m基于GRNN广义回归神经网络和HOG特征提取的人体姿态检测识别matlab仿真,样本集为TOF深度图

207 阅读5分钟

1.算法描述

        GRNN建立在非参数核回归基础上,以样本数据为后验条件,通过执行诸如Parzen非参数估计,从观测样本里求得自变量和因变量之间的联结概率密度函数之后,直接计算出因变量对自变量的回归值。GRNN不需要设定模型的形式,但是其隐回归单元的核函数中有光滑因子,它们的取对网络有很大影响,需优化取值。GRNNb论具有良好的函数逼近性能,而且因为其网络训练更为方便,因此,GRNN在信号过程、结构分析、控制决策系统、金融领域、生物工程领域等各个科学和工程领域得到了广泛的应用。

 

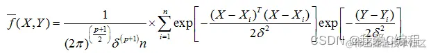
        广义回归神经网络的理论基础是非线性核回归分析,非独立变量y相对于独立变量x的回归分析实际上是计算具有最大概率值的y。设随机变量x和y的联合概率密度函数为f (x ,y),已知x的观测值为X,则y相对于X的回归,即条件均值为:

 

1.png

 

对于未知的概率密度函数f (x, y),可由x和y的观测样本经非参数估计得:

 

 

2.png

3.png

 

 

       GRNN通常被用来进行函数逼近。它具有一个径向基隐含层和一个特殊的线性层。第一层和第二层的神经元数目都与输入的样本向量对的数目相等。GRNN结构如图所示,整个网络包括四层神经元:输入层、模式层、求和层与输出层。

 

4.png  

        输入层的神经元数目与学习样本中输入向量的维数m相等,每个神经元都是一个简单的分布单元,这些神经元直接将输入变量传递到隐含层中。  

 

       方向梯度直方图,也称为HOG,是一种特征描述符,类似于Canny边缘检测器。它用于计算机视觉和图像处理中的目标检测。

 

       该技术统计图像局部区域中梯度方向的出现次数。该方法类似于边缘方向直方图和尺度不变特征变换(SIFT)。

 

       HOG描述符关注对象的结构或形状。它比任何边缘描述符都好,因为它使用梯度的大小和角度来计算特征。对于图像区域,它使用梯度的大小和方向生成直方图。

 

2.仿真效果预览

matlab2022a仿真结果如下:

 

       这里,通过TOF深度图拍摄相机获得人体不同动作姿态的深度图,其分辨率为1024*768,然后通过MATLAB软件设计本文所提出的动作姿态识别算法,通过该算法对TOF深度图进行识别,最后获得识别率。

 

   1). TOF深度图的采集;

 

        通过实验室的TOF深度图拍摄相机对不同人体动作姿态进行拍摄,获得一组动作姿态的连续图像序列。

 

   2). TOF深度图的预处理;

 

        对TOF深度图进行预处理,预处理主要通过MATLAB编程实现图像的预处理算法,主要包括图像灰度化,图像滤波去噪以及目标的提取等操作。

 

   3). 特征数据获取;

 

        对步骤2中获得的目标图像进行特征提取,将测试图像的特征数据随机分为两组,将一种一部分作为训练数据,另外一部分作为测试数据。

 

   4). 数据训练;

 

        通过训练算法对特征数据进行训练,获得识别模型。

 

   5). 对未知数据的测试和识别;

5.png

6.png

7.png

8.png

3.MATLAB核心程序 `%% 预处理:

    %第一步由于采集到的深度图有的地方的深度值为零,首先用最邻近差值算法将为零的深度值用其周围的点代替

    I2 = func_nearest_Interpolation(I1);

    subplot(222);

    imshow(uint8(I2));

    title('最邻近差值图像');

 

    %第二步:用中值滤波算法对上一步骤获得的图像进行处理,去噪声;

    L = 5;

    I3 = uint8(medfilt2(I2,[L,L]));

    subplot(223);

    imshow(I3);

    title('中值滤波');

 

    %第三步:获得二值图

    I4(1:floor(5R1/7),:)    = im2bw(I3(1:floor(5R1/7),:)   , 0.9graythresh(I3(1:floor(5R1/7),:)));

    I4(1+floor(5R1/7):R1,:) = im2bw(I3(1+floor(5R1/7):R1,:),1.25graythresh(I3(1+floor(5R1/7):R1,:)));

    subplot(224);

    imshow(I4);

    title('二值图');

