【代码随想录|刷题记录Day4】24.两两交换链表中的节点、19.删除链表的倒数第N个节点、142.环形链表II

117 阅读4分钟

题目列表

  24.两两交换链表中的节点

  19.删除链表的倒数第N个节点

  142.环形链表II

  面试题02.07.链表相交

解题过程

1、24.两两交换链表中的节点

给你一个链表,两两交换其中相邻的节点,并返回交换后链表的头节点。你必须在不修改节点内部的值的情况下完成本题(即,只能进行节点交换)。

思路: 考虑节点数为0、奇数、偶数的情况。多画图模拟交换过程,把几种情况都考虑到,实际上这道题并不难。

class Solution {
    public ListNode swapPairs(ListNode head) {
        //边界条件
        if (head == null || head.next == null) {
            return head;
        }
        ListNode first = head;
        ListNode second = first.next;
        ListNode newHead = second;
        ListNode cur = null; 
        while (second != null) {
            first.next = second.next;
            second.next = first;
            if (cur != null) { //把两两交换完的小链表连起来
                cur.next = second;
            }
            cur = first; //即将要进行交换的两节点前面那个节点
            //节点个数为偶数,且交换完了,直接跳出循环
            if (first.next == null) {
                break;
            }
            first = first.next;
            second = first.next;
        }
        return newHead;
    }
}

2、19.删除链表的倒数第N个节点

给你一个链表,删除链表的倒数第 n 个结点,并且返回链表的头结点。

思路: 将删除倒数某个节点转换为删除正数某个节点。

class Solution {
    public ListNode removeNthFromEnd(ListNode head, int n) {
        //先统计链表中节点个数
        int nodes = 0;
        ListNode cur = head;
        while (cur != null) {
            nodes++;
            cur = cur.next;
        }
        //边界条件:删除的节点是链表第一个节点的情况
        if (nodes == n) {
            return head.next;
        }
        //删除的节点不为第一个节点的情况
        cur = head;
        //temp节点永远指向cur前一个节点
        ListNode temp = null;
        //将删除倒数第n个节点,转换为删除正数第nodes-n+1个节点,for循环使得temp指向被删除节点前一个节点
        for (int i = 1; i < nodes - n + 1; i++) {
            temp = cur;
            cur = cur.next;
        }
        //删除节点操作
        temp.next = cur.next;
        return head;
    }
}

注意

  • 删除的节点为第一个节点时,返回 head.next 即可。

3、142.环形链表II

给定一个链表的头节点  head ,返回链表开始入环的第一个节点。 如果链表无环,则返回 null

不允许修改 链表。

思路: 很暴力的解法,两层while循环遍历,时间复杂度较高。

public class Solution {
    public ListNode detectCycle(ListNode head) {
        //空链表,直接返回
        if (head == null) {
            return null;
        }
        //cur1用来遍历原始链表
        ListNode cur1 = head;
        //cur2用来遍历新链表
        ListNode cur2 = head;
        //sum用来记录已经遍历节点个数, count用作内层while循环
        int sum = 0, count = 0;
        while (cur1 != null) { //外循环,遍历原始列表
            count = sum;
            while (count != 0) {
                if (cur1 == cur2) { //到达了入环点
                    return cur1;
                }
                cur2 = cur2.next;
                count--;
            }
            cur1 = cur1.next;
            cur2 = head;    
            sum++;
        }
        //无环,返回null
        return null;
    }
}

代码随想录解法:快慢指针法。

判断链表是否有环:

可以使用快慢指针法,分别定义 fast 和 slow 指针,从头结点出发,fast指针每次移动两个节点,slow指针每次移动一个节点,如果 fast 和 slow指针在途中相遇 ,说明这个链表有环。 因为fast指针一定先进入环中,如果fast指针和slow指针相遇的话,一定是在环中相遇。

如果有环,如何找到环的入口节点:

截屏2023-03-18 20.20.44.png

由图可知,相遇时slow指针走过的节点数为: x + y, fast指针走过的节点数:x + y + n (y + z),n为fast指针在环内走了n圈才遇到slow指针, (y+z)为一圈内节点的个数A。

由快慢指针特性有 (x + y) * 2 = x + y + n (y + z)

两边消掉一个(x+y): x + y = n (y + z)

因为要找环形的入口,将x单独放在左面:x = n (y + z) - y

再从n(y+z)中提出一个(y+z)来,整理公式之后为如下公式:x = (n - 1) (y + z) + z 注意这里n一定是大于等于1的,因为fast指针至少要多走一圈才能相遇slow指针。

当n为1的时候,意味着fast指针在环形里转了一圈之后,就遇到了 slow指针了,公式就化解为 x = z, 这就意味着,从头结点出发一个指针,从相遇节点也出发一个指针,这两个指针每次只走一个节点, 那么当这两个指针相遇的时候就是环形入口的节点

也就是在相遇节点处,定义一个指针index1,在头结点处定一个指针index2。

让index1和index2同时移动,每次移动一个节点, 那么他们相遇的地方就是环形入口的节点。

public class Solution {
    public ListNode detectCycle(ListNode head) {
        ListNode slow = head;
        ListNode fast = head;
        while (fast != null && fast.next != null) {
            slow = slow.next;
            fast = fast.next.next;
            if (slow == fast) {// 有环
                ListNode index1 = fast;
                ListNode index2 = head;
                // 两个指针,从头结点和相遇结点,各走一步,直到相遇,相遇点即为环入口
                while (index1 != index2) {
                    index1 = index1.next;
                    index2 = index2.next;
                }
                return index1;
            }
        }
        return null;
    }
}

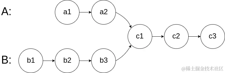
4、面试题02.07.链表相交

给你两个单链表的头节点 headAheadB ,请你找出并返回两个单链表相交的起始节点。如果两个链表没有交点,返回 null

图示两个链表在节点 c1 开始相交:

160_statement.png

题目数据 保证 整个链式结构中不存在环。

注意,函数返回结果后,链表必须 保持其原始结构

思路: 求两个链表长度的差值,然后让调整比较过程开始的位置。

public class Solution {
    public ListNode getIntersectionNode(ListNode headA, ListNode headB) {
        ListNode curA = headA;
        ListNode curB = headB;
        int lenA = 0, lenB = 0;
        while (curA != null) { // 求链表A的长度
            lenA++;
            curA = curA.next;
        }
        while (curB != null) { // 求链表B的长度
            lenB++;
            curB = curB.next;
        }
        curA = headA;
        curB = headB;
        // 让curA为最长链表的头,lenA为其长度
        if (lenB > lenA) {
            //1. swap (lenA, lenB);
            int tmpLen = lenA;
            lenA = lenB;
            lenB = tmpLen;
            //2. swap (curA, curB);
            ListNode tmpNode = curA;
            curA = curB;
            curB = tmpNode;
        }
        // 求长度差
        int gap = lenA - lenB;
        // 让curA和curB在同一起点上(末尾位置对齐)
        while (gap-- > 0) {
            curA = curA.next;
        }
        // 遍历curA 和 curB,遇到相同则直接返回
        while (curA != null) {
            if (curA == curB) {
                return curA;
            }
            curA = curA.next;
            curB = curB.next;
        }
        return null;
    }
}

总结

链表题代码并不难写,重要的是思路以及如何减小时间和空间开销,快慢指针找入环节点这种思想值得学习。