
-
线性密码分析攻击(Linear Cryptanalysis Attack):线性密码分析是一种比较有效的攻击方式,可以通过线性近似计算找到密钥。对于DES算法,攻击者可以通过构造一些线性逼近,以及计算相应的概率,从而推导出密钥。
-
工作密钥攻击(Known Plaintext Attack):在工作密钥攻击中,攻击者可以获得一些已知明文和相应的密文,然后利用这些信息来推导出密钥。对于DES算法,攻击者可以通过获得足够的已知明文和密文,来推导出密钥。
-
生日攻击(Birthday Attack):生日攻击是一种利用概率学的攻击方式,可以在相对较短的时间内找到具有相同散列值的两个不同的输入。对于DES算法,攻击者可以使用生日攻击来找到两个不同的密钥,这些密钥都可以加密相同的明文。
7、3DES(Triple DES)
我们讲到了DES目前而言是不安全的。因此也诞生了3DES这样的算法来对DES进行加强。3DES顾名思义,就i是使用DES加密3次,使用3个密钥进行加解密。
为什么是3DES不是2DES
3DES使用了三个密钥,将DES算法的加密过程重复三次,从而大大增强了安全性。3DES的密钥长度为168位,远高于DES算法的56位密钥长度和2DES算法的112位密钥长度。2DES暴力破解的时间复杂度为O(2^57^),仍然有很大的可能被暴力破解。
举个例子看下:
对于明文P,密文C, C由经过两次加密Ek1,Ek2得到K1,K2分别是第一二次加密的密钥。
- 遍历P到第一次加密的K1,最多有2^56^种可能。
- 由于加解密是相同的key。所以我们同时还能对C进行暴力解密找key。同样有最多2^56^种可能。
- 当我们遍历能找到一个E
k1(P)=Dk2(C) 使用这个密钥去加解密不同的明文和加密结果(P',C')。 - 如果能成功,那么此次暴力破解的时间复杂度为O(2^57^)。因此依旧不够安全。
8、Python实现DES
由于篇幅过长,需要源码可以前往wechat公众号关注"一颗程序树",回复"DES"获取源码。