 

    %第四步:边缘图

    I5 = edge(I4,'canny');

 

 

    %第5步:提取上半身

    [Is,indy] = func_bodycatch(I4);

    Is2       = bwareaopen(Is,4000);

    figure(2);

    subplot(121);

    imshow(Is);

    title('提取上半身');

    

 

    [RX,CX]= size(Is2);

    IIIs = zeros(RX,CX);

    for iii = 1:RX

        for jjj = 1:CX

            if Is2(iii,jjj) == 1

               IIIs(iii,jjj) =  I3(iii,jjj);

            end

        end

    end

    subplot(122);

    imshow(uint8(IIIs));

    title('提取上半身');

    

    

    %人体的提取

    ff          = uint8(255*Is2);

    [rows,cols] = size(ff);

    [Ls,n]      = bwlabel(ff);

    X1          = [];

    X2          = [];

    Y1          = [];

    Y2          = [];

    flag        = 0;

 

    L1          = zeros(R,C,3);

    S           = [];

    for i=1:n

        [r,c]     = find(Ls==i);

        a1(i)     = max(r);

        a2(i)     = min(r);

        b1(i)     = max(c);

        b2(i)     = min(c);

        w(i)      = b1(i)-b2(i);

        h(i)      = a1(i)-a2(i);

        S(i)      = w(i)*h(i);

        X1        = [X1,a2(i)];

        X2        = [X2,a1(i)];

        Y1        = [Y1,b2(i)];

        Y2        = [Y2,b1(i)];

 

        L1(a2(i):a2(i)+2,b2(i):b1(i),1) = 0;

        L1(a2(i):a2(i)+2,b2(i):b1(i),2) = 0;

        L1(a2(i):a2(i)+2,b2(i):b1(i),3) = 255;

 

        L1(1.2a1(i)-2:1.2a1(i),b2(i):b1(i),1) = 0;

        L1(1.2a1(i)-2:1.2a1(i),b2(i):b1(i),2) = 0;

        L1(1.2a1(i)-2:1.2a1(i),b2(i):b1(i),3) = 255;   

 

        L1(a2(i):1.2*a1(i),b1(i)-2:b1(i),1) = 0;

        L1(a2(i):1.2*a1(i),b1(i)-2:b1(i),2) = 0;

        L1(a2(i):1.2*a1(i),b1(i)-2:b1(i),3) = 255;

 

        L1(a2(i):1.2*a1(i),b2(i):b2(i)+2,1) = 0;

        L1(a2(i):1.2*a1(i),b2(i):b2(i)+2,2) = 0;

        L1(a2(i):1.2*a1(i),b2(i):b2(i)+2,3) = 255;   

    end

    

    if  length(S) > 1

        LL = L1;

        [V,I] = sort(S);

        inds  = I(end-1:end);

 

        [RR,CC] = size(Is2);

        IF      = zeros(RR,CC);

        for i = 1:RR

            for j = 1:CC

                if Is2(i,j) == 1

                   IF(i,j) = I1(i,j);

                else

                   IF(i,j) = 0;

                end

            end

        end

 

        if X1(inds(1)) < X1(inds(2))

           IF1 = IF(X1(inds(1)):min(X2(inds(1)),RR),Y1(inds(1)):Y2(inds(1)));

           XC1 = Y2(inds(1));

           YC1 = X1(inds(1));

           IF2 = IF(X1(inds(2)):min(X2(inds(2)),RR),Y1(inds(2)):Y2(inds(2)));

           XC2 = Y2(inds(2));

           YC2 = X1(inds(2));

        else

           IF2 = IF(X1(inds(1)):min(X2(inds(1)),RR),Y1(inds(1)):Y2(inds(1)));

           XC2 = Y2(inds(1));

           YC2 = X1(inds(1));

           IF1 = IF(X1(inds(2)):min(X2(inds(2)),RR),Y1(inds(2)):Y2(inds(2)));

           XC1 = Y2(inds(2));

           YC1 = X1(inds(2));

        end

    end

    if  length(S) == 1

        [IF1,IF2,CUT,IFS,L1] = func_body_fenge(Is2,X1,X2,Y1,Y2);

        LL = L1;

        XC1 = Y2-30;

        YC1 = X1;

        XC2 = CUT-30;

        YC2 = X1;

    end